Новый метод получения наноразмерных тисонитовых фаз
- Авторы: Закалюкин Р.М.1,2, Левкевич Е.А.1,2, Гребенев В.В.1, Глазунова Т.Ю.3, Бузоверов М.Е.3, Кумсков А.С.1
-
Учреждения:
- Федеральное государственное учреждение “Федеральный научно-исследовательский центр “Кристаллография и фотоника” Российской академии наук”, Институт кристаллографии имени А.В. Шубникова
- Федеральное государственное бюджетное образовательное учреждение высшего образования “МИРЭА – Российский технологический университет”
- Федеральное государственное бюджетное образовательное учреждение высшего образования “Московский государственный университет имени М.В. Ломоносова”, химический факультет
- Выпуск: Том 87, № 10 (2023)
- Страницы: 1381-1384
- Раздел: Статьи
- URL: https://journals.rcsi.science/0367-6765/article/view/141830
- DOI: https://doi.org/10.31857/S0367676523702411
- EDN: https://elibrary.ru/WXFFZT
- ID: 141830
Цитировать
Полный текст
Аннотация
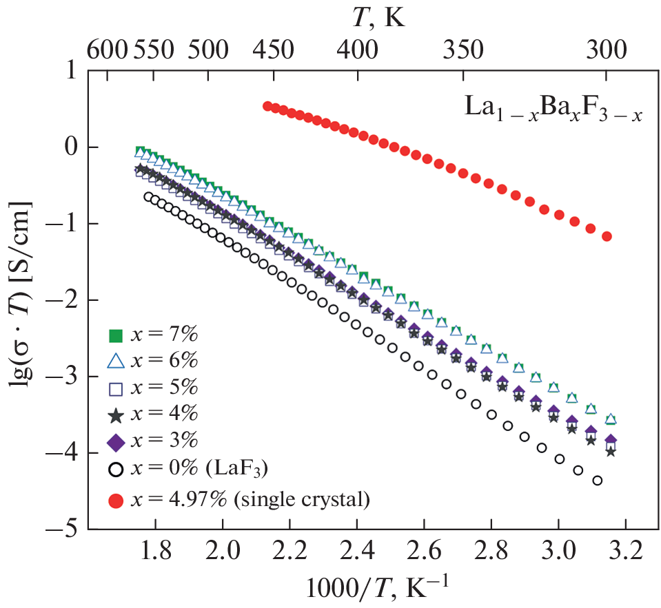
Нанопорошки тисонитовых твердых растворов La1 – xBaxF3 – x (х = 0–0.07) впервые синтезированы термическим разложением трифторацетатов лантана и бария. Полученные образцы охарактеризованы методами электронной микроскопии, рентгенофазового анализа и импедансной спектроскопии. Обнаружено, что наночастицы являются кристаллическими и имеют характерные размеры 20–75 нм. Ионная проводимость твердых растворов в диапазоне до 300°C определяется поверхностными явлениями на границах частиц.
Об авторах
Р. М. Закалюкин
Федеральное государственное учреждение“Федеральный научно-исследовательский центр “Кристаллография и фотоника” Российской академии наук”,
Институт кристаллографии имени А.В. Шубникова; Федеральное государственное бюджетное образовательное учреждение высшего образования
“МИРЭА – Российский технологический университет”
Автор, ответственный за переписку.
Email: ruslan@crys.ras.ru
Россия, Москва; Россия, Москва
Е. А. Левкевич
Федеральное государственное учреждение“Федеральный научно-исследовательский центр “Кристаллография и фотоника” Российской академии наук”,
Институт кристаллографии имени А.В. Шубникова; Федеральное государственное бюджетное образовательное учреждение высшего образования
“МИРЭА – Российский технологический университет”
Email: ruslan@crys.ras.ru
Россия, Москва; Россия, Москва
В. В. Гребенев
Федеральное государственное учреждение“Федеральный научно-исследовательский центр “Кристаллография и фотоника” Российской академии наук”,
Институт кристаллографии имени А.В. Шубникова
Email: ruslan@crys.ras.ru
Россия, Москва
Т. Ю. Глазунова
Федеральное государственное бюджетное образовательное учреждение высшего образования“Московский государственный университет имени М.В. Ломоносова”, химический факультет
Email: ruslan@crys.ras.ru
Россия, Москва
М. Е. Бузоверов
Федеральное государственное бюджетное образовательное учреждение высшего образования“Московский государственный университет имени М.В. Ломоносова”, химический факультет
Email: ruslan@crys.ras.ru
Россия, Москва
А. С. Кумсков
Федеральное государственное учреждение“Федеральный научно-исследовательский центр “Кристаллография и фотоника” Российской академии наук”,
Институт кристаллографии имени А.В. Шубникова
Email: ruslan@crys.ras.ru
Россия, Москва
Список литературы
- Закалюкин Р.М., Болталин А.И., Федоров П.П. и др. // Физ. и хим. стекла. 1999. Т. 25. № 3. С. 355.
- Сорокин Н.И., Закалюкин Р.М., Глазунова Т.Ю. и др. // Неорг. матер. 2000. Т. 36. № 8. С. 1008.
- Dhanapala D.B., Munasinghe H.N., Suescun L. et al. // Inorg. Chem. 2017. V. 56. P. 13311.
- Zakalyukin R.M., Levkevich E.A., Kumskov A.S. // Ceram. Int. 2022. V. 48. No. 18. P. 26565.
- Nowroozi M.A., Mohammad I., Molaiyan P. et al. // J. Mater. Chem. A. 2021. V. 9. No. 10. P. 5980.
- Toma O., Rotella H., Dahab H. et al. // J. Alloys Compounds. 2021. V. 862. Art. No. 158683.
- Gopinadh S.V., Phanendra P.V.R.L., John B. et al. // Sust. Mater. Technol. 2022. V. 32. Art. No. e00436.
- Buchinskaya I.I., Karimov D.N., Sorokin N.I. // Crystals. 2021. V. 11. No. 6. P. 629.
- Astruc A., Cochon C., Dessourses C. et al. // Appl. Catalysis A. 2013. V. 453. P. 20.
- Astruc A., Celerier S., Pavon E. et al. // Appl. Catalysis B. 2017. V. 204. P. 107.
- Кузнецов С.В., Федоров П.П., Воронов В.В. и др. // Журн. неорг. хим. 2010. Т. 55. № 4. С. 536; Kuznetsov S.V., Fedorov P.P., Voronov V.V. et al. // Russ. J. Inorg. Chem. 2010. V. 55. No. 4. P. 484.
- Chen X., Wu Y. // J. Alloys Compounds. 2020. V. 817. Art. No. 153075.
- He W., Du H., Fu J. et al. // New J. Chem. 2021. V. 45. P. 1446.
- Закалюкин Р.М., Левкевич Е.А., Николаева А.В.// Тонкие хим. технол. 2021. Т. 16. № 5. С. 426; Zakalyukin R.M., Levkevich E.A., Nikolaeva A.V. // Fine Chem. Tech. 2021. V. 16. No. 5. P. 426.
- Chable J., Dieudonne B., Body M. et al. // Dalton Trans. 2015. V. 44. P. 19625.
- Chable J., Martin A.G., Bourdin A. et al. // J. Alloys Compounds. 2017. V. 692. P. 980.
- Fedorov P.P., Mayakova M., Alexandrov A. et al. // Inorganics. 2018. V. 6. P. 38.
- Fedorov P.P., Alexandrov A.A. // J. Fluorine Chem. 2019. V. 227. Art. No. 109374.
- Федоров П.П., Александров А.А., Брагина А.Г. и др. // Журн. неорг. хим. 2022. Т. 67. № 6. С. 794; Fedorov P.P., Alexandrov A.A., Bragina A.G. et al. // Russ. J. Inorg. Chem. 2022. V. 67. P. 861.
- Морозов И.В., Карпова Е.В., Глазунова Т.Ю. и др. // Коорд. хим. 2016. Т. 42. № 10. С. 609.
- Fedorova A.A., Fedulin A.I., Morozov I.V. // J. Fluorine Chem. 2015. V. 178. P. 173.
- Глазунова Т.Ю., Болталин А.И., Федоров П.П. // Журн. неорг. хим. 2006. Т. 51. № 7. С. 1061; Glazunova T.Yu., Boltalin A.I., Fedorov A.A. // Russ. J. Inorg. Chem. 2006. V. 7. P. 983.
- Buzoverov M.E., Glazunova T.Yu., Lermontova E.Kh. // Mendeleev Commun. 2022. V. 32. No. 2. P. 212.
- Васильева А.А., Глазунова Т.Ю., Терещенко Д.С., Лермонтова Е.Х. // Тонкие хим. технол. 2021. Т. 16. № 4. С. 352; Vasilyeva A.A., Glazunova T.Yu., Tereshchenko D.S., Lermontova E.Kh. // Fine Chem. Tech. 2021. V. 16. No. 4. P. 352.
- Федоров П.П. // Журн. неорг. хим. 1999. Т. 44. № 11. С. 1792; Fedorov P.P. // Russ. J. Inorg. Chem. 1999. V. 44. No. 11. P. 1703.






