Ab initio calculations of the magnetic anisotropy of Fe/Pt/Fe heterostructures with surface relaxation included
- Autores: Makeev M.Y.1, Mamonova M.V.1
-
Afiliações:
- Omsk State University
- Edição: Volume 87, Nº 11 (2023)
- Páginas: 1586-1592
- Seção: Articles
- URL: https://journals.rcsi.science/0367-6765/article/view/232483
- DOI: https://doi.org/10.31857/S0367676523702757
- EDN: https://elibrary.ru/FPNWLH
- ID: 232483
Citar
Texto integral
Resumo
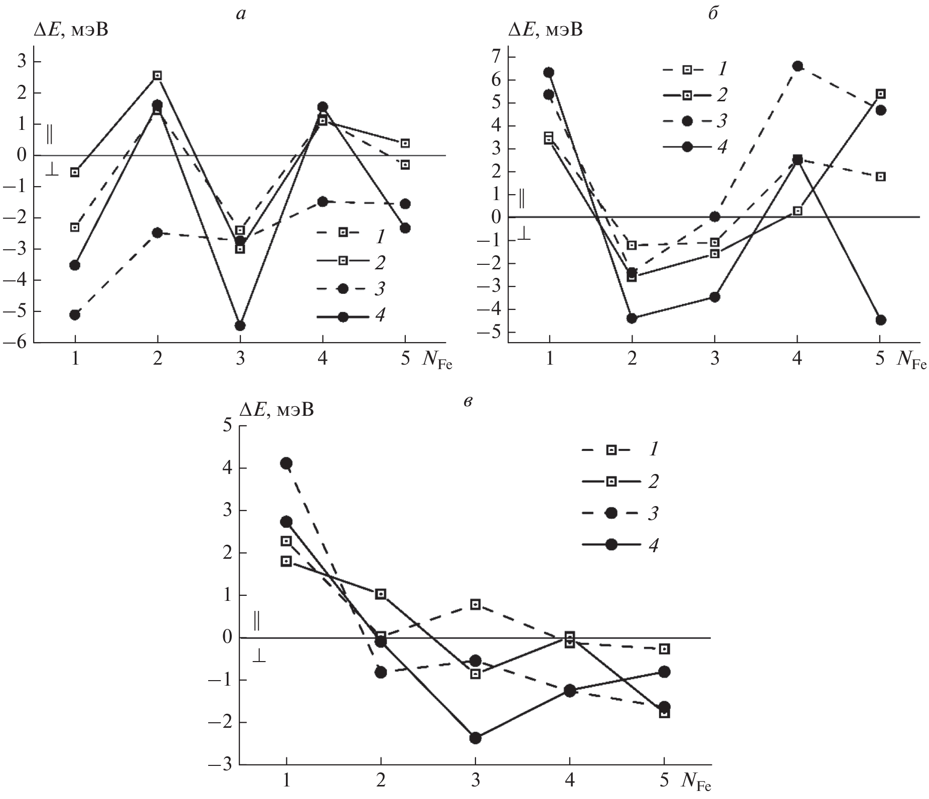
A numerical study of the effect of surface relaxation, the equilibrium change in the interplanar distance, on the values of the magnetic and energy characteristics of the Fe/Pt/Fe system was carried out. The contribution of the spin-orbit interaction to the value of the magnetic anisotropy energy is studied as a function of the thickness of the ferromagnetic film.
Sobre autores
M. Makeev
Omsk State University
Autor responsável pela correspondência
Email: mihailmaki603@gmail.com
Russia, 644077, Omsk
M. Mamonova
Omsk State University
Email: mihailmaki603@gmail.com
Russia, 644077, Omsk
Bibliografia
- Yang I., Savrasov S.Y., Kotliar G. // Phys. Rev. Lett. 2001. V. 87. No. 21. Art. No. 216405.
- Shick A.B., Mryasov O.N. // Phys. Rev. B. 2003. V. 67. No. 17. Art. No. 172407.
- Savrasov S. Y., Toropova A., Katsnelson M.I. et al. // Z. Kristallogr. 2005. V. 220. P. 473.
- Ohtake M., Itabashi A., Futamoto M. et al. // IEEE Trans. Magn. 2014. V. 50. Art. No. 2104204.
- Ohtake M., Itabashi A., Futamoto M. et al. // J. Magn. Soc. Japan. 2015. V. 39. P. 167.
- Ravelosona D., Chappert C., Mathet V. // Appl. Phys. Lett. 2000 V. 76. P. 236.
- Hsu Y.N., Jeong S., Lambeth D.N. // IEEE Trans. Magn. 2000. V. 36. P. 2945.
- Shima T., Takanashi K., Takahashi Y.K. // Appl. Phys. Lett. 2002. V. 81. P. 1050.
- Mankovsky S., Ebert H. // Electron. Struct. 2022. V. 4. No. 3. Art. No. 034004.
- Fritzscht H., Gradmann U. // MRS Proceedings. 1993. V. 313. P. 671.
- Etz C., Zabloudil J., Weinberger P., Vedmedenko E.Y. // Phys. Rev. B. 2008. V. 77. No. 18. Art. No. 184425.
- Макеев М.Ю., Мамонова М.В. // Изв. РАН. Сер. физ. 2023. Т. 87. № 4. С. 488; Makeev M.Yu., Mamonova M.V. // Bull. Russ. Acad. Sci. Phys. 2023. V. 87. No. 4. P. 427.
- Шляхтич М.А., Прудников П.В. // Изв. РАН. Сер. физ. 2023. Т. 87. № 3. С. 440; Shlyakhtich M.A., Prudnikov P.V. // Bull. Russ. Acad. Sci. Phys. 2023. V. 87. No. 3. P. 389.
- Kresse P.G., Furthmuller J. // Phys. Rev. B. 1996. V. 54. Art. No. 11169.
- Мамонова М.В., Макеев М.Ю., Калинин Д.С., Зенова А.А. // ФТТ. 2021. Т. 63. № 11. С. 1787; Mamonova M.V., Makeev M.Y., Kalinin D.S., Zenova A.A. // Phys. Solid State. 2022. V. 63. No. 11. P. 1787.
- Tsujikawa M., Hosokawa A., Oda T. // Phys. Rev. B. 2008. V. 77. Art. No. 054413.
- Frantisek M., Alexander B., Peter M. // Czechoslov. J. Phys. 2006. P. 51.
- Guirado-Lopez R. // Phys. Rev. B. 2001. V. 63. Art. No. 174420.
Arquivos suplementares





