FeNi нанопроволоки как перспективный наполнитель магниточувствительного геля
- Авторы: Филиппова Ю.А.1,2, Бижецкий А.С.2, Папугаева А.В.1, Панов Д.В.1,3,4, Бедин С.А.1,4, Шибаев А.В.2,5, Филиппова О.Е.2, Разумовская И.В.1
-
Учреждения:
- Федеральное государственное бюджетное образовательное учреждение высшего образования “Московский педагогический государственный университет”
- Федеральное государственное бюджетное образовательное учреждение высшего образования “Московский государственный университет имени М.В. Ломоносова”
- Федеральное государственное автономное образовательное учреждение высшего образования Национальный исследовательский университет “Высшая школа экономики”
- Федеральное государственное учреждение “Федеральный научно-исследовательский центр “Кристаллография и фотоника” Российской академии наук”
- Карагандинский университет имени Е.А. Букетова, химический факультет
- Выпуск: Том 87, № 10 (2023)
- Страницы: 1452-1456
- Раздел: Статьи
- URL: https://journals.rcsi.science/0367-6765/article/view/141842
- DOI: https://doi.org/10.31857/S0367676523702538
- EDN: https://elibrary.ru/PQEEQH
- ID: 141842
Цитировать
Полный текст
Аннотация
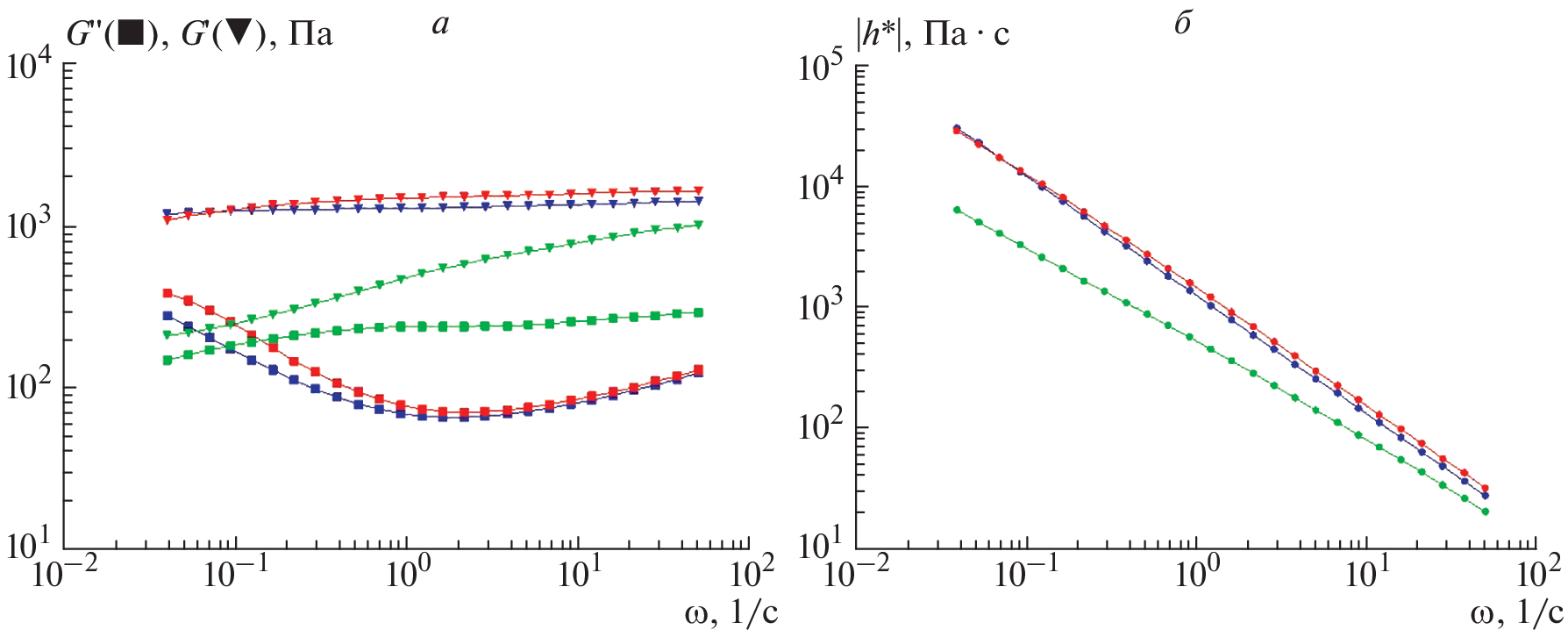
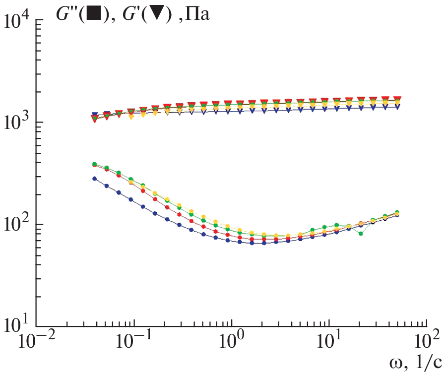
Описан метод получения железо-никелевых нанопроволок длиной 5 мкм и диаметром 100 нм с использованием шаблонного синтеза на базе трековых мембран. Методом растровой электронной микроскопии оценена фактическая длина полученных FeNi нанопроволок, исследован их элементный состав и структура. Обоснована возможность использования синтезированных нанопроволок для получения магнитных полимерных гелей.
Об авторах
Ю. А. Филиппова
Федеральное государственное бюджетное образовательное учреждение высшего образования“Московский педагогический государственный университет”; Федеральное государственное бюджетное образовательное учреждение высшего образования
“Московский государственный университет имени М.В. Ломоносова”
Автор, ответственный за переписку.
Email: yufi26@list.ru
Россия, Москва; Россия, Москва
А. С. Бижецкий
Федеральное государственное бюджетное образовательное учреждение высшего образования“Московский государственный университет имени М.В. Ломоносова”
Email: yufi26@list.ru
Россия, Москва
А. В. Папугаева
Федеральное государственное бюджетное образовательное учреждение высшего образования“Московский педагогический государственный университет”
Email: yufi26@list.ru
Россия, Москва
Д. В. Панов
Федеральное государственное бюджетное образовательное учреждение высшего образования“Московский педагогический государственный университет”; Федеральное государственное автономное образовательное учреждение высшего образования
Национальный исследовательский университет “Высшая школа экономики”; Федеральное государственное учреждение
“Федеральный научно-исследовательский центр “Кристаллография и фотоника” Российской академии наук”
Email: yufi26@list.ru
Россия, Москва; Россия, Москва; Россия, Москва
С. А. Бедин
Федеральное государственное бюджетное образовательное учреждение высшего образования“Московский педагогический государственный университет”; Федеральное государственное учреждение
“Федеральный научно-исследовательский центр “Кристаллография и фотоника” Российской академии наук”
Email: yufi26@list.ru
Россия, Москва; Россия, Москва
А. В. Шибаев
Федеральное государственное бюджетное образовательное учреждение высшего образования“Московский государственный университет имени М.В. Ломоносова”; Карагандинский университет имени Е.А. Букетова, химический факультет
Email: yufi26@list.ru
Россия, Москва; Казахстан, Караганда
О. Е. Филиппова
Федеральное государственное бюджетное образовательное учреждение высшего образования“Московский государственный университет имени М.В. Ломоносова”
Email: yufi26@list.ru
Россия, Москва
И. В. Разумовская
Федеральное государственное бюджетное образовательное учреждение высшего образования“Московский педагогический государственный университет”
Email: yufi26@list.ru
Россия, Москва
Список литературы
- Такетоми С., Тикадзуми С. Магнитные жидкости. М.: Мир, 1993. 272 с.
- Розенцвейг Р. Ферро-гидродинамика. М.: Мир, 1989. 357 с.
- Атанов А.Ю., Целищев В.А., Найгерт К.В. // Вестн. УГАТУ. 2021. Т. 25. № 2(92). С. 24.
- Ravaud R., Lemarquand G., Lemarquand V. // J. Appl. Phys. 2009. No. 106. Art. No. 034911.
- Kole M., Khandekar S. // J. Magn. Magn. Mater. 2021. V. 537. P. 168222.
- Сенатская И.И., Байбуртский Ф.С. // Химия и жизнь. 2002. № 10. С. 43.
- Морозов Н.А., Казаков Ю.Б. Нанодисперсные магнитные жидкости в технике и технологиях. Иван. гос. энерг. ун-т, 2011. 264 с.
- Новопашин С.А., Серебрякова М.А., Хмель С.Я. // Теплофиз. и аэромех. 2015. Т. 22. № 4. С. 411.
- Филиппова Ю.А., Папугаева А.В. // Сб. тр. VIII межд. конф. “Физико-математическое и технологическое образование: проблемы и перспективы развития” (Москва, 2022). С. 1.
- Molchanov V.S., Klepikov I.A., Razumovskaya I.V. et al. // Nanosyst. Phys. Chem. Math. 2018. V. 9(3). No. 3. P. 335.
- Sun M., Tian Ch., Mao L. et al. // Adv. Funct. Mater. 2022. V. 32. No. 26. Art. No. 2112508.
- Bell R., Zimmerman D., Wereley N. // In: Electrodeposited nanowires and their applications. Vienna, 2010. P. 189.
- Prina-Mello A., Diao Z., Coey J.M.D. // J. Nanobiotechnol. 2006. V. 4. No. 1. P. 1.
- Гусев А.И. // УФН. 1998. Т. 168. № 1. С. 55; Gusev A.I. // Phys. Usp. 1998. V. 41. No. 1. P. 49.
- Kawai S., Ueda R.J. // Electrochem. Soc. 1975. V. 112. T. 1. P. 32.
- Dobrev D., Vetter J., Angert N., Neumann R. // Appl. Phys. A. 2001. V. 72. No. 6. P. 729.
- Коротков В.В., Кудрявцев В.H., Загорский Д.Л. и др. // Гальванотехн. и обр. поверхности. 2011. Т. 19. № 4. С. 23.
- Коротков В.В., Кудрявцев В.Н., Кругликов С.С. и др. // Гальванотехн. и обр. поверхности. 2015. Т. 23. № 1. С. 24.
- Долуденко И.М., Загорский Д.Л., Фролов К.В. и др. // ФТТ. 2020. Т. 62. № 9. С. 1474; Doludenko I.M., Zagorskii D.L., Frolov K.V. et al. // Phys. Solid State. 2020. V. 62. No. 9. P. 1639.
Дополнительные файлы







