Зависимость релаксационных свойств растворов полипропилена от концентрации органических растворителей: молекулярно-динамическое моделирование
- Авторы: Егоров В.И.1, Максимова О.Г.1
-
Учреждения:
- Федеральное государственное бюджетное образовательное учреждение высшего образования “Череповецкий государственный университет”
- Выпуск: Том 87, № 9 (2023)
- Страницы: 1316-1321
- Раздел: Статьи
- URL: https://journals.rcsi.science/0367-6765/article/view/135490
- DOI: https://doi.org/10.31857/S0367676523702319
- EDN: https://elibrary.ru/JWEZNM
- ID: 135490
Цитировать
Полный текст
Аннотация
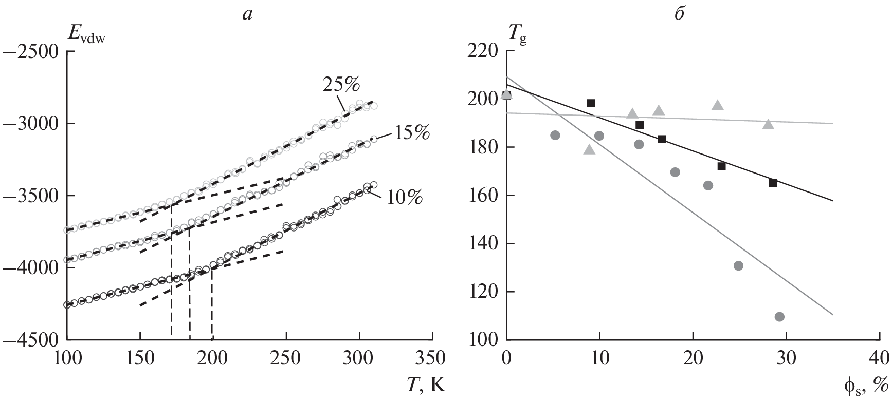
Методом молекулярной динамики исследована микроскопическая релаксация полимерных цепей в органических растворителях. Расчеты были проведены для модели полипропилена в трех различных растворителях (ацетон, циклопентан, ацетонитрил). Получена зависимость времени релаксации и температуры стеклования полимера от массовой доли растворителя.
Об авторах
В. И. Егоров
Федеральное государственное бюджетное образовательное учреждение высшего образования“Череповецкий государственный университет”
Автор, ответственный за переписку.
Email: rvladegorov@rambler.ru
Россия, Череповец
О. Г. Максимова
Федеральное государственное бюджетное образовательное учреждение высшего образования“Череповецкий государственный университет”
Email: rvladegorov@rambler.ru
Россия, Череповец
Список литературы
- Sur S., Rothstein J. // J. Rheol. 2018. V. 62. No. 5. P. 1245.
- Egorov V., Maksimova O., Andreeva I. et al. // Phys. Fluids. 2020. V. 32. No. 12. Art. No. 121902.
- Di Lorenzo M.L., Longo A.N. // Thermochim. Acta. 2019. V. 677. P. 180.
- Booth C., Price C. Comprehensive polymer science. V. 2. Pergamon, 1986. 657 p.
- Lipson J.E.G., Milner S.T. // J. Polym. Sci. B. 2006. V. 44. No. 24. P. 3528.
- Du F., Schick C., Androsch R. // Polymer. 2020. V. 209. Art. No. 123058.
- Peter S., Meyer H., Baschnagel J. // Eur. Phys. J. E. 2009. V. 28. No. 2. P. 147.
- Götze W., Voigtmann T. // Phys. Rev. E. 2003. V. 67. No. 2. Art. No. 021502.
- Gor G. Y., Cannarella J., Leng C.Z. et al. // J. Power Sources. 2015. V. 294. P. 167.
- Yan S., Xiao X., Huang X. et al. // Polymer. 2014. V. 55 No. 24. P. 6282.
- Rofika R.N.S., Honggowiranto W., Jodi H. et al. // Ionics. 2019. V. 25. P. 3661.
- Logan E., Tonita E.M., Gering K. et al. // J. Electrochem. Soc. 2018. V. 165. Art. No. A21.
- Lagadec M.F., Zahn R., Wood V. // Nature Energy. 2019. V. 4. P. 16.
- Brodka A., Zerda T. // J. Chem. Phys. 1996. V. 104. P. 6313.
- Muñoz-Muñoz Y.M., Guevara-Carrion G., Llano-Restrepo M., Vrabec J. // Fluid Phase Equilib. 2015. V. 404. P. 150.
- Mountain R.D. // J. Phys. Chem. C. 2013. V. 117. No. 8. P. 3923.
- Pütz M., Curro J.G., Grest G.S. // J. Chem. Phys. 2001. V. 114. No. 6. P. 2847.
- Buchholz J., Paul W., Varnik F., Binder K. // J. Chem. Phys. 2002. V. 117. P. 7364.






