Astrophysical S-factor in a square-well potential model
- Authors: Torilov S.Y.1, Maltsev N.A.1, Zherebchevsky V.I.1
-
Affiliations:
- St. Petersburg State University
- Issue: Vol 87, No 8 (2023)
- Pages: 1210-1213
- Section: Articles
- URL: https://journals.rcsi.science/0367-6765/article/view/135473
- DOI: https://doi.org/10.31857/S0367676523702150
- EDN: https://elibrary.ru/ZDJLDG
- ID: 135473
Cite item
Full Text
Abstract
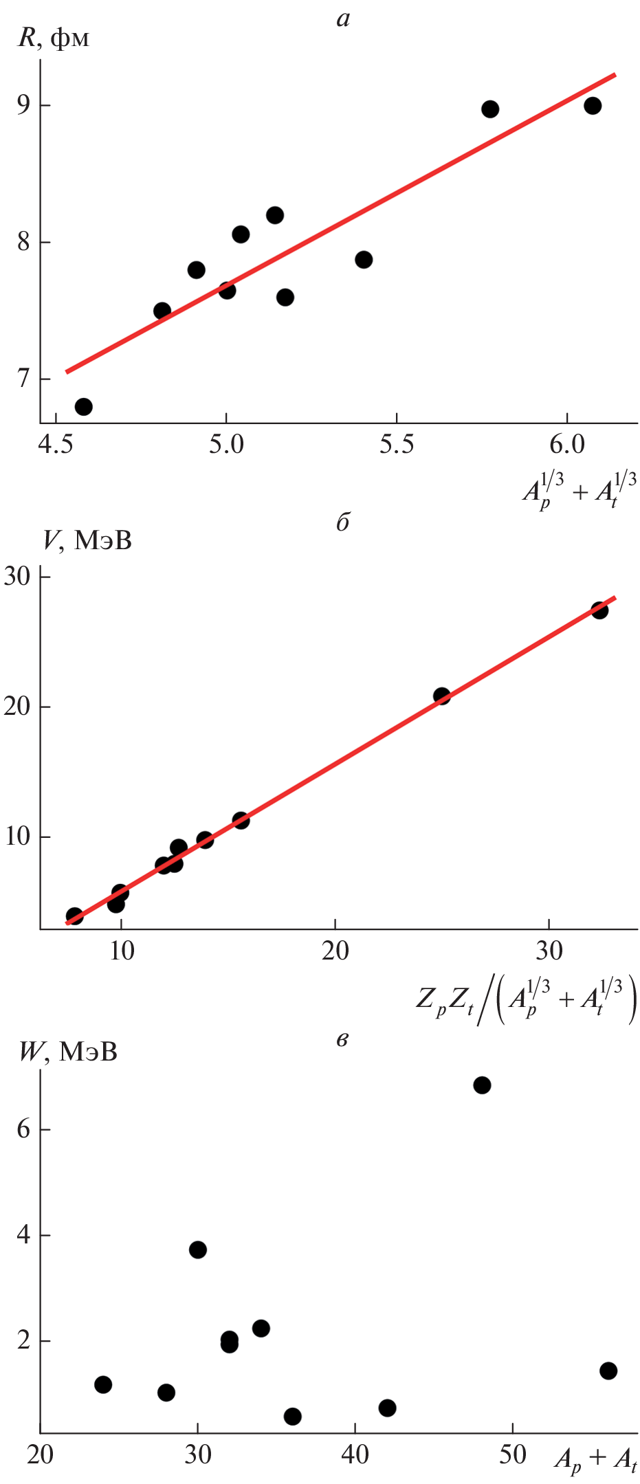
The astrophysical S-factor for the fusion of light nuclei, important for stellar nucleosynthesis reactions was analyzed within the framework of a model with a square-well potential. Using this model, one can obtain a good description of the experimental data in the sub-barrier energy region for the even-even nuclei fusion reactions in a mass number range of 12 ≤ А ≤ 28. Also, the functional dependencies for the systematics of potential parameters were obtained.
About the authors
S. Yu. Torilov
St. Petersburg State University
Author for correspondence.
Email: s.torilov@spbu.ru
Russia, 199034, St. Petersburg
N. A. Maltsev
St. Petersburg State University
Email: s.torilov@spbu.ru
Russia, 199034, St. Petersburg
V. I. Zherebchevsky
St. Petersburg State University
Email: s.torilov@spbu.ru
Russia, 199034, St. Petersburg
References
- Jiang C.L., Back B.B., Rehm K.E. et al. // Eur. Phys. J. A. 2021. V. 57. Art. No. 235.
- Jiang C.L. // Eur. Phys. J. A. 2022. V. 58. Art. No. 72.
- Hagino K., Rowley N., Kruppa A T. // Comput. Phys. Commun. 1999. V. 123. P. 143.
- Торилов С.Ю., Мальцев Н.А., Жеребчевский В.И. // Изв. РАН. Сер. физ. 2021. Т. 85. № 5. С. 710; Torilov S.Yu., Maltsev N.A., Zherebchevsky V.I. // Bull. Russ. Acad. Sci. Phys. 2021. V. 85. No. 5. P. 548.
- Торилов С.Ю., Мальцев Н.А., Жеребчевский В.И. // Изв. РАН. Сер. физ. 2022. Т. 86. № 8. С. 1166; Torilov S.Yu., Maltsev N.A., Zherebchevsky V.I. // Bull. Russ. Acad. Sci. Phys. 2022. V. 86. No. 8. P. 966.
- Торилов С.Ю., Мальцев Н.А., Жеребчевский В.И. // ЭЧАЯ. 2022. Т. 53. № 2. С. 358; Torilov S.Yu., Maltsev N.A., Zherebchevsky V.I. et al. // Phys. Part. Nucl. 2022. V. 53. No. 2. P. 403.
- Kocak G., Karakoc M., Boztosun I., Balantekin A.B. // Phys. Rev. C. 2010. V. 81. Art. No. 024615.
- Chamon L.C., Carlson B.V., Gasques L.R. // Comput. Phys. Commun. 2021. V. 267. P. 108061.
- Michaud G., Fowler W.A. // Phys. Rev. C. 1970. V. 2. P. 2041.
- Ogura R., Hagino K., Bertulani C.A. // Phys. Rev. C. 2019. V. 99. Art. No. 065808.
- Fowler W.A., Caughlan G.R., Zimmerman B.A. // Annu. Rev. Astron. Astrophys. 1975. V. 13. P. 69.
- Michaud G., Scherk L., Vogt E. // Phys. Rev. C. 1970. V. 1. P. 864.
- Salvat F., Fernández-Varea J.M. // Comput. Phys. Commun. 2019. V. 240. P. 165.
- https://www-nds.iaea.org/exfor.
- Gasques L.R., Brown E.F., Chieffi A. et al. // Phys. Rev. C. 2007. V. 76. Art. No. 035802.
- Montagnoli G., Stefanini A.M., Jiang C.L. et al. // Phys. Rev. C. 2020. V. 101. Art. No. 044608.





