Multicomponent extensive air showers studies at the installations of the experimental complex NEVOD
- Authors: Amelchakov M.B.1, Shulzhenko I.A.1, Khokhlov S.S.1, Pochestnev A.D.1, Petrukhin A.A.1, Nugaeva K.R.1, Konovalova A.Y.1, Kokoulin R.P.1, Dmitrieva A.N.1, Gromushkin D.M.1, Bogdanov A.G.1, Yuzhakova E.A.1
-
Affiliations:
- National Research Nuclear University MEPhI (Moscow Engineering Physics Institute)
- Issue: Vol 87, No 7 (2023)
- Pages: 973-978
- Section: Articles
- URL: https://journals.rcsi.science/0367-6765/article/view/135430
- DOI: https://doi.org/10.31857/S0367676523701703
- EDN: https://elibrary.ru/OQLQMC
- ID: 135430
Cite item
Full Text
Abstract
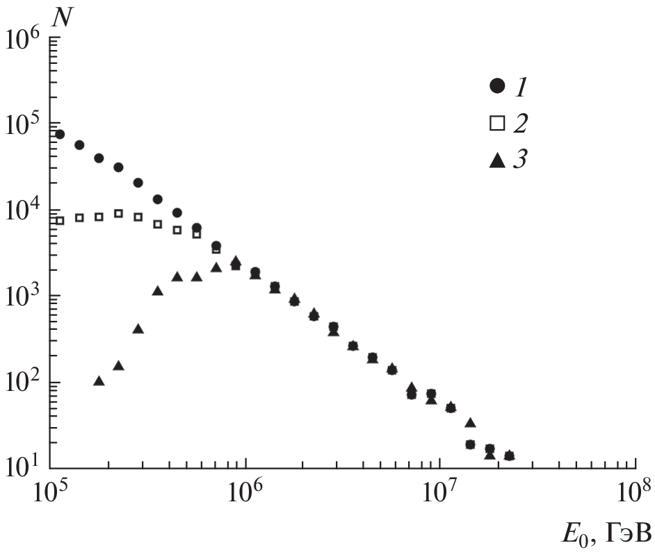
Results of the analysis of the parameters of extensive air showers detected by the installations of the Experimental Complex NEVOD, as well as the results of their comparison with simulated events are presented. The calibration and energy threshold of the NEVOD-EAS air-shower array, as well as the results of reconstructing the axes direction according to the data the NEVOD-EAS and DECOR installations are discussed. An example of the event detected by all installations of the complex is given.
About the authors
M. B. Amelchakov
National Research Nuclear University MEPhI (Moscow Engineering Physics Institute)
Email: sskhokhlov@mephi.ru
Russia, 115409, Moscow
I. A. Shulzhenko
National Research Nuclear University MEPhI (Moscow Engineering Physics Institute)
Email: sskhokhlov@mephi.ru
Russia, 115409, Moscow
S. S. Khokhlov
National Research Nuclear University MEPhI (Moscow Engineering Physics Institute)
Author for correspondence.
Email: sskhokhlov@mephi.ru
Russia, 115409, Moscow
A. D. Pochestnev
National Research Nuclear University MEPhI (Moscow Engineering Physics Institute)
Email: sskhokhlov@mephi.ru
Russia, 115409, Moscow
A. A. Petrukhin
National Research Nuclear University MEPhI (Moscow Engineering Physics Institute)
Email: sskhokhlov@mephi.ru
Russia, 115409, Moscow
K. R. Nugaeva
National Research Nuclear University MEPhI (Moscow Engineering Physics Institute)
Email: sskhokhlov@mephi.ru
Russia, 115409, Moscow
A. Yu. Konovalova
National Research Nuclear University MEPhI (Moscow Engineering Physics Institute)
Email: sskhokhlov@mephi.ru
Russia, 115409, Moscow
R. P. Kokoulin
National Research Nuclear University MEPhI (Moscow Engineering Physics Institute)
Email: sskhokhlov@mephi.ru
Russia, 115409, Moscow
A. N. Dmitrieva
National Research Nuclear University MEPhI (Moscow Engineering Physics Institute)
Email: sskhokhlov@mephi.ru
Russia, 115409, Moscow
D. M. Gromushkin
National Research Nuclear University MEPhI (Moscow Engineering Physics Institute)
Email: sskhokhlov@mephi.ru
Russia, 115409, Moscow
A. G. Bogdanov
National Research Nuclear University MEPhI (Moscow Engineering Physics Institute)
Email: sskhokhlov@mephi.ru
Russia, 115409, Moscow
E. A. Yuzhakova
National Research Nuclear University MEPhI (Moscow Engineering Physics Institute)
Email: sskhokhlov@mephi.ru
Russia, 115409, Moscow
References
- Просин В.В., Астапов И.И., Безъязыков П.А. и др. // Изв. РАН. Сер. физ. 2021. Т. 85. № 4. С. 525; Prosin V.V., Astapov I.I., Bezyazeekov P.A. et al. // Bull. Russ. Acad. Sci. Phys. 2021. V. 85. No. 4. P. 395.
- Щеголев О.Б., Алексеенко В.В., Кулешов Д.А. и др. // Изв. РАН. Сер. физ. 2021. Т. 85. № 4. С. 548; Shchegolev O.B., Alekseenko V.V., Kuleshov D.A. et al. // Bull. Russ. Acad. Sci. Phys. 2021. V. 85. No. 4. P. 415.
- Yashin I.I., Amelchakov M.B., Astapov I.I. et al. // J. Instrum. 2021. V. 16. Art. No. T08014.
- Киндин В.В., Амельчаков М.Б., Барбашина Н.С. и др. // ПТЭ. 2018. № 5. С. 23; Kindin V.V., Amelchakov M.B., Barbashina N.S. et al. // Instrum. Exp. Tech. 2018. V. 61. No. 5. P. 649.
- Амельчаков М.Б., Богданов А.Г., Задеба Е.А. и др. // ПТЭ. 2018. № 5. С. 49; Kindin V.V., Amelchakov M.B., Zadeba E.A. et al. // Instrum. Exp. Tech. 2018. V. 61. No. 5. С. 673.
- Барбашина Н.С., Езубченко А.А., Кокоулин Р.П. и др. // ПТЭ. 2000. № 6. С. 20; Barbashina N.S., Ezubchenko A.A., Kokoulin R.P. et al. // Instrum. Exp. Tech. 2000. V. 43. No. 6. P. 743.
- Amelchakov M.B., Barbashina N.S., Bogdanov A.G. et al. // Nucl. Instrum. Meth. A. 2022. V. 1026. Art. No. 166184.
- Gromushkin D.M., Petrukhin A.A., Stenkin Yu.V. et al. // J. Instrum. 2014. V. 9. No. 8. Art. No. C08028.
- Громушкин Д.М., Волченко В.И., Задеба Е.А. и др. // Изв. РАН. Сер. физ. 2015. Т. 79. № 3. С. 414; Gromushkin D.M., Zadeba E.A., Petrukhin A.A. et al. // Bull. Russ. Acad. Sci. Phys. 2015. V. 79. No. 3. P. 380.
- Gromushkin D.M., Bogdanov F.A., Khokhlov S.S. et al. // J. Instrum. 2017. V. 12. No. 7. Art. No. C07029.
- Kovylyaeva A.A., Dmitrieva A.N., Tolkacheva N.V., Yakovleva E.I. // J. Phys. Conf. Ser. 2013. V. 409. Art. No. 012128.
- Daniel R.R., Stephens S.A. // Rev. Geophys. Space Phys. 1974. V. 12. No. 2. P. 233.
- Богданов Ф.А., Громушкин Д.М., Ижбулякова З.Т. и др. // Изв. РАН. Сер. физ. 2021. Т. 85. № 4. С. 560; Bogdanov F.A., Gromushkin D.M., Izhbulyakova Z.T. et al. // Bull. Russ. Acad. Sci. Phys. 2021. V. 85. No. 4. P. 424.
Supplementary files








