Временные зависимости фотопроводимости в кристаллах ZnSe, легированных железом
- Авторы: Сторожевых М.С.1, Калинушкин В.П.1, Уваров О.В.1, Чегнов В.П.2, Чегнова О.И.2, Юрьев В.А.1
-
Учреждения:
- Федеральное государственное бюджетное учреждение науки Федеральный исследовательский центр “Институт общей физики имени А.М. Прохорова Российской академии наук”
- Акционерное общество “Научно-исследовательский институт материаловедения имени А.Ю. Малинина”
- Выпуск: Том 87, № 6 (2023)
- Страницы: 901-906
- Раздел: Статьи
- URL: https://journals.rcsi.science/0367-6765/article/view/135417
- DOI: https://doi.org/10.31857/S0367676523701569
- EDN: https://elibrary.ru/VNSAQZ
- ID: 135417
Цитировать
Полный текст
Аннотация
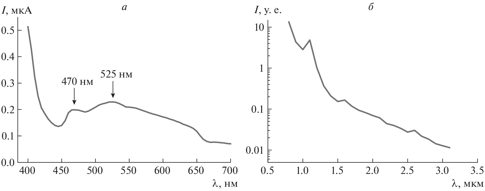
Изучена фотопроводимость кристаллов ZnSe, легированных железом методом термодиффузии, в диапазоне длин волн 470–5000 нм при температуре 77 и 300 К. Образцы показали высокую фотопроводимость во всем видимом диапазоне. Обнаружен эффект долговременного роста и релаксации фототока, установлена зависимость кривых роста и релаксации фототока от длины волны и мощности падающего излучения, а также напряжения, приложенного к образцу. Наблюдался эффект гашения остаточной фотопроводимости при облучении образцов излучением в диапазоне 850–940 нм.
Об авторах
М. С. Сторожевых
Федеральное государственное бюджетное учреждение наукиФедеральный исследовательский центр “Институт общей физики имени А.М. Прохорова
Российской академии наук”
Автор, ответственный за переписку.
Email: storozhevykh@kapella.gpi.ru
Россия, Москва
В. П. Калинушкин
Федеральное государственное бюджетное учреждение наукиФедеральный исследовательский центр “Институт общей физики имени А.М. Прохорова
Российской академии наук”
Email: storozhevykh@kapella.gpi.ru
Россия, Москва
О. В. Уваров
Федеральное государственное бюджетное учреждение наукиФедеральный исследовательский центр “Институт общей физики имени А.М. Прохорова
Российской академии наук”
Email: storozhevykh@kapella.gpi.ru
Россия, Москва
В. П. Чегнов
Акционерное общество “Научно-исследовательский институт материаловедения имени А.Ю. Малинина”
Email: storozhevykh@kapella.gpi.ru
Россия, Москва
О. И. Чегнова
Акционерное общество “Научно-исследовательский институт материаловедения имени А.Ю. Малинина”
Email: storozhevykh@kapella.gpi.ru
Россия, Москва
В. А. Юрьев
Федеральное государственное бюджетное учреждение наукиФедеральный исследовательский центр “Институт общей физики имени А.М. Прохорова
Российской академии наук”
Email: storozhevykh@kapella.gpi.ru
Россия, Москва
Список литературы
- Avdonin A.N., Ivanova G.N., Nedeoglo D.D. et al. // Physica B. 2005. V. 365. P. 217.
- Mahawela P., Sivaraman G., Jeedigunta S. et al. // Mater. Sci. Engin. B. 2005. V. 116. P. 283.
- Schulz O., Strassburg M., Rissom T. et al. // Appl. Phys. Lett. 2002. V. 81. Art. No. 4916.
- Dormidonov A.E., Firsov K.N., Gavrishchuk E.M. et al. // Appl. Phys. B. 2016. V. 122. No. 8. P. 211.
- Frolov M.P., Korostelin Y.V., Kozlovsky V.I. et al. // Laser Phys. 2019. V. 29. No. 8. Art. No. 085004.
- Fedorov V., Martyshkin D., Karki K. et al. // Opt. Express. 2019. V. 27. No. 10. P. 13934.
- Migal E., Pushkin A., Bravy B. et al. // Opt. Letters. 2019. V. 44. No. 10. P. 2550.
- Peppers J., Fedorov V.V., Mirov S.B. // Opt. Express. 2015. V. 23. No. 4. P. 4406.
- Evans J.W., Harris T.R., Reddy B.R. et al. // J. Luminescence. 2017. V. 188. P. 541.
- Kulyuk L.L., Laiho R., Lashkul A.V. et al. // Physica B. 2010. V. 405. P. 4330.
- Aminev D.F., Pruchkina A.A., Krivobok V.S. et al. // Opt. Mater. Exp. 2021. V. 11. No. 2. P. 210.
- Kalinushkin V., Uvarov O., Il’ichev N. et al. // Opt. Inf. Conf. 2020. Art. No. JTh2A.
- Ильичев Н.Н., Буфетова Г.А., Гулямова Е.С. и др. // Квант. электрон. 2019. Т. 49. № 12. С. 1175; Il’ichev N.N., Bufetova G.A., Gulyamova E.S. et al. // Quant. Electron. 2019. V. 49. No. 12. P. 1175.
- Ильичев Н.Н., Гладилин А.А., Гулямова Е.С. и др. // Квант. электрон. 2020. Т. 50. № 8. С. 730; Il’ichev N.N., Gladilin A.A., Gulyamova E.S. et al. // Quant. Electron. 2020. V. 50. No. 8. P. 730.
- Il’ichev N., Sidorin A., Gulyamova E. et al. // J. Luminescence. 2021. V. 239. Art. No. 118363.
- Ваксман Ю.Ф., Ницук Ю.А., Яцун В.В. и др. // ФТП. 2011. Т. 45. № 9. С. 1171; Vaksman Y.F., Nitsuk Y.A., Yatsun V.V. et al. // Semiconductors. 2011. V. 45. No. 9. P. 1129.
- Ницук Ю.А., Ваксман Ю.Ф., Яцун В.В. и др. // ФТП. 2012. Т. 46. № 10. С. 1288; Nitsuk Y.A., Vaksman Y.F., Yatsun V.V. // Semiconductors. 2012. V. 46. No. 10. P. 1265.
- Iida S. // J. Phys. Soc. Japan. 1969. V. 26. No. 5. P. 1140.
- Makhni V.P., Sletov M.M., Tkachenko I.V. // J. Opt. Technol. 2007. V. 74. No. 6. P. 394.
- Rong F.C., Barry W.A., Donegan J.F., Watkins G.D. // Phys. Rev. B. 1996. V. 54. No. 11. P. 7779.
- Dunstant D.J., Nicholls J.E., Cavenett B.C., Davies J.J. // J. Physics C. 1980. V. 13. P. 6409.
- Ivanova G.N., Nedeoglo D.D., Negeoglo N.D. et al. // J. Appl. Phys. 2007. V. 101. Art. No. 063543.
- Шейнкман М.К., Шик А.Я. // ФТП. 1976. Т. 10. № 2. С. 209.
- Niftiev G.M., Tagiev B.G., Khalilov A.O., Abushov S.A. // Phys. Stat. Sol. 1984. V. 81. P. 175.
- Akhmedov A.A., Khalilov S.K., Kyazymzade A.G., Bairamov Y.A. // Phys. Stat. Sol. 1986. V. 93. P. 79.
- Mayorova T.L., Klyuev V.G., Fam Thi Hay M. // Nanotechnol. Russ. 2012. V. 7. No. 5–6. P. 298.
- Yeritsyan H., Grigoryan N., Harutyunyan V. et al. // J. Mod. Phys. 2014. V. 5. No. 1. P. 51.
Дополнительные файлы







