The lumped ultra-high vacuum pumps based on non-evaporable getters
- Authors: Krasnov A.A.1,2, Semenov A.M.1,3
-
Affiliations:
- Budker Institute of Nuclear Physics of the Siberian Branch Russian Academy of Sciences
- Novosibirsk State University
- Novosibirsk State Technical University
- Issue: Vol 87, No 5 (2023)
- Pages: 646-651
- Section: Articles
- URL: https://journals.rcsi.science/0367-6765/article/view/135375
- DOI: https://doi.org/10.31857/S0367676522701186
- EDN: https://elibrary.ru/AACEMB
- ID: 135375
Cite item
Full Text
Abstract
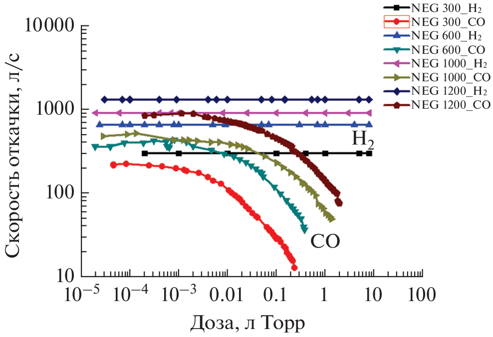
The lumped vacuum pumps based on the non-evaporable getters (NEG) have got wide application in accelerator vacuum systems. These pumps are one of the types using for vacuum obtaining in the synchrotron source of 4th generation SFR “SKIF”. In BINP, the NEG prototypes with pumping speed of 300, 600, 900 and 1300 L/s for hydrogen were created and investigated. The pumps construction and test results are presented here.
About the authors
A. A. Krasnov
Budker Institute of Nuclear Physics of the Siberian Branch Russian Academy of Sciences; Novosibirsk State University
Email: A.M.Semenov@inp.nsk.su
Russia, 630090, Novosibirsk; Russia, 630090, Novosibirsk
A. M. Semenov
Budker Institute of Nuclear Physics of the Siberian Branch Russian Academy of Sciences; Novosibirsk State Technical University
Author for correspondence.
Email: A.M.Semenov@inp.nsk.su
Russia, 630090, Novosibirsk; Russia, 630073, Novosibirsk
References
- Krasnov A. // Proc. SFR’20 (Novosibirsk, 2020). Art. No. 138.
- Semenov A., Anashin V., Krasnov A. // AIP Conf. Proc. 2020. V. 2299. Art. No. 020010.
- Saksaganskii G.L. // In: Getter and getter-ion vacuum pumps. Chur: Harwood Academic Publishers, 1994. P. 258.
- Manini P., Maccallini E. // Proc. CAS (Glumslöv, 2017). P. 207.
- http://www.polema.net/oblasti-primenenija.html.
- Драничников А.Н., Краснов А.А., Семенов А.М. // Прикл. физ. 2017. № 2. С. 73.
- Анашин В.В., Краснов А.А., Семенов А.М. // ПТЭ. 2020. № 6. С. 109; Anashin V.V., Krasnov A.A., Semenov A.M. // Instrum. Exp. Tech. 2020. V. 63. No. 6. P. 893.
- https://www.saesgetters.com/products-functions/products.
Supplementary files







