Ising nematic in J1–J2 square-lattice Heisenberg model within self-consistent spin-wave theory
- Authors: Ignatenko A.N.1, Irkhin V.Y.1
-
Affiliations:
- Mikheev Institute of Metal Physics of the Ural Branch of the Russian Academy of Sciences
- Issue: Vol 87, No 11 (2023)
- Pages: 1569-1573
- Section: Articles
- URL: https://journals.rcsi.science/0367-6765/article/view/232480
- DOI: https://doi.org/10.31857/S0367676523702721
- EDN: https://elibrary.ru/FPDTER
- ID: 232480
Cite item
Full Text
Abstract
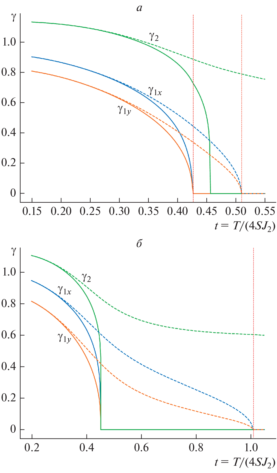
We study the Ising nematic ordering, the Ising nematic phase transition, and the temperature behavior of the short-range order parameters in spin 1/2 quantum Heisenberg model on two-dimensional square-lattice with exchange parameters of nearest and next-nearest neighbors. Two versions of the self-consistent spin-wave theory with and without auxiliary pseudofermions are considered.
About the authors
A. N. Ignatenko
Mikheev Institute of Metal Physics of the Ural Branch of the Russian Academy of Sciences
Author for correspondence.
Email: ignatenko@imp.uran.ru
Russia, 620108, Yekaterinburg
V. Yu. Irkhin
Mikheev Institute of Metal Physics of the Ural Branch of the Russian Academy of Sciences
Email: ignatenko@imp.uran.ru
Russia, 620108, Yekaterinburg
References
- Chandra P., Coleman P., Larkin A.I. // Phys. Rev. Lett. 1990. V. 64. P. 88.
- Weber C., Capriotti L., Misguich G. et al. // Phys. Rev. Lett. 2003. V. 91. Art. No. 177202.
- Capriotti L., Fubini A., Roscilde T., Tognetti V. // Phys. Rev. Lett. 2004. V. 92. Art. No. 157202.
- Xu C., Müller M., Sachdev S. // Phys. Rev. B. 2008. V. 78. Art. No. 20501.
- Fang C., Yao H., Tsai W., Hu J., Kivelson. S.A. // Phys. Rev. B. 2008. V. 77. Art. No. 224509.
- Fernandes R.M., Chubukov A.V., Knolle J. et al. // Phys. Rev. B. 2012. V. 85. Art. No. 24534.
- Takahashi M. // Phys. Rev. B. 1989. V. 40. P. 2494.
- Irkhin V.Yu., Katanin A.A., Katsnelson M.I. // Phys. Rev. B. 1999. V. 60. P. 1082.
- Катанин А.А., Ирхин В.Ю. // УФН. 2007. Т. 177. № 6. С. 639; Irkhin V.Yu., Katanin A.A. // Phys. Usp. 2007. V. 50. No. 6. P. 613.
- Барьяхтар В.Г., Криворучко В.Н., Яблонский Д.А. // ЖЭТФ. 1983. Т. 85. № 2. С. 602; Bar’yakhtar V.G., Krivoruchko V.N., Yablonskii D.A. // Sov. Phys. JETP. 1983. V. 58. No. 2. P. 351.
- Барьяхтар В.Г., Криворучко В.Н., Яблонский Д.А. Функции Грина в теории магнетизма. Киев: Наукова думка, 1984. 336 с.
- Dyson F.J. // Phys. Rev. 1956. V. 102. P. 1217.
- Dyson F.J. // Phys. Rev. 1956. V. 102. P. 1230.
- Малеев С.В. // ЖЭТФ. 1957. Т. 33. С. 1010; Maleev S.V. // Sov. Phys. JETP. 1958. V. 6. P. 776.





