Моделирование сверхпроводящего триплетного спинового клапана с несколькими слоями сверхпроводника
- Авторы: Гайфуллин Р.Р.1, Деминов Р.Г.1, Кушнир В.Н.2,3, Куприянов М.Ю.4, Голубов А.А.5, Тагиров Л.Р.1,6
-
Учреждения:
- Федеральное государственное автономное образовательное учреждение высшего образования “Казанский (Приволжский) федеральный университет” Институт физики
- Белорусский государственный университет информатики и радиоэлектроники
- Белорусский государственный университет, Кафедра теоретической физики и астрофизики
- Федеральное государственное бюджетное образовательное учреждение высшего образования “Московский государственный университет имени М.В. Ломоносова”, Научно-исследовательский институт ядерной физики имени Д.В. Скобельцына
- Университет Твенте, Институт нанотехнологий MESA+, Факультет науки и технологий
- Казанский физико-технический институт имени Е.К. Завойского – обособленное структурное подразделение Федерального государственного бюджетного учреждения науки “Федеральный исследовательский центр “Казанский научный центр Российской академии наук”
- Выпуск: Том 87, № 4 (2023)
- Страницы: 468-472
- Раздел: Статьи
- URL: https://journals.rcsi.science/0367-6765/article/view/135346
- DOI: https://doi.org/10.31857/S0367676522700831
- EDN: https://elibrary.ru/NKTWTF
- ID: 135346
Цитировать
Полный текст
Аннотация
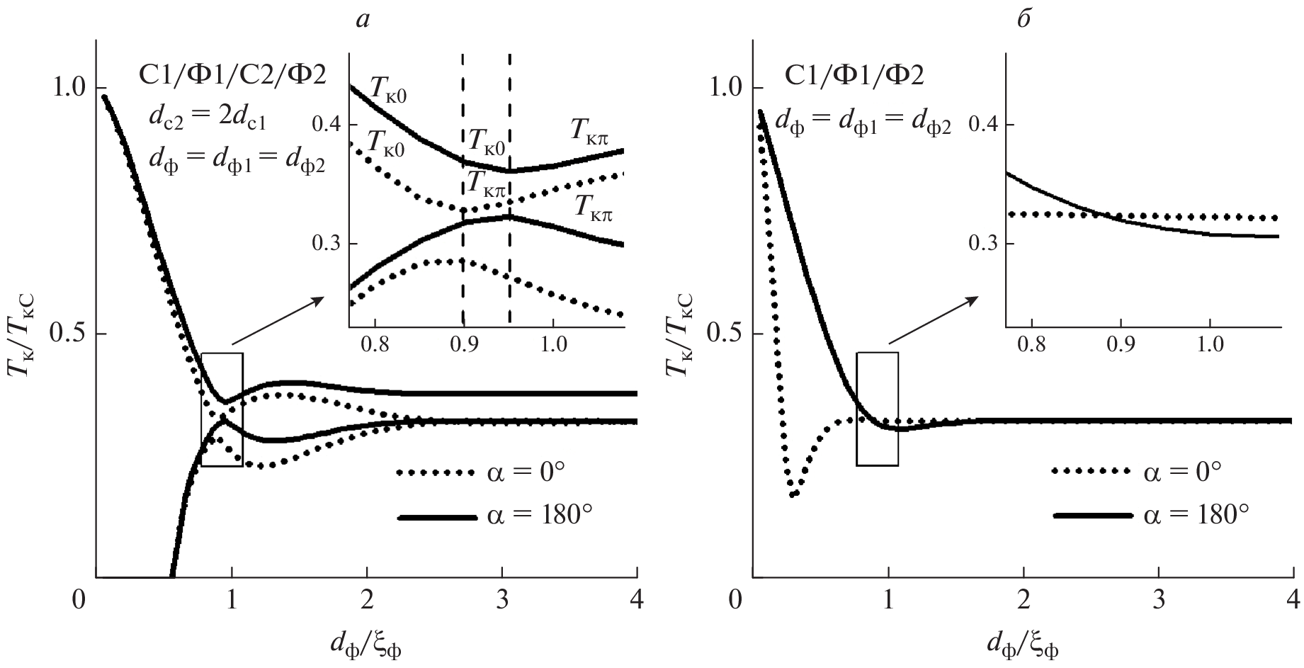
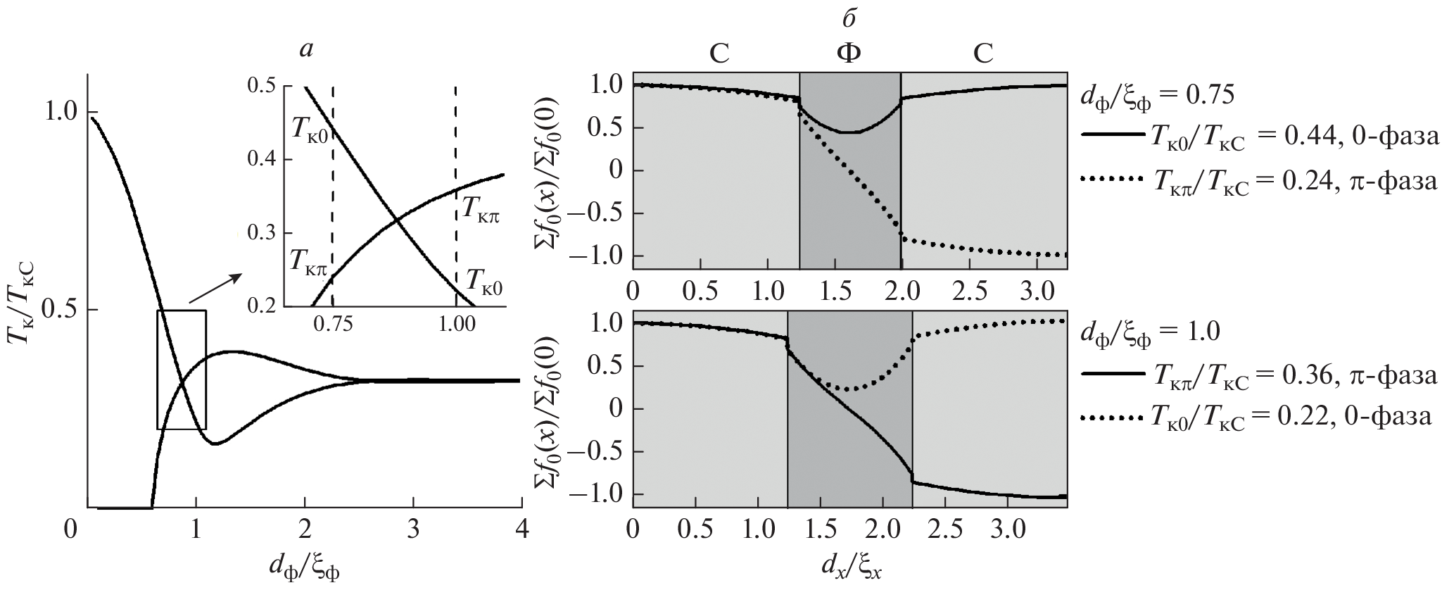
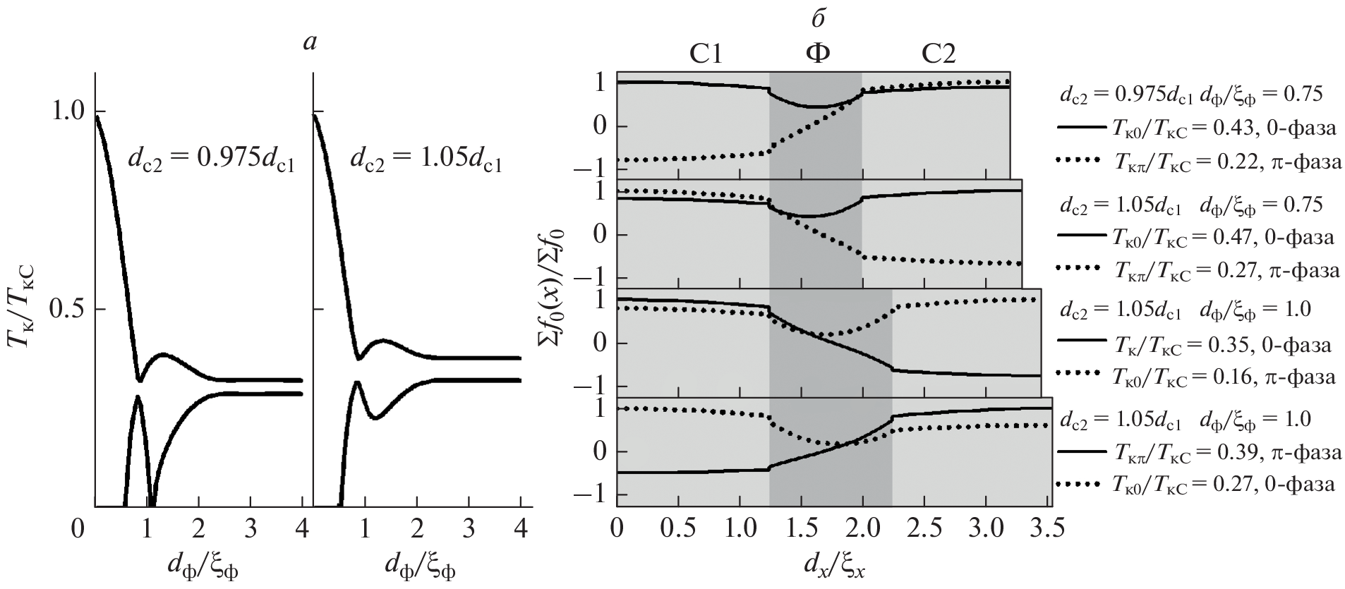
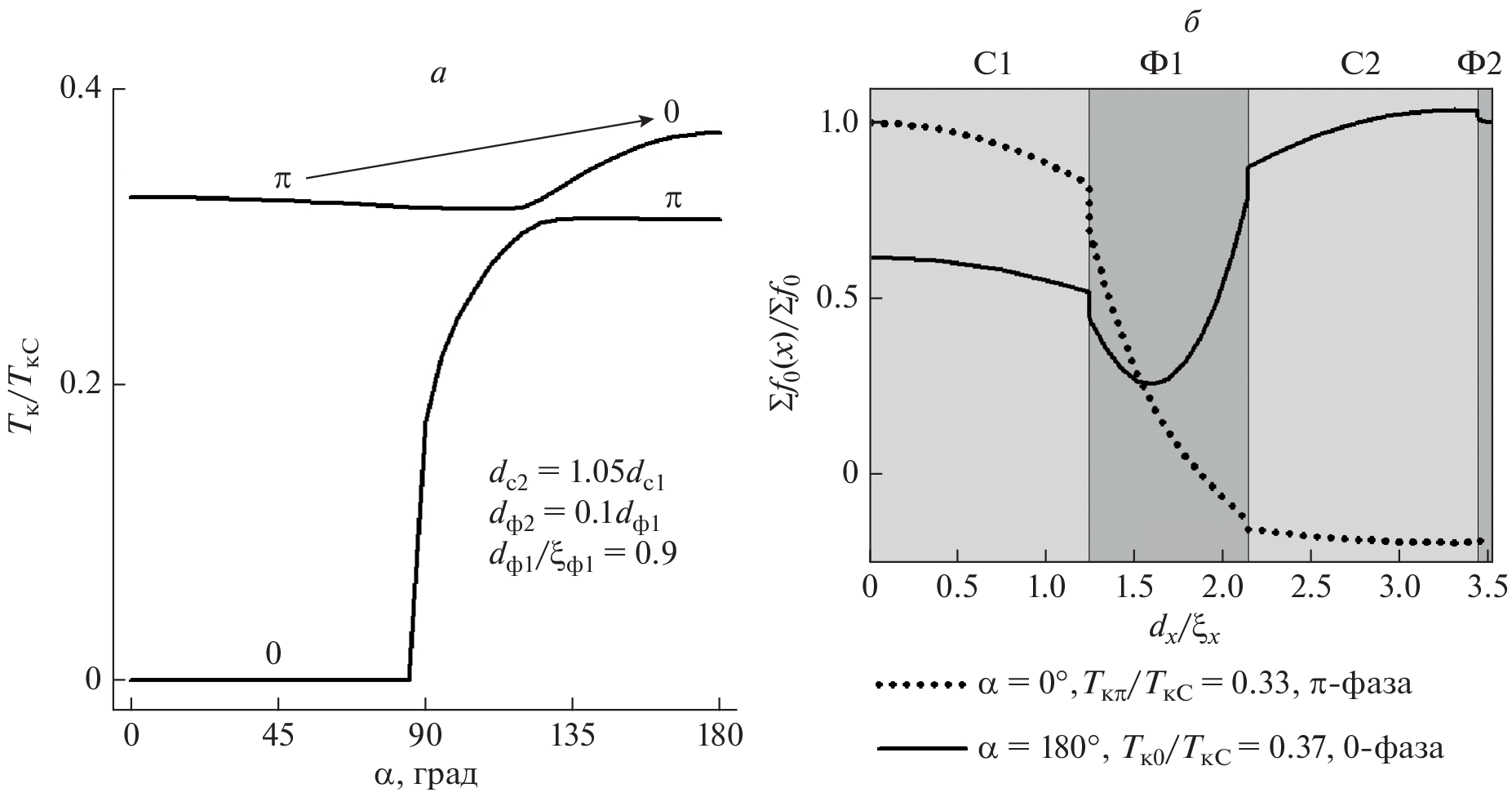
С помощью матричного метода решения линеаризованных уравнений Узаделя получена критическая температура и распределение синглетных компонент спаривания структуры сверхпроводник/ферромагнетик/сверхпроводник/ферромагнетик с неидеальными границами. Получен переход из π- в 0-фазовое состояние между слоями сверхпроводников при изменении угла между намагниченностями ферромагнитных слоев в такой структуре.
Об авторах
Р. Р. Гайфуллин
Федеральное государственное автономное образовательное учреждение высшего образования“Казанский (Приволжский) федеральный университет” Институт физики
Автор, ответственный за переписку.
Email: gaifullin.rashid@gmail.com
Россия, Казань
Р. Г. Деминов
Федеральное государственное автономное образовательное учреждение высшего образования“Казанский (Приволжский) федеральный университет” Институт физики
Email: gaifullin.rashid@gmail.com
Россия, Казань
В. Н. Кушнир
Белорусский государственный университет информатики и радиоэлектроники; Белорусский государственный университет, Кафедра теоретической физики и астрофизики
Email: gaifullin.rashid@gmail.com
Беларусь, Минск; Беларусь, Минск
М. Ю. Куприянов
Федеральное государственное бюджетное образовательное учреждение высшего образования“Московский государственный университет имени М.В. Ломоносова”,
Научно-исследовательский институт ядерной физики имени Д.В. Скобельцына
Email: gaifullin.rashid@gmail.com
Россия, Москва
А. А. Голубов
Университет Твенте, Институт нанотехнологий MESA+, Факультет науки и технологий
Email: gaifullin.rashid@gmail.com
Нидерланды, Энсхеде
Л. Р. Тагиров
Федеральное государственное автономное образовательное учреждение высшего образования“Казанский (Приволжский) федеральный университет” Институт физики; Казанский физико-технический институт имени Е.К. Завойского – обособленное структурное подразделение Федерального государственного бюджетного учреждения науки “Федеральный исследовательский центр
“Казанский научный центр Российской академии наук”
Email: gaifullin.rashid@gmail.com
Россия, Казань; Россия, Казань
Список литературы
- Bergeret F.S., Volkov A.F., Efetov K.B. // Rev. Mod. Phys. 2005. V. 77. No. 4. P. 1321.
- Fominov Ya.V., Golubov A.A., Karminskaya T.Y. et al. // Письма в ЖЭТФ. 2010. Т. 91. № 6. C. 329; Fominov Y.V., Golubov A.A., Karminskaya T.Y. et al. // JETP Lett. 2010. V. 91. No. 6. P. 308.
- Fominov Ya.V., Golubov A.A., Kupriyanov M.Y. // JETP Lett. 2003. V. 77. No. 9. P. 510.
- Гайфуллин Р.Р., Кушнир В.Н., Деминов Р.Г. и др. // ФТТ. 2019. Т. 61. № 9. С. 1585; Gaifullin R.R., Kushnir V.N., Deminov R.G. et al. // Phys. Solid State. 2019. V. 61. No. 9. P. 1535.
- Fominov Y.V., Chtchelkatchev N.M., Golubov A.A. // Phys. Rev. B. 2002. V. 66. No. 1. Art. No. 014507.
- Karabassov T., Stolyarov V.S., Golubov A.A. et al. // Phys. Rev. B. 2019. V. 100. No. 10. Art. No. 104502.
- Kушнир В.Н. // Докл. БГУИР. 2016. Т. 97. № 3. С. 18.
- Кушнир В.Н. Сверхпроводимость слоистых структур. Минск: БНТУ, 2010. 234 с.
- Kushnir V.N., Prischepa S.L., Cirillo C. et al. // Phys. Rev. B. 2011. V. 84. No. 21. Art. No. 214512.
Дополнительные файлы







