Сверхпроводящий спиновый клапан СoОх/Fe1/Аl/Fe2/Аl/Pb на сегнетоэлектрической подложке из ниобата свинца и магния и титаната свинца
- Авторы: Камашев А.А.1, Большаков С.А.1, Мамин Р.Ф.1, Гарифуллин И.А.1
-
Учреждения:
- Казанский физико-технический институт имени Е.К. Завойского – обособленное структурное подразделение Федерального государственного бюджетного учреждения науки “Федеральный исследовательский центр “Казанский научный центр Российской академии наук”
- Выпуск: Том 87, № 9 (2023)
- Страницы: 1268-1273
- Раздел: Статьи
- URL: https://journals.rcsi.science/0367-6765/article/view/135482
- DOI: https://doi.org/10.31857/S036767652370223X
- EDN: https://elibrary.ru/WZQCKK
- ID: 135482
Цитировать
Полный текст
Аннотация
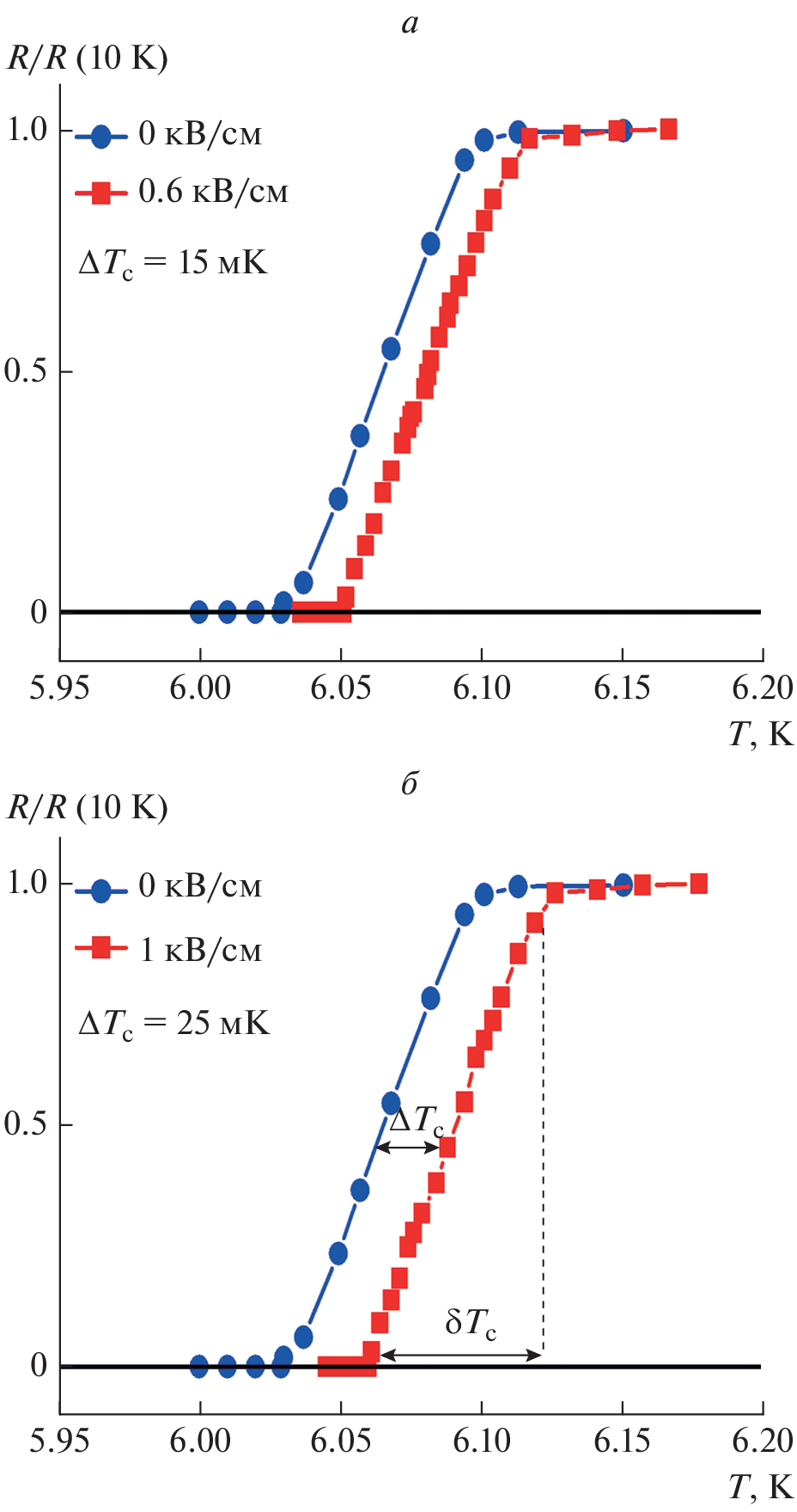
Изучены свойства структуры сверхпроводящего спинового клапана СоОx/Fe1/Аl/Fe2/Аl/Pb на коммерческой сегнетоэлектрической подложке из ниобата свинца и магния и титаната свинца ([Pb(Mg1/3Nb2/3)O3]1 – x–[PbTiO3]x, где x = 0.29–0.31) под воздействием электрического поля. Внешнее электрическое поле создает упругие напряжения и деформации в сегнетоэлектрической подложке, что может приводить к изменению взаимной ориентации намагниченностей ферромагнитых слоев в структуре спинового клапана. Согласно результатам наших исследований, при прикладывании электрического поля 1 кВ/см удается зарегистрировать сдвиг температуры перехода в сверхпроводящее состояние системы СоОx/Fe1/Аl/Fe2/Аl/Pb на 25 мК.
Об авторах
А. А. Камашев
Казанский физико-технический институт имени Е.К. Завойского –обособленное структурное подразделение Федерального государственного бюджетного учреждения науки
“Федеральный исследовательский центр “Казанский научный центр Российской академии наук”
Автор, ответственный за переписку.
Email: kamandi@mail.ru
Россия, Казань
С. А. Большаков
Казанский физико-технический институт имени Е.К. Завойского –обособленное структурное подразделение Федерального государственного бюджетного учреждения науки
“Федеральный исследовательский центр “Казанский научный центр Российской академии наук”
Email: kamandi@mail.ru
Россия, Казань
Р. Ф. Мамин
Казанский физико-технический институт имени Е.К. Завойского –обособленное структурное подразделение Федерального государственного бюджетного учреждения науки
“Федеральный исследовательский центр “Казанский научный центр Российской академии наук”
Email: kamandi@mail.ru
Россия, Казань
И. А. Гарифуллин
Казанский физико-технический институт имени Е.К. Завойского –обособленное структурное подразделение Федерального государственного бюджетного учреждения науки
“Федеральный исследовательский центр “Казанский научный центр Российской академии наук”
Email: kamandi@mail.ru
Россия, Казань
Список литературы
- Fischer O., Peter M. Magnetism: magnetic properties of metallic alloys. Recent work on ferromagnetic superconductors. N.Y.: Academic Press Inc, 1973.
- Rehmann S., Herrmannsdrfer T. // Phys. Rev. Lett. 1997. V. 78. No. 6. P. 1122.
- Bulaevskii L.N., Buzdin A.I., Kuli’c M.L. et al. // Adv. Phys. 1985. V. 34. No. 2. P. 175.
- Chien C.L., Jiang J.S., Xiao J.Q. et al. // J. Appl. Phys.1997. V. 81. No. 8. P. 5358.
- Chien C.L., Reich D.H. // J. Magn. Magn. Mat. 1999. V. 200. P. 83.
- Garifullin I.A. // J. Magn. Magn. Mat. 2002. V. 240. P. 571.
- Изюмов Ю.А., Прошин Ю.Н., Хусаинов М.Г. // УФН. 2002. Т. 172. № 2. С. 113; Izyumov Yu.A., Proshin Yu.N., Khusainov M.G. // Phys. Usp. 2002. V. 45. No. 2. P. 109.
- Golubov A.A., Kupriyanov M.Y., Il’ichev E. // Rev. Mod. Phys. 2004. V. 76. No. 2. P. 411.
- Buzdin A.I. // Rev. Mod. Phys. 2005. V. 77. No. 3. P. 935.
- Bergeret F.S., Volkov A.F., Efetov K.B. // Rev. Mod. Phys. 2005. V. 77. P. 1321.
- Efetov K.B., Garifullin I.A., Volkov A.F., Westerholt K. Magnetic heterostructures. Advances and perspectives in spinstructures and spintransport. Series Springer Tracts in Modern Physics. V. 227. Berlin: Springer, 2007. P. 252.
- Youm S., Oh D., Beasley M.R. // Appl. Phys. Lett. 1997. V. 71. No. 16. P. 2376.
- Tagirov L.R. // Physica C. 1998. V. 307. P. 145.
- Buzdin A.I., Vedyayev A.V., Ryzhanova N.V. // Europhys. Lett. 1999. V. 48. No. 48. P. 686.
- Baladi’e I., Buzdin A.I., Ryazhanov N. et al. // Phys. Rev. B. 2000. V. 63. Art. No. 054518.
- Leksin P.V., Garif’yanov N.N., Garifullin I.A. et al. // Appl. Phys. Lett. 2010. V. 97. No. 10. Art. No. 102505.
- Eschrig M. // Physics Today. 2011. V. 64. No. 1. P. 43.
- Blamire M.G., Robinson J.W.A. // J. Phys. Cond. Matter. 2014. V. 26. No. 45. Art. No. 453201.
- Linder J., Robinson J.W.A. // Nature Physics. 2015. V. 11. P. 307.
- Fоminоv Yа.V., Gоlubоv А.А., Kаrminskаyа T.Yu. et al. // Письма в ЖЭТФ. 2010. Т. 91. № 6. С. 329; Fоminоv Yа.V., Gоlubоv А.А., Kаrminskаyа T.Yu. et al. // JETP Lett. 2010. V. 91. No. 6. P. 308.
- Leksin P.V., Garif’yanov N.N., Garifullin I.A. et al. // Phys. Rev. Lett. 2012. V. 109. Art. No. 057005.
- Kamashev A.A., Garif’yanov N.N., Validov A.A. et al. // Beilstein J. Nanotechnol. 2019. V. 10. P. 1458.
- Kamashev A.A., Garif’yanov N.N., Validov A.A. et al. // Phys. Rev. B. 2019. V. 100. Art. No. 134511.
- Singh A., Voltan S., Lahabi K., Aarts J. // Phys. Rev. X. 2015. V. 5. Art. No. 021019.
- Kamashev A.A., Leontyev A.V., Garifullin I.A. et al. // Ferroelectrics. 2022. V. 592. No. 1. P. 123.
Дополнительные файлы






