Surface emitting quantum-cascade lasers with a second-order grating and increased coupling coefficient
- Authors: Babichev A.V.1, Pikhtin N.A.2, Novikov I.I.1, Karachinsky L.Y.1, Evtikhiev V.P.1,2, Lyutetskii A.V.2, Slipchenko S.O.2, Mitrofanov M.I.2,3, Voznyuk G.V.1,2, Panevin V.Y.4, Petruk A.D.4, Kharin N.Y.4, Gladyshev A.G.1, Kolodeznyi E.S.1, Egorov A.Y.5
-
Affiliations:
- ITMO University
- Ioffe Physical-Technical Institute of the Russian Academy of Sciences
- Submicron Heterostructures for Microelectronics Research & Engineering Center of the Russian Academy of Sciences
- Peter the Great St. Petersburg Polytechnic University
- Alferov Saint Petersburg National Research Academic University of the Russian Academy of Sciences
- Issue: Vol 87, No 6 (2023)
- Pages: 855-860
- Section: Articles
- URL: https://journals.rcsi.science/0367-6765/article/view/135409
- DOI: https://doi.org/10.31857/S036767652370148X
- EDN: https://elibrary.ru/VMALWG
- ID: 135409
Cite item
Full Text
Abstract
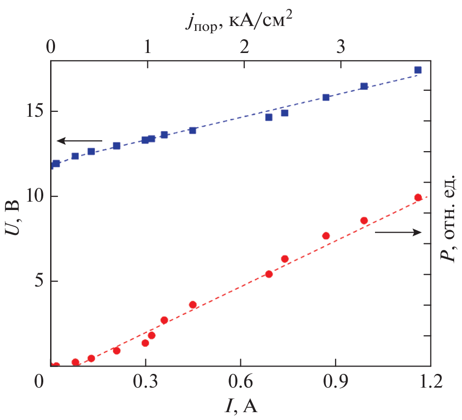
The results of studying the characteristics of surface-emitting quantum-cascade ring lasers with a second-order grating are presented. The selection of etching receipt by ion beam lithography made it possible to increase the coupling coefficient to 12 cm–1. Lasing close to 7.6 μm with a low threshold current density (about 0.3 kA/cm2) is demonstrated.
About the authors
A. V. Babichev
ITMO University
Author for correspondence.
Email: a.babichev@itmo.ru
Russia, 197101, Saint Petersburg
N. A. Pikhtin
Ioffe Physical-Technical Institute of the Russian Academy of Sciences
Email: a.babichev@itmo.ru
Russia, 194021, Saint Petersburg
I. I. Novikov
ITMO University
Email: a.babichev@itmo.ru
Russia, 197101, Saint Petersburg
L. Ya. Karachinsky
ITMO University
Email: a.babichev@itmo.ru
Russia, 197101, Saint Petersburg
V. P. Evtikhiev
ITMO University; Ioffe Physical-Technical Institute of the Russian Academy of Sciences
Email: a.babichev@itmo.ru
Russia, 197101, Saint Petersburg; Russia, 194021, Saint Petersburg
A. V. Lyutetskii
Ioffe Physical-Technical Institute of the Russian Academy of Sciences
Email: a.babichev@itmo.ru
Russia, 194021, Saint Petersburg
S. O. Slipchenko
Ioffe Physical-Technical Institute of the Russian Academy of Sciences
Email: a.babichev@itmo.ru
Russia, 194021, Saint Petersburg
M. I. Mitrofanov
Ioffe Physical-Technical Institute of the Russian Academy of Sciences; Submicron Heterostructures for Microelectronics Research & Engineering Center of the Russian Academy of Sciences
Email: a.babichev@itmo.ru
Russia, 194021, Saint Petersburg; Russia, 194021, Saint Petersburg
G. V. Voznyuk
ITMO University; Ioffe Physical-Technical Institute of the Russian Academy of Sciences
Email: a.babichev@itmo.ru
Russia, 197101, Saint Petersburg; Russia, 194021, Saint Petersburg
V. Yu. Panevin
Peter the Great St. Petersburg Polytechnic University
Email: a.babichev@itmo.ru
Russia, 195251, Saint Petersburg
A. D. Petruk
Peter the Great St. Petersburg Polytechnic University
Email: a.babichev@itmo.ru
Russia, 195251, Saint Petersburg
N. Yu. Kharin
Peter the Great St. Petersburg Polytechnic University
Email: a.babichev@itmo.ru
Russia, 195251, Saint Petersburg
A. G. Gladyshev
ITMO University
Email: a.babichev@itmo.ru
Russia, 197101, Saint Petersburg
E. S. Kolodeznyi
ITMO University
Email: a.babichev@itmo.ru
Russia, 197101, Saint Petersburg
A. Yu. Egorov
Alferov Saint Petersburg National Research Academic University of the Russian Academy of Sciences
Email: a.babichev@itmo.ru
Russia, 194021, Saint Petersburg
References
- Harrer A., Szedlak R., Schwarz B. et al. // Sci. Reports. 2016. V. 6. No. 1. Art. No. 21795.
- Szedlak R., Hayden J., Martín-Mateos P. et al. // Opt. Engin. 2018. V. 57. No. 1. Art. No. 011005.
- Tütüncü E., Kokoric V., Szedlak R. et al. // Analyst. 2016. V. 141. No. 22. P. 6202.
- Szedlak R., Harrer A., Holzbauer M. et al. // ACS Photonics. 2016. V. 3. No. 10. P. 1794.
- Hinkov B., Pilat F., Lux L. et al. // Nature Commun. 2022. V. 13. No. 1. Art. No. 4753.
- Wu D.H., Razeghi M. // APL Materials. 2017. V. 5. No. 3. Art. No. 035505.
- Mujagić E., Hoffmann L.K., Schartner S. et al. // Proc. SPIE. 2009. V. 7230. Art. No. 723015.
- Mujagić E., Hoffmann L.K., Schartner S. et al. // Proc. CLEO/QELS 2009 (Baltimore, 2009) Art. No. CThT4.
- Schwarze C., Szedlak R., Ahn S.I. et al. // Appl. Phys. Lett. 2013. V. 103. No. 8. Art. No. 081101.
- Szedlak R., Schwarzer C., Zederbauer T. et al. // Opt. Express. 2014. V. 22. No. 13. P. 15829.
- Szedlak R., Holzbauer M., MacFarland D. et al. // Sci. Reports. 2015. V. 5. Art. No. 16668.
- Piccardo M., Schwarz B., Kazakov D. et al. // Nature. 2020. V. 582. No. 7812. P. 360.
- Schwarzer C., Mujagić E., Yao Y. et al. // Appl. Phys. Lett. 2010. V. 97. No. 7. Art. No. 071103.
- Holzbauer M., Szedlak R., Detz H. et al. // Appl. Phys. Lett. 2017. V. 111. No. 17. Art. No. 171101.
- Knötig H., Hinkov B., Weih R. et al. // Appl. Phys. Lett. 2020. V. 116. No. 13. Art. No. 131101.
- Bai Y., Tsao S., Bandyopadhyay N. et al. // Appl. Phys. Lett. 2011. V. 99. No. 26. Art. No. 261104.
- Бабичев А.В., Гладышев А.Г., Дюделев В.В. и др. // Письма в ЖТФ. 2020. Т. 46. № 9. С. 35; Babichev A.V., Gladyshev A.G., Dudelev V.V. et al. // Tech. Phys. Lett. 2020. V. 46. No. 5. P. 442.
- Дюделев В.В., Михайлов Д.А., Бабичев А.В. и др. // Квант. электрон. 2020. Т. 50. № 11. С. 989; Dudelev V.V., Mikhailov D.A., Babichev A.V. et al. // Quant. Electron. 2020. V. 50. No. 11. P. 989.
- Lyakh A., Maulini R., Tsekoun A. et al. // Opt. Express. 2012. V. 20. No. 22. P. 24272.
- Бабичев А.В., Гладышев А.Г., Курочкин А.С. и др. // Письма в ЖТФ. 2019. Т. 45. № 8. С. 31; Babichev A.V., Gladyshev A.G., Kurochkin A.S. et al. // Tech. Phys. Lett. 2019. V. 45. No. 4. P. 398.
- Brandstetter M., Genner A., Schwarzer C. et al. // Opt. Express. 2014. V. 22. No. 3. P. 2656.
- Mujagić E., Schwarzer C., Yao Y. et al. // Appl. Phys. Lett. 2011. V. 98. No. 14. Art. No. 141101.
- Бабичев А.В., Михайлов Д.А., Колодезный Е.С. и др. // ФТП. 2022. Т. 56. № 9. С. 908; Babichev A.V., Mikhailov D.A., Kolodeznyi E.S. et al. // Semiconductors. 2022. V. 56. No. 9. P. 689.
- Bai Y., Slivken S., Kuboya S. et al. // Nature Photonics. 2010. V. 4. No. 2. P. 99.
- Gmachl C., Tredicucci A., Capasso F. et al. // Appl. Phys. Lett. 1998. V. 72. No. 24. P. 3130.
- Бабичев А.В., Пашнев Д.А., Гладышев А.Г. и др. // Опт. и спектроск. 2020. Т. 128. № 8. С. 1165; Babichev A.V., Pashnev D.A., Gladyshev A.G. et al. // Opt. Spectrosс. 2020. V. 128. No. 8. P. 1187.
- Faist J., Gmachl C., Striccoli M. et al. // Appl. Phys. Lett. 1996. V. 69. No. 17. P. 2456.
- Бабичев А.В., Колодезный Е.С., Гладышев А.Г. и др. // Письма в ЖТФ. 2022. Т. 48. № 5. С. 7; Babichev A.V., Kolodeznyi E.S., Gladyshev A.G. et al. // Tech. Phys. Lett. 2022. V. 48. No. 3. P. 6.
Supplementary files







