Shear strength of Al–Cu alloy with different types of hardening precipitates: molecular dynamics and continuum modeling
- Авторлар: Bezborodova P.A.1, Krasnikov V.S.1, Gazizov M.R.2, Mayer A.E.1, Pogorelko V.V.1
-
Мекемелер:
- Chelyabinsk State University
- Belgorod State National Research University
- Шығарылым: Том 87, № 11 (2023)
- Беттер: 1562-1568
- Бөлім: Articles
- URL: https://journals.rcsi.science/0367-6765/article/view/232479
- DOI: https://doi.org/10.31857/S036767652370271X
- EDN: https://elibrary.ru/FOQZPF
- ID: 232479
Дәйексөз келтіру
Толық мәтін
Аннотация
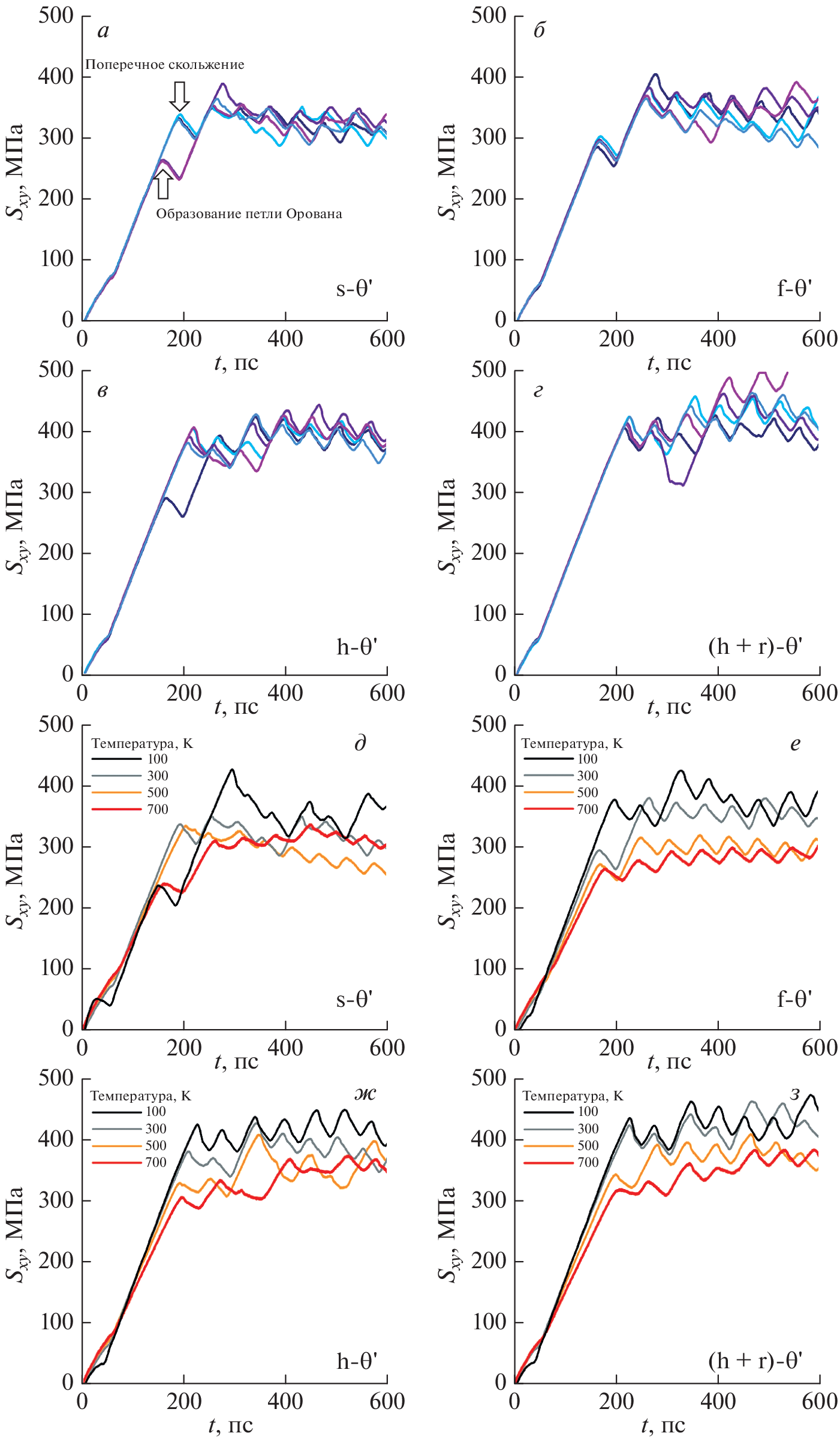
A molecular dynamics study of the motion of dislocations in aluminum containing hardening copper precipitates is carried out. The paper considers the interaction of dislocation with four types of precipitates, the structure of which was determined in experimental work. The energy of dislocation segments attached to hardening phases is determined and used as a parameter of the continuum model of the dislocation-precipitate interaction. An increase in energy is observed for hybrid precipitates compared to non-hybrid ones.
Негізгі сөздер
Авторлар туралы
P. Bezborodova
Chelyabinsk State University
Хат алмасуға жауапты Автор.
Email: ibragimova-polin@mail.ru
Russia, 454001, Chelyabinsk
V. Krasnikov
Chelyabinsk State University
Email: ibragimova-polin@mail.ru
Russia, 454001, Chelyabinsk
M. Gazizov
Belgorod State National Research University
Email: ibragimova-polin@mail.ru
Russia, 308015, Belgorod
A. Mayer
Chelyabinsk State University
Email: ibragimova-polin@mail.ru
Russia, 454001, Chelyabinsk
V. Pogorelko
Chelyabinsk State University
Email: ibragimova-polin@mail.ru
Russia, 454001, Chelyabinsk
Әдебиет тізімі
- Polmear I.J. Light metals: from traditional alloys to nanocrystals. 4rd ed. Oxford: Elsevier/Butterworth-Heinemann, 2006.
- McDowell D.L. // Int. J. Plast. 2010. V. 26. P. 1280.
- Ковалевская Т.А., Данейко О.И. // Изв. РАН. Сер. физ. 2021. Т. 85. № 7. С. 1002; Kovalevskaya T.A., Daneyko O.I. // Bull. Russ. Acad. Sci. Phys. 2021. V. 85. No. 7. P. 776.
- Варюхин В.Н., Малашенко В.В. // Изв. РАН. Сер. физ. 2018. Т. 82. № 9. С. 1213; Varyukhin V.N., Malashenko V.V. // Bull. Russ. Acad. Sci. Phys. 2018. V. 82. No. 9. P. 1101.
- Porter D.A., Easterling K.E., Sherif M.Y. Phase transformations in metals and alloys. N.Y.: CRC Press, 2014.
- Konno T.J., Hiraga K., Kawasaki M. // Scripta. Mater. 2001. V. 44. No. 8–9. P. 2303.
- Gao L., Li K., Ni S. et al. // J. Mater. Sci. Technol. 2021. V. 61. P. 25.
- da Costa Teixeira J., Cram D.G., Bourgeois L. et al. // Acta Mater. 2008. V. 56. No. 20. P. 6109.
- Chen Y., Zhang Z., Chen Z. et al. // Acta Mater. 2017. V. 125. P. 340.
- Ma Z., Zhan L., Liu C. et al. // Int. J. Plast. 2018. V. 110. P. 183.
- Liu H., Papadimitriou I., Lin F.X., Lorca J.L. et al. // Acta Mater. 2019. V. 167. P. 121.
- Zhou L., Wu C.L., Xie P. et al. // J. Mater. Sci. Technol. 2021. V. 75. P. 126.
- Bourgeois L., Medhekar N.V., Smith A.E. et al. // Phys. Rev. Lett. 2013. V. 111. Art. No. 069901.
- Liu C., Ma Z., Ma P. et al. // Mater. Sci. Eng. A. 2018. V. 733. P. 28.
- Krasnikov V.S., Mayer A.E., Pogorelko V.V. et al. // Int. J. Plast. 2020. V. 125. P. 169.
- Krasnikov V.S., Mayer A.E., Pogorelko V.V. // Int. J. Plast. 2020. V. 128. Art. No. 102672.
- Fomin E.V., Mayer A.E., Krasnikov V.S. // Int. J. Plast. 2021. V. 146. Art. No. 103095.
- Mahata A., Zaeem M.A. // J. Cryst. Growth. 2019. V. 527. Art. No. 125255.
- Haapalehto M., Pinomaa T., Wang L., Laukkanen A. // Comput. Mater. Sci. 2022. V. 209. Art. No. 111356.
- Hirel P. // Comput. Phys. Comm. 2015. V. 197. P. 212.
- Daw M.S., Foiles S.M., Baskes M.I. // Mater. Sci. Rep. 1993. V. 9. 251.
- Berendsen H.J.C., Postma J.P.M., van Gunsteren W.F. // J. Chem. Phys. 1984. V. 81. Art. No. 8.
- Plimpton S. // J. Comp. Phys. 1995. V. 117. P. 1.
- Apostol F., Mishin Y. // Phys. Rev. B. 2011. V. 83. Art. No. 054116.
- Stukowski A. // Mater. Sci. Eng. 2010. V. 18. Art. No. 015012.
- Krasnikov V.S., Mayer A.E. // Int. J. Plast. 2019. V. 119. P. 21.
Қосымша файлдар






