Dielectric and optical properties of gas hydrates and ice: ab initio simulation results
- Autores: Yunusov M.B.1, Khusnutdinoff R.M.1,2
-
Afiliações:
- Kazan (Volga region) Federal University
- Udmurt Federal Research Center of the Ural Branch of the Russian Academy of Sciences
- Edição: Volume 87, Nº 11 (2023)
- Páginas: 1580-1585
- Seção: Articles
- URL: https://journals.rcsi.science/0367-6765/article/view/232482
- DOI: https://doi.org/10.31857/S0367676523702745
- EDN: https://elibrary.ru/GEYSCG
- ID: 232482
Citar
Texto integral
Resumo
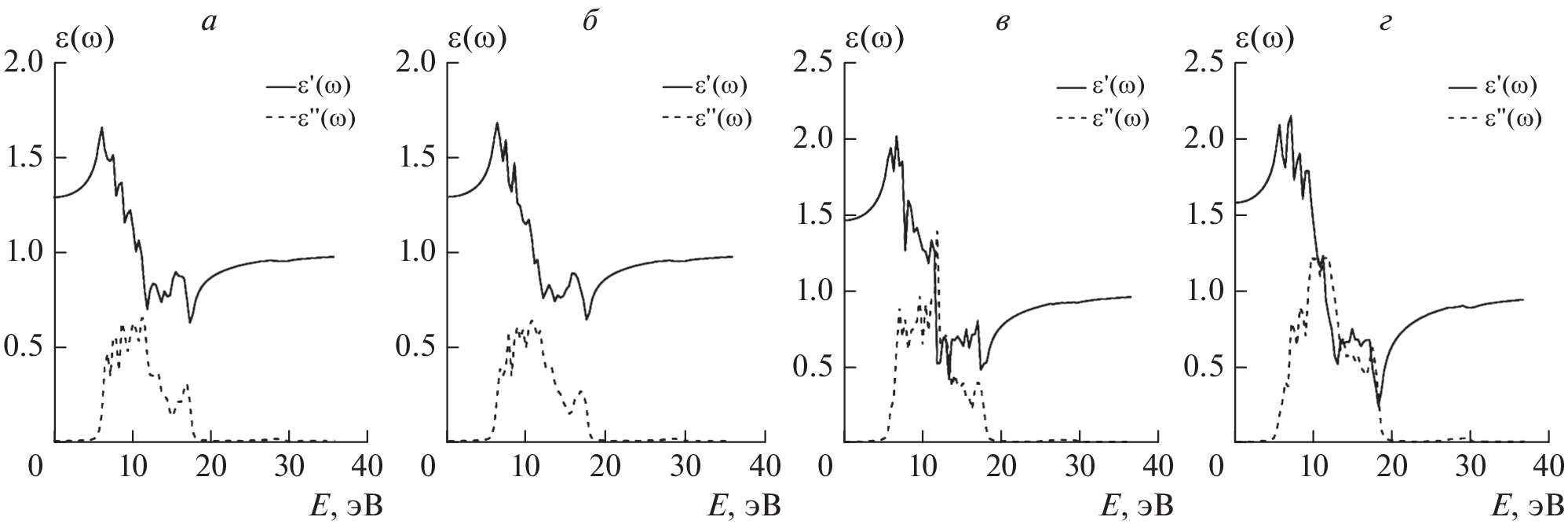
The dielectric tensors εik(ω), optical absorption spectra R(ω), reflection spectra a(ω) and the density of electronic states N(E) have been calculated for the lattices of gas hydrates with the structure sI and sH, as well as for ice Ih and III. The dependence of the dielectric permittivity on the type of guest molecules in the sI hydrate is considered.
Sobre autores
M. Yunusov
Kazan (Volga region) Federal University
Autor responsável pela correspondência
Email: mukhammadbek@mail.ru
Russia, 420008, Kazan
R. Khusnutdinoff
Kazan (Volga region) Federal University; Udmurt Federal Research Center of the Ural Branch of the Russian Academy of Sciences
Email: mukhammadbek@mail.ru
Russia, 420008, Kazan; Russia, 426068, Izhevsk
Bibliografia
- Sloan E.D., Koh C.A. Clathrate hydrates of natural gases. CRC Press, 2007. 752 p.
- Takeuchi F., Hiratsuka M., Ohmura R. et al. // J. Chem. Phys. 2013. V. 138. No. 12. Art. No. 124504.
- Makogon Y.F. // J. Nat. Gas Sci. Eng. 2010. No. 2. P. 45.
- Кузнецов Ф.А., Истомин В.А., Родионова Т.В. // Росс. хим. журн. 2003 Т. 47. № 3. С. 5.
- Su F., Bray C.L., Carter B.O. et al. // Adv. Mater. 2009. V. 21. No. 23. Art. No. 2382.
- Bernal J.D., Fowler R.H. // J. Chem. Phys. 1933. V. 1. No. 515. P. 420.
- Fortes A.D., Wood I.G., Brodholt J.P., Vocadlo L. // J. Chem. Phys. 2003. V. 119. No. 8. Art. No. 4567.
- Жданов Р.К., Белослудов В.Р., Божко Ю.Ю. и др. // Письма в ЖЭТФ. 2018. Т. 108. № 12. С. 821.
- Киров М.В., Манаков А.Ю., Солодовников С.Ф. // Изв. РАН. Сер. физ. 2009. Т. 73. № 11. С. 1635; Kirov M.V., Manakov A.Y., Solodovnikov S.F. // Bull. Russ. Acad. Sci. Phys. 2009. V. 73. P. 1535.
- Шибков А.А., Казаков А.А., Верченов А.А., Золотов А.Е. // Изв. РАН. Сер. физ. 2007. Т. 71. № 12. С. 1699; Shibkov A.A., Kazakov A.A., Verchenov A.A., Zolotov A.E. // Bull. Russ. Acad. Sci. Phys. 2007. V. 71. No. 12. P. 1656.
- Van-der Waals J.H. // Trans. Faraday Soc. 1956. V. 52. P. 184.
- Монаков А.Ю., Дядин Ю.А. // Росс. хим. журн. 2003. Т. 47. № 3. С. 28.
- Юнусов М.Б., Хуснутдинов Р.М., Мокшин А.В. // ФТТ. 2021. Т. 63. № 2. С. 308; Yunusov M.B., Khusnutdinoff R.M., Mokshin A.V. // Phys. Solid State. 2021. V. 63. No. 2. P. 372.
- Yunusov M.B., Khusnutdinoff R.M. // J. Phys. Conf. Ser. 2022. V. 2270. No. 1. Art. No. 012052.
- Юнусов М.Б., Хуснутдинов Р.М. // ФТТ. 2023. Т. 65. № 2. С. 328.
- Jing J.E., Chen K., Deng M. et al. // J. Asian Earth Sci. 2019. V. 171. P. 201.
- Wright J.F., Nixon F.M., Dallimore S.R. // Proc. ICGH-4 (Yokohama, 2002). P. 1.
- Wang Z., Yang L., Deng R. et al. // arXiv:1902.10914. 2019.
- Kang H., Jung S., Koh D.Y. et al. // Chem. Phys. Lett. 2013. V. 587. P. 14.
- Takeya K., Zhang C., Kawayama I. et al. // Appl. Phys. Exp. 2009. V. 2. No. 12. Art. No. 122303.
- Takeya S., Ripmeester J.A. // Proc. ICGH-11 (Edinburgh, 2011). P. 1.
- Kobayashi K. // J. Phys. Chem. 1983. V. 87. No. 21. P. 4317.
- Артемов В.Г., Волков А.А., Сысоев Н.Н. // Изв. РАН. Сер. физ. 2018. Т. 82. № 1. С. 67; Volkov A.A., Artemov V.G., Volkov A.A., Sysoev N.N. // Bull. Russ. Acad. Sci. Phys. 2018. V. 82. P. 59.
- Волков А.А., Васин А.А., Волков А.А. // Изв. РАН. Сер. физ. 2020. Т. 84. № 9. С. 1241; Volkov A.A., Vasin A.A., Volkov A.A. // Bull. Russ. Acad. Sci. Phys. 2020. V. 84. No. 9. P. 1053.
- Hohenberg P., Kohn W. // Phys. Rev. 1964. V. 136. P. 864.
- Kohn W., Sham L.J. // Phys. Rev. 1965. V. 140. P. 4A1133.
- Kresse G., Furthmuller J. // Phys. Rev. 1996. V. 54. No. 16. P. 11169.
- Kresse G., Joubert D. // Phys. Rev. 1999. V. 59. No. 3. P. 1758.
- Perdew J.P. // In: Electronic Structures of Solids’ 91. Berlin: Akademie Verlag, 1991.
- Perdew J.P., Burke K., Ernzerhof M. // Phys. Rev. Lett. 1996. V. 77. No. 18. Art. No. 3865.
- Pulay P. // Chem. Phys. Lett. 1980. V. 73. No. 2. P. 393.
- Ландау Л. Д., Лифшиц Е.М. Электродинамика сплошных сред. М: Физматлит, 2005. 652 с.
- Юнусов М.Б., Хуснутдинов Р.М. // Учен. зап. физ. фак-та. Моск. ун-та. 2022. № 4. С. 2240702.
- Sun L., Zhao X., Li Y. et al. // J. Appl. Phys. 2010. V. 108. No. 9. Art. No. 093519.
Arquivos suplementares






