Исследование полупроводниковых материалов термооптическим методом в магнитном поле
- Авторы: Котов А.Н.1, Старостин А.А.1, Шангин В.В.1, Бобин С.Б.2, Лончаков А.Т.2
-
Учреждения:
- Федеральное государственное бюджетное учреждение науки “Институт теплофизики Уральского отделения Российской академии наук”
- Федеральное государственное бюджетное учреждение науки “Институт физики металлов имени М.Н. Михеева Уральского отделения Российской академии наук”
- Выпуск: Том 87, № 11 (2023)
- Страницы: 1547-1553
- Раздел: Статьи
- URL: https://journals.rcsi.science/0367-6765/article/view/232477
- DOI: https://doi.org/10.31857/S0367676523702691
- EDN: https://elibrary.ru/FXXHRC
- ID: 232477
Цитировать
Полный текст
Аннотация
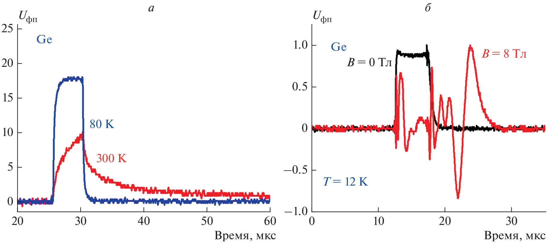
Представлены результаты исследования влияния температуры и магнитного поля на релаксацию термооптического сигнала в образцах полупроводников с различным электронным спектром: n-Ge, n-InSb, ZnSe:Ni. Результаты получены с использованием двухлучевого оптоволоконного метода “накачка–зондирование” с интерферометром Фабри–Перо в диапазоне температур от 4.2 до 300 К с приложением магнитного поля до 8 Тл.
Об авторах
А. Н. Котов
Федеральное государственное бюджетное учреждение науки“Институт теплофизики Уральского отделения Российской академии наук”
Автор, ответственный за переписку.
Email: artem625@mail.ru
Россия, Екатеринбург
А. А. Старостин
Федеральное государственное бюджетное учреждение науки“Институт теплофизики Уральского отделения Российской академии наук”
Email: artem625@mail.ru
Россия, Екатеринбург
В. В. Шангин
Федеральное государственное бюджетное учреждение науки“Институт теплофизики Уральского отделения Российской академии наук”
Email: artem625@mail.ru
Россия, Екатеринбург
С. Б. Бобин
Федеральное государственное бюджетное учреждение науки“Институт физики металлов имени М.Н. Михеева Уральского отделения Российской академии наук”
Email: artem625@mail.ru
Россия, Екатеринбург
А. Т. Лончаков
Федеральное государственное бюджетное учреждение науки“Институт физики металлов имени М.Н. Михеева Уральского отделения Российской академии наук”
Email: artem625@mail.ru
Россия, Екатеринбург
Список литературы
- Алферов Ж.И., Вавилов В.С. Оптические процессы в полупроводниках. М.: Мир, 1973. 456 с.
- Ю П., Кардона М. Основы физики полупроводников. М.: ФИЗМАТЛИТ, 2002. 560 с.
- Уханов Ю.И. Оптические свойства полупроводников М.: Наука, 1977. 366 с.
- Сухоруков Ю.П., Телегин А.В., Бессонов В.Д. и др. // Изв. РАН. Сер. физ. 2013. Т. 77. № 10. С. 1482; Sukhorukov Yu.P., Telegin A.V., Bessonov V.L. et al. // Bull. Russ. Acad. Sci. Phys. 2013. V. 77. No. 10. P. 1275.
- Ганьшина Е.А., Припеченков И.М., Перова Н.Н. и др. // Изв. РАН. Сер. физ. 2023. Т. 87. № 3. С. 328; Ganshina A.A., Pripechenkov I.M., Perova N.N. et al. // Bull. Russ. Acad. Sci. Phys. 2023. V. 87. No. 3. P. 282.
- Starostin A.A., Shangin V.V., Lonchakov A.T. et al. // Annalen der Physik. 2020. V. 532. No. 8. Art. No. 1900586.
- Romanova E., Kuzyutkina Y., Shiryaev V. et al. // J. Non-Cryst. Solids. 2018. V. 480. P. 13.
- Ваксман Ю.Ф., Ницук Ю.А., Яцун В.В. и др. // ФТП. 2010. Т. 44. № 2. С. 149; Vaksman Y.F., Nisuk Y.A., Yatsun V.V. et al. // Semiconductors. 2010. V. 44. No. 2. P. 141.
- Прохоров А.М. Исследования неравновесных носителей в германии при низких температурах. М.: Наука, 1985. 166 с.
- Сейсян Р.П. Спектроскопия диамагнитных экситонов. М.: Наука, 1984. 284 с.
- Сейсян Р.П. // ФТТ. 2016. Т. 58. № 5. С. 833; Seisyan R.P. // Phys. Solid State. 2016. V. 58. No. 5. С. 859.
- Сейсян Р.П., Савченко Г.М., Аверкиев Н.С. // ФТП. 2012. Т. 46. № 7. С. 896; Seisyan R.P., Savchenko G.M., Averkiev N.S. // Semiconductors. 2012. V. 46. No. 7. P. 873.
- Ландсберг Г.С. Оптика. М.: Физматлит, 2010. 848 с.
- Удд Э. Волоконно-оптические датчики. М.: Техносфера, 2008. 520 с.
- Бутусов М.М., Галкин С.Л., Оробинский С.П., Пал Б.П. Волоконная оптика и приборостроение. Л.: Машиностроение, 1987. 328 с.
- Окоси Т., Окамото К., Оцу М. и др. Волоконно-оптические датчики. Л.: Энергоатомиздат, 1990. 256 с.
- Лозовский В.Н., Лунин Л.С., Благин А.В. Градиентная жидкофазная кристаллизация многокомпонентных полупроводниковых материалов. Ростов-на-Дону: Изд.: СКНЦ ВШ, 2003. 376 с.
- Скворцов Л.А. Основы фототермической радиометрии и лазерной термографии. М.: Техносфера, 2017. 218 с.
- Тауц Я. Фото- и термоэлектрические явления в полупроводниках. М.: Изд-во иностр. лит., 1962. 253 с.
- Новицкий Л.А., Кожевников И.Г. Теплофизические свойства материалов при низких температурах. Справочник. М.: Машиностроение, 1975. 216 с.
Дополнительные файлы







