Влияние геометрических параметров двухсекционных осесимметричных сверхразмерных релятивистских дифракционных генераторов на их выходные характеристики
- Авторы: Галлямова О.В.1, Худяков С.В.1
-
Учреждения:
- Федеральное государственное бюджетное образовательное учреждение высшего образования “Московский государственный университет имени М.В. Ломоносова”, физический факультет
- Выпуск: Том 87, № 4 (2023)
- Страницы: 592-597
- Раздел: Статьи
- URL: https://journals.rcsi.science/0367-6765/article/view/135368
- DOI: https://doi.org/10.31857/S0367676522701058
- EDN: https://elibrary.ru/MDPWUW
- ID: 135368
Цитировать
Полный текст
Аннотация
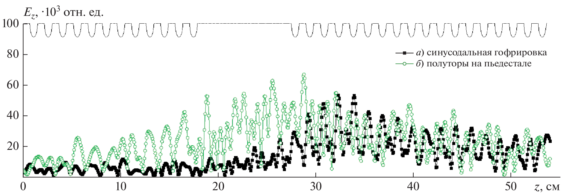
Рассмотрено влияние изменения длины трубы дрейфа двухсекционной структуры осесимметричного релятивистского дифракционного генератора на выходную мощность и устойчивость генерации. Проведено сравнение распределения напряженности электрического поля для структур с двумя типами неоднородности: синусоидальная гофрировка и “полуторы на пьедестале”.
Об авторах
О. В. Галлямова
Федеральное государственное бюджетное образовательное учреждение высшего образования“Московский государственный университет имени М.В. Ломоносова”, физический факультет
Автор, ответственный за переписку.
Email: gallyamova@physics.msu.ru
Россия, Москва
С. В. Худяков
Федеральное государственное бюджетное образовательное учреждение высшего образования“Московский государственный университет имени М.В. Ломоносова”, физический факультет
Email: gallyamova@physics.msu.ru
Россия, Москва
Список литературы
- Бугаев С.П., Канавец В.И., Кошелев В.И., Черепе-нин В.А. Релятивистские многоволновые СВЧ-генераторы. Новосибирск: Наука. 1991. 293 с.
- Slepkov A.I., Gallyamova O.V. // Phys. Wave Phenom. 2010. V. 18. No. 2. P. 105.
- Канавец В.И., Слепков А.И., Федоров А.В. // Вестник МГУ. Сер. 3. Физ. и астроном. 1990. Т. 31. № 4. С. 30.
- Слепков А.И. // Изв. РАН. Сер. физ. 2003. Т. 67. № 12. С. 1678.
- Худяков С.В. Галлямова О.В. // Учен. зап. физ. фак-та МГУ. 2022. № 1. С. 2211201.
- Slepkov A.I., Gallyamova O.V. // Proc. Int. Conf. Days on Diffraction. (Saint-Petersburg, 2009). P. 172.
- Слепков А.И., Галлямова О.В. // Вестник МГУ. Сер. 3. Физ. и астроном. 2009. № 4. С. 30.
- Корниенко В.Н., Черепенин В.А. // Изв. вузов. Физ. 2014. Т. 57. № 12/2. С. 216.
Дополнительные файлы





