Switching processes in ferroactive solid solution 0.725NaNbO3–0.20KNbO3–0.075CdNb2O6
- Authors: Moysa M.O.1, Talanov M.V.1, Andryushin K.P.1, Shvetsova N.A.1, Shvetsov I.A.1, Rybyanets A.N.1
-
Affiliations:
- Institute of Physics, Southern Federal University
- Issue: Vol 87, No 9 (2023)
- Pages: 1285-1288
- Section: Articles
- URL: https://journals.rcsi.science/0367-6765/article/view/135485
- DOI: https://doi.org/10.31857/S0367676523702265
- EDN: https://elibrary.ru/KBAEMI
- ID: 135485
Cite item
Full Text
Abstract
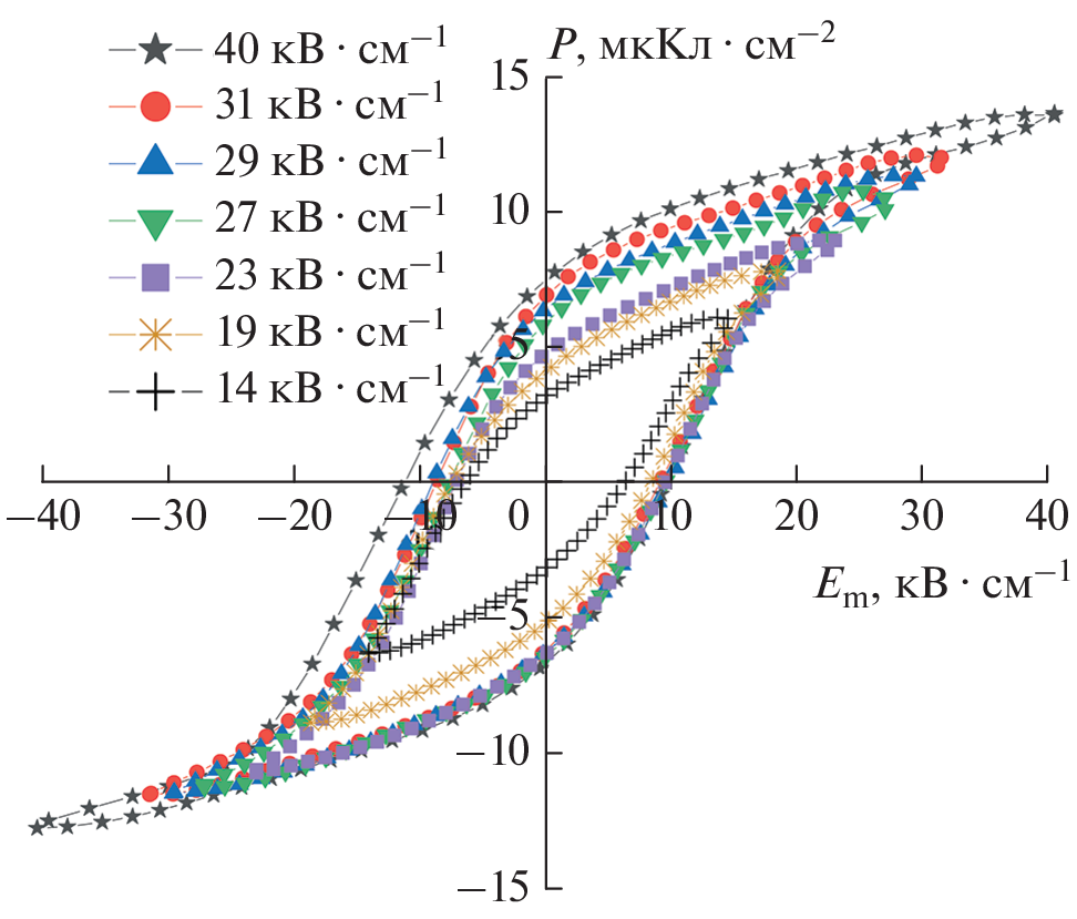
The results of dielectric hysteresis loops and dielectric permittivity studying of 0.725NaNbO3–0.20KNbO3–0.075CdNb2O6 ceramics in strong (5–40 kV · cm–1) and weak (0–0.3 kV · cm–1) alternating electric field are presented. The parameters of the reversible and irreversible contributions to the dielectric permittivity are determined. Based on the Preisach model, a diagram of the density of domain switching is constructed. It is shown that the distribution function of domains over local coercive fields is characterized by a sharp peak, which indicates a high degree of homogeneity of the domain structure.
About the authors
M. O. Moysa
Institute of Physics, Southern Federal University
Author for correspondence.
Email: moysa@sfedu.ru
Russia, 344090, Rostov-on-Don
M. V. Talanov
Institute of Physics, Southern Federal University
Email: moysa@sfedu.ru
Russia, 344090, Rostov-on-Don
K. P. Andryushin
Institute of Physics, Southern Federal University
Email: moysa@sfedu.ru
Russia, 344090, Rostov-on-Don
N. A. Shvetsova
Institute of Physics, Southern Federal University
Email: moysa@sfedu.ru
Russia, 344090, Rostov-on-Don
I. A. Shvetsov
Institute of Physics, Southern Federal University
Email: moysa@sfedu.ru
Russia, 344090, Rostov-on-Don
A. N. Rybyanets
Institute of Physics, Southern Federal University
Email: moysa@sfedu.ru
Russia, 344090, Rostov-on-Don
References
- Zhang S., Xia R., Shrout T.R. et al. // Solid State Commun. 2007. V. 141. No. 12. P. 675.
- Wei H., Wang H., Xia Y. et al. // J. Mater. Chem. C. 2018. V. 6. P. 12446.
- Wu J.G. Advances in lead-free piezoelectric materials. Singapore: Springer, 2018.
- Lee M.H., Kim D.J., Park J.S. et al. // Adv. Mater. 2015. V. 27. P. 6976.
- Papanikolaou N.C., Hatzidaki E.G., Belivanis S. et al. // Med. Sci. Monitor. 2005. V. 11. No. 10. P. RA329.
- Marcus D.K., Fulton J.J., Clarke E.J. // J. Clin. Child Adolesc. Psychol. 2010. V. 39. No. 2. P. 234.
- Mason L.H., Harp J.P., Han D.Y // BioMed Res. Int. 2014. V. 2014. Art. No. 840547.
- Coondoo I., Panwar N., Kholkin A. // J. Adv. Dielectr. 2013. V. 3. No. 2. Art. No. 1330002.
- Kim J., Ji J.-H., Shin D.-J., Koh J.-H. // Ceram. Int. 2018. V. 44. No. 18. P. 22219.
- Egerton L., Dillon D.M. et al. // J. Amer. Ceram. Soc. 1959. V. 42. P. 438.
- Moysa M.O., Andryushin K.P., Kubrin S.P. et al. // J. Phys. Conf. Ser. 2021. V. 1942. No. 117. Art. No. 012027.
- Andryushin K., Shilkina L., Andryushina I. et al. // Materials. 2021. V. 14. No. 14. Art. No. 4009.
- Турик А.В. // ФТТ. 1963. Т. 5. № 10. С. 2922.
- Taylor D.V., Damjanovic D. // J. Appl. Phys. 1997. V. 82. P. 1973.
- Cima L., Laboure E., Muralt P. // Rev. Sci. Instrum. 2002. V. 73. No. 10. P. 3546.
- Fujii I., Hong E., Trolier-McKinstry S. // IEEE Trans. Ultrason. Ferroelectr. Freq. Control. 2010. V. 57. No. 8. P. 1717.
- Tsuji K., Fan Z. Bang S., Dursun S. et al. // J. Eur. Ceram. Soc. 2022. V. 42. No. 1. P. 105.
- Piazza D., Stoleriu L., Mitoseriu L. et al. // J. Eur. Ceram. Soc. 2006. V. 26. No. 14. P. 2959.
Supplementary files






