Methods to increase the threshold pulsed magnetic field which causes destruction of a steel inductor under repeated impact
- Authors: Russkikh P.A.1, Boltachev G.S.1, Paranin S.N.1
-
Affiliations:
- Institute of Electrophysics of the Ural Branch of the Russian Academy of Sciences
- Issue: Vol 87, No 11 (2023)
- Pages: 1534-1540
- Section: Articles
- URL: https://journals.rcsi.science/0367-6765/article/view/232475
- DOI: https://doi.org/10.31857/S0367676523702678
- EDN: https://elibrary.ru/FCSSRQ
- ID: 232475
Cite item
Full Text
Abstract
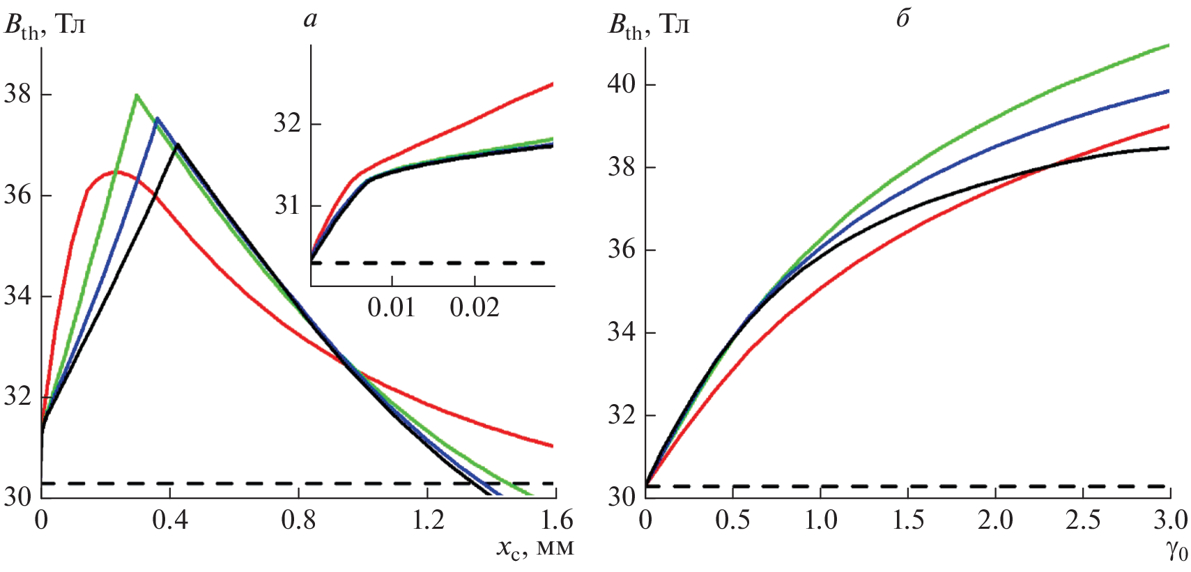
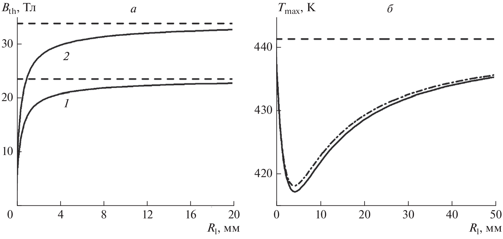
Methods of increasing the pulsed magnetic field with an amplitude of about 40 T, which the cylindrical thick-walled inductor made of 30ХГСА steel can withstand without destruction under repeated impact, are considered. The methods include changing the material parameters, magnetic pulse characteristics, inner radius, creating a profile of resistivity decreasing from the inner surface deep into the material.
About the authors
P. A. Russkikh
Institute of Electrophysics of the Ural Branch of the Russian Academy of Sciences
Author for correspondence.
Email: russkikh_p@inbox.ru
Russia, 620016, Ekaterinburg
G. Sh. Boltachev
Institute of Electrophysics of the Ural Branch of the Russian Academy of Sciences
Email: russkikh_p@inbox.ru
Russia, 620016, Ekaterinburg
S. N. Paranin
Institute of Electrophysics of the Ural Branch of the Russian Academy of Sciences
Email: russkikh_p@inbox.ru
Russia, 620016, Ekaterinburg
References
- Русских П.А., Болтачев Г.Ш., Паранин С.Н. // ЖТФ. 2023. Т. 93. № 5. С. 654.
- Spirin A.V., Boltachev G.Sh, Krutikov V.I. et al. // AIP Conf. Proc. 2019. V. 2174. No. 1. Art. No. 020163.
- Krivosheev S.I., Adamian Yu.E., Alekseev D.I. et al. // J. Phys. Conf. Ser. 2019. V. 1147. Art. No. 012033.
- Карпова И.М., Титков В.В. // ЖТФ. 1994. Т. 64. № 7. С. 137.
- Карпова И.М., Титков В.В. // ЖТФ. 1995. Т. 65. № 6. С. 54.
- Russkikh P.A., Boltachev G.S., Paranin S.N. et al. // IEEE Trans. Plasma Sci. 2021. V. 49. No. 9. P. 2463.
- Spirin A.V., Russkikh P.A., Krutikov V.I. et al. // Proc. 20th Int. Symp. on High-Current Electronics. (Tomsk, 2018). P. 148.
- Karpova I.M., Semakhin A.N., Titkov V.V. et al. Analysis of methods of lowering heating of and thermal stresses in the coils in high magnetic fields. N.Y.: Nova Science Publ., 1990. P. 209.
- Шнеерсон Г.А. Поля и переходные процессы в аппаратуре сверхсильных токов. М.: Энергоатомиздат, 1992. 413 с.
- Spirin A.V., Zaytsev E.Y., Paranin S.N. // IEEE Trans. Magn. 2022. V. 58. No. 6. Art. No. 8401107.
- Алехина Ю.А., Перов Н.С. // Изв. РАН. Сер. физ. 2022. Т. 86. № 2. С. 170; Alekhina Y.A., Perov N.S. // Bull. Russ. Acad. Sci. Phys. 2022. V. 86. No. 2. P. 120.
- Орешкин В.И., Чайковский С.А., Дацко И.М. // Изв. РАН. Сер. физ. 2018. Т. 82. № 4. С. 457; Oreshkin V.I., Chaikovsky S.A., Datsko I.M. et al. // Bull. Russ. Acad. Sci. Phys. 2018. V. 82. No. 4. P. 399.
- Knoepfel H. Pulsed high magnetic fields. Physical effects and generation methods concerning pulsed fields up to the megaoersted level. Amsterdam-London: North-Holland Publ. Company, 1970. P. 372.
- Spirin A.V., Boltachev G.Sh., Paranin S.N. et al. // Proc. EAPPC / BEAMS. 2018. (Changsha, 2018) P. 172.
- Sedov L.I. Mechanics of continuous media. V. 1 and 2. Singapore: World Scientific, 1997. 1368 p.
- Бабичев А.П., Бабушкина Н.А., Братковский А.М. и др. Таблицы физических величин. М.: Энергоатомиздат, 1991. 1009 с.
Supplementary files







