Negative anisotropy in Ni–Fe films
- Authors: Savin P.A.1, Adanakova O.A.1, Lepalovskij V.N.1, Kudyukov E.V.1, Vas’kovskiy V.O.1,2
-
Affiliations:
- Ural Federal University
- Mikheev Institute of Metal Physics, Ural Branch of the Russian Academy of Sciences
- Issue: Vol 87, No 4 (2023)
- Pages: 500-503
- Section: Articles
- URL: https://journals.rcsi.science/0367-6765/article/view/135351
- DOI: https://doi.org/10.31857/S0367676522700880
- EDN: https://elibrary.ru/NLMHKW
- ID: 135351
Cite item
Full Text
Abstract
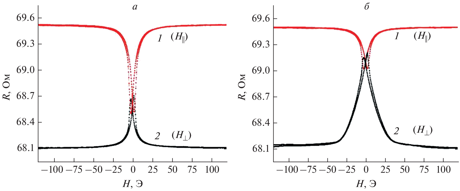
Fe–Ni films were obtained in which the effect of “negative anisotropy” is observed. This effect consists in the formation of easy magnetization axis perpendicular to the deposition field. A model based on negative magnetostriction, and inhomogeneous stresses is tested. The model parameters were varied by applying additional stresses to the film. The effect of additional stresses is analyzed by changing the shape of the R–H curves. It is shown that changes in anisotropy occur in accordance with the model.
About the authors
P. A. Savin
Ural Federal University
Author for correspondence.
Email: Peter.Savin@urfu.ru
Russia, 620002, Yekaterinburg
O. A. Adanakova
Ural Federal University
Email: Peter.Savin@urfu.ru
Russia, 620002, Yekaterinburg
V. N. Lepalovskij
Ural Federal University
Email: Peter.Savin@urfu.ru
Russia, 620002, Yekaterinburg
E. V. Kudyukov
Ural Federal University
Email: Peter.Savin@urfu.ru
Russia, 620002, Yekaterinburg
V. O. Vas’kovskiy
Ural Federal University; Mikheev Institute of Metal Physics, Ural Branch of the Russian Academy of Sciences
Email: Peter.Savin@urfu.ru
Russia, 620002, Yekaterinburg; Russia, 620108, Yekaterinburg
References
- Blois M.S. // J. Appl. Phys. 1955. V. 26. P. 975.
- Jogschies L., Klaas D., Kruppe R. et al. // Sensors. 2015. V. 15. Art. No. 28665.
- Smith D.O. // Appl. Phys. Lett. 1963. V. 2. P. 191.
- Soohoo R.F. // Czech. J. Phys. 1971. V. 21. P. 494.
- Savin P.A., Adanakova O.A., Lepalovskij V.N. et al. // J. Phys. Conf. Ser. 2019. V. 1389. Art. No. 012122.
- Лесник А.Г. Индуцированная магнитная анизотропия. Киев: Наукова думка, 1976. 160 с.
- Miyazaki T., Oomori T., Sato F. et al. // J. Magn. Magn. Mater. 1994. V. 129. Art. No. L135.
- Савин П.А., Васьковский В.О., Кандаурова Г.С., Лепаловский В.Н. // Микроэлектроника. 1991. Т. 20. С. 407.
- Maissel L.I., Glang R. Handbook of thin film technology. N.Y.: McGraw Hill, 1970.
- Zhukov A., González J., Blanco M. et al. // J. Mater. Res. 2000. V. 15. P. 2107.
Supplementary files







