Фазовые переходы в твердых растворах Na(Nb0.9Me0.1)O3 – δ (Me = Bi, Fe)
- Авторы: Оспельников Н.М.1, Барабанова Е.В.1
-
Учреждения:
- Федеральное государственное бюджетное образовательное учреждение высшего образования “Тверской государственный университет”, физико-технический факультет
- Выпуск: Том 87, № 4 (2023)
- Страницы: 546-549
- Раздел: Статьи
- URL: https://journals.rcsi.science/0367-6765/article/view/135360
- DOI: https://doi.org/10.31857/S0367676522700971
- EDN: https://elibrary.ru/NOXZRF
- ID: 135360
Цитировать
Полный текст
Аннотация
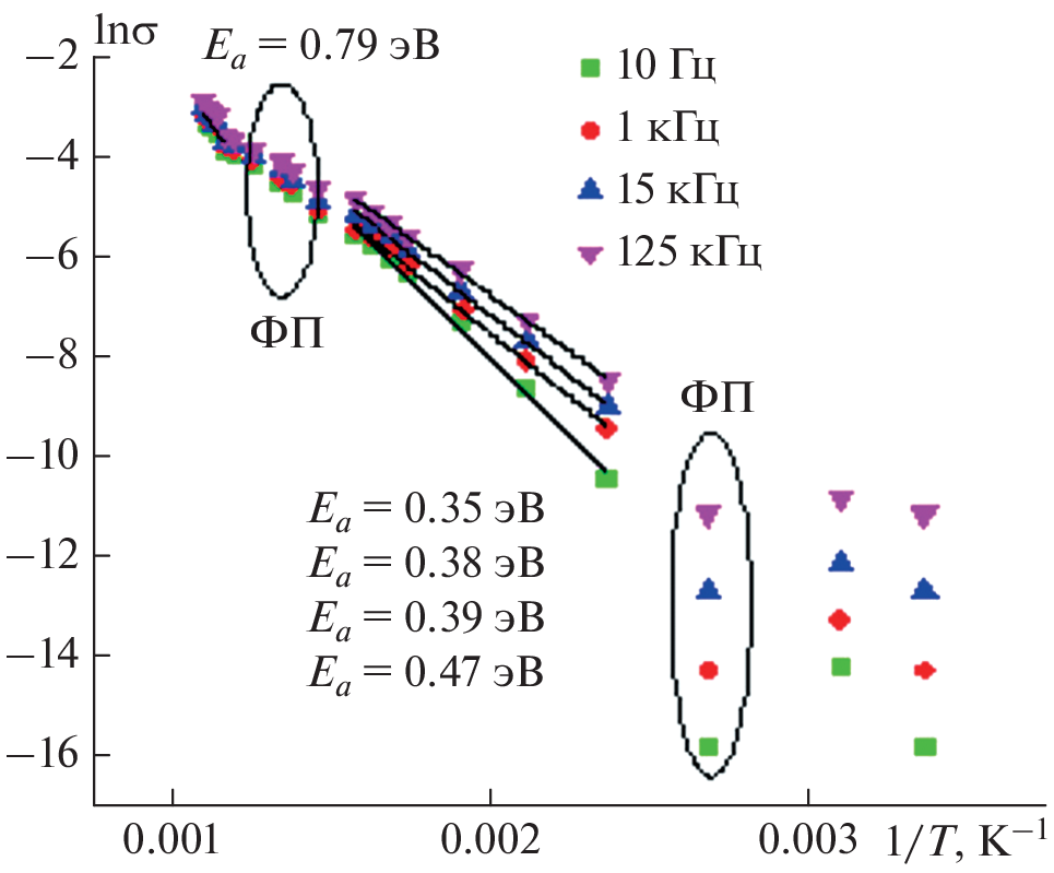
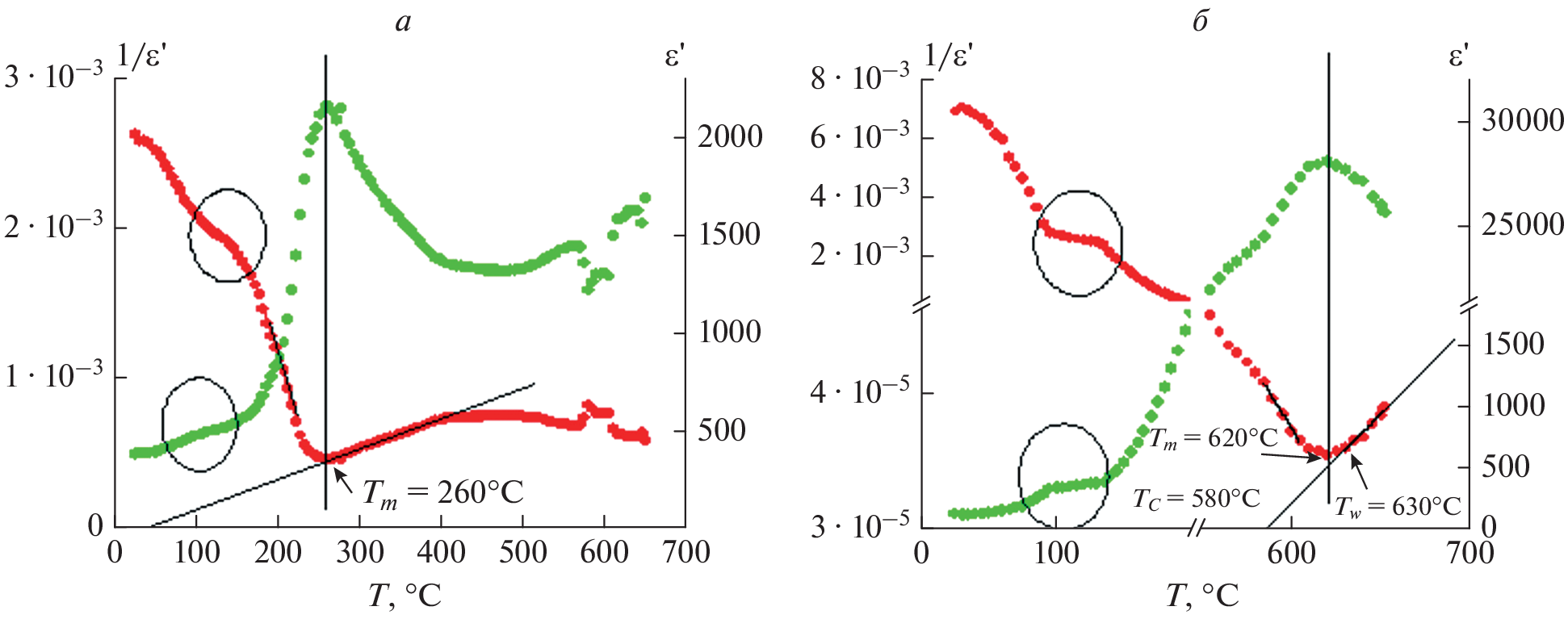
Изучена температурная зависимость диэлектрической проницаемости и электропроводимости керамики ниобата натрия, легированной железом или висмутом в широком интервале частот внешнего поля. Определены фазовые переходы и их характеристики в данных твердых растворах, а также механизмы проводимости.
Об авторах
Н. М. Оспельников
Федеральное государственное бюджетное образовательное учреждение высшего образования“Тверской государственный университет”, физико-технический факультет
Email: pechenkin_kat@mail.ru
Россия, Тверь
Е. В. Барабанова
Федеральное государственное бюджетное образовательное учреждение высшего образования“Тверской государственный университет”, физико-технический факультет
Автор, ответственный за переписку.
Email: pechenkin_kat@mail.ru
Россия, Тверь
Список литературы
- Megaw H.D. // Ferroelectrics. 1974. V. 7. P. 87.
- Palatnikov M., Sidorov N., Efremov V. et al. //Ferroelectrics. 2008. V. 367. No. 1. P. 55.
- Ивлиев М.П., Раевский И.П., Резниченко Л.А. и др. // ФТТ. 2003. Т. 45. № 10. С.1886; Ivliev M.P., Raevskiȋ I.P., Reznichenko L.A. et al. // Phys. Solid State. 2003. V. 45. No. 10. P. 1984.
- Раевская С.И. Диэлектрические свойства монокристаллов и керамики твердых растворов на основе ниобата натрия. Дис. … канд. физ.-мат. наук. Ростов-на-Дону: Ростовский гос. ун-т, 2006. 174 с.
- Shi R., Pu Y., Wang W. et al. // J. Alloys Compounds. 2020. V. 815. Art. No. 152356.
- Jiang J., Meng X., Li L. et al. // Chem. Engin. J. 2021. V. 422. Art. No. 130130.
- Fritsch D. // Adv. Mater. Sci. Engin. 2018. V. 2018. Art. No. 6416057.
- Гинзбург В.Л. // УФН. 2001. Т. 171. № 10. С. 1091; Ginzburg V.L. // Phys. Usp. 2001. V. 44. No. 10. P. 1023.
- Накамура Т. // Автометрия. 1978. № 1. С. 29.
- Cheng Y., Xing J., Wu Ch. et al. // J. Alloys Compounds. 2020. V. 815. Art. No. 52252.
- Xie Y., Xing J., Tan Z. et al. // Ceramics. 2022. V. 48. No. 5. P. 6565.
- Wood E.A. // Acta Cryst. 1951. V. 4. P. 353.
- Смоленский Г.А. Сегнетоэлектрики и антисегнетоэлектрики. Л.: Наука, 1971. 476 с.
- Raevski I.P., Kubrin S.P., Dellis J.-L. et al. // Ferroelectrics. 2008. V. 371. No. 1. P. 113.
- Sinclair D.C., Adams T.B., Morrison F.D., West A.R. // Appl. Phys. Lett. 2002. V. 80. P. 2153.
- Cheng Y., Zhao H., Teng D. et al // J. Membr. Sci. 2008. V. 322. No. 2. P. 484.
Дополнительные файлы






