Новое локальное магическое ядро 146Gd
- Авторы: Бобошин И.Н.1
-
Учреждения:
- Федеральное государственное бюджетное образовательное учреждение высшего образования “Московский государственный университет имени М.В. Ломоносова”, Научно-исследовательский институт ядерной физики имени Д.В. Скобельцына
- Выпуск: Том 87, № 8 (2023)
- Страницы: 1186-1190
- Раздел: Статьи
- URL: https://journals.rcsi.science/0367-6765/article/view/135470
- DOI: https://doi.org/10.31857/S0367676523702125
- EDN: https://elibrary.ru/ZCTRQK
- ID: 135470
Цитировать
Полный текст
Аннотация
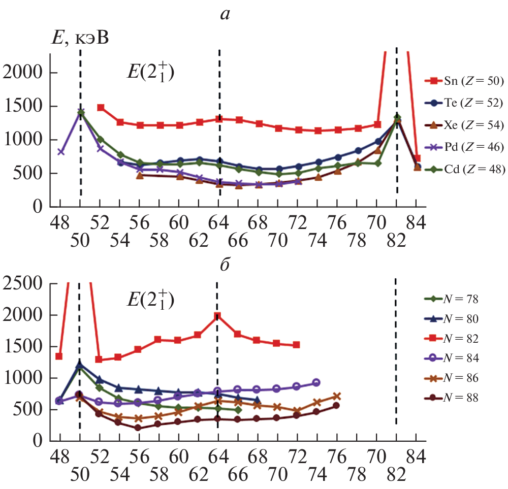
Недавно было обнаружено существование особого класса атомных ядер – локальных магических ядер. На основании анализа экспериментальных данных представлены свидетельства существования нового локального магического ядра 146Gd, обладающего магической парой нуклонов (N, Z) = (82, 64). Получена схема эволюции протонной оболочки, приводящая к возникновению данного явления. Показано, что ведущую роль в указанной эволюции играют тензорные протон-нейтронные силы.
Об авторах
И. Н. Бобошин
Федеральное государственное бюджетное образовательное учреждение высшего образования“Московский государственный университет имени М.В. Ломоносова”,
Научно-исследовательский институт ядерной физики имени Д.В. Скобельцына
Автор, ответственный за переписку.
Email: Boboshin@depni.sinp.msu.ru
Россия, Москва
Список литературы
- Бобошин И. // Препринт НИИЯФ МГУ № 2018-1/892. 2018.
- Boboshin I.N., Varlamov V.V., Ishkhanov B.S., Kapitonov I.M. // Nucl. Phys. 1989. V. A496. P. 93.
- http://www.nndc.bnl.gov/ensdf.
- Meng Wang, Audi G., Kondev F.G. et al. // Chin. Phys. C. 2017. V. 41. No. 3. Art. No. 030003.
- Sorlin O., Porquet M.-G. // Prog. Part. Nucl. Phys. 2008. V. 61. P. 602.
- Povh B., Rith K., Scholz C., Zetsche F. Particles and nuclei. Berlin, Heidelberg, N.Y.: Springer-Verlag, 1995. 340 p.
- Otsuka T., Suzuki T., Fujimoto R. et al. // Phys. Rev. Lett. 2005. V. 95. Art. No. 232502.
- Натаф Р. Модели ядер и ядерная спектроскопия. М.: Мир, 1968. 403 с.
Дополнительные файлы






