Magnetic and elastic oscillations in manganese-zinc spinel crystal in the region of spin reorientation
- Authors: Kotov L.N.1, Severin P.A.1, Vlasov V.S.1, Mironov V.V.1
-
Affiliations:
- Syktyvkar State University
- Issue: Vol 87, No 3 (2023)
- Pages: 422-428
- Section: Articles
- URL: https://journals.rcsi.science/0367-6765/article/view/135308
- DOI: https://doi.org/10.31857/S0367676522700740
- EDN: https://elibrary.ru/HGVGUQ
- ID: 135308
Cite item
Full Text
Abstract
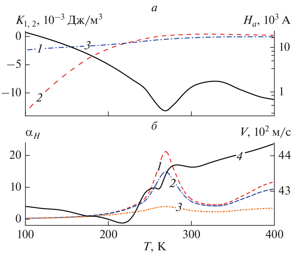
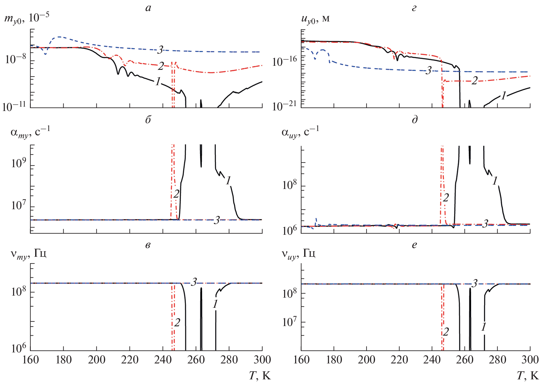
The formula for the magnetic dissipation parameter of ferrimagnetic crystals depending on the constant magnetic field and the anisotropy field was obtained. It was shown that in the region of magnetic reorientation in a manganese-zinc spinel crystal, magnetic and elastic vibrations of infinitely small amplitude and low frequency are excited, which are characterized by giant damping in a wide temperature range.
About the authors
L. N. Kotov
Syktyvkar State University
Author for correspondence.
Email: kotovln@mail.ru
Russia, 167001, Syktyvkar
P. A. Severin
Syktyvkar State University
Email: kotovln@mail.ru
Russia, 167001, Syktyvkar
V. S. Vlasov
Syktyvkar State University
Email: kotovln@mail.ru
Russia, 167001, Syktyvkar
V. V. Mironov
Syktyvkar State University
Email: kotovln@mail.ru
Russia, 167001, Syktyvkar
References
- Котов Л.Н., Северин П.А., Власов В.С. и др. // ФТТ. 2018. Т. 60. № 6. С. 1142; Kotov L.N., Severin P.A., Vlasov V.S. et al. // Phys. Solid State. 2018. V. 60. No. 6. P. 1153.
- Котов Л.Н., Северин П.А., Власов В.С., Носов Л.С. // Матем. структ. и моделир. 2016. Т. 37. № 1. С. 36.
- Власов В.С., Котов Л.Н., Липина Е.С. и др. // Изв. РАН. Сер. физ. 2013. Т. 77. № 10. С. 1459; Vlasov V.S., Kotov L.N., Lipina E.S. et al. // Bull. Russ. Acad. Sci. Phys. 2013. V. 77. No. 10. P. 1255.
- Власов В.С., Шавров В.Г., Щеглов В.И. // Радиотехн. и электрон. 2014. Т. 59. № 5. С. 482; Vlasov V.S., Shavrov V.G., Shcheglov V.I. // J. Commun. Technol. Electron. 2014. V. 59. No. 5. P. 441.
- Плешев Д.А., Асадуллин Ф.Ф., Оганезова Н.А. и др. // Изв. РАН. Сер. физ. 2019. Т. 83. № 7. С. 987; Pleshev D.A., Asadullin F.F., Oganezova N.A. et al. // Bull. Russ. Acad. Sci. Phys. 2019. V. 83. No. 7. P. 901.
- Власов В.С., Котов Л.Н., Шавров В.Г., Щеглов В.И. // Радиотехн. и электрон. 2009. Т. 54. С. 863.
- Шутилов В.А., Котов Л.Н., Мирзоахметов Х., Сарнацкий В.М. // ФТТ. 1986. Т. 28. № 6. С. 1783.
- Голдин Б.А., Котов Л.Н., Зарембо Л.К., Карпачев С.Н. Спин-фононные взаимодействия в кристаллах (ферритах). Л.: Наука, 1991. 150 с.
- Баженов М.В., Котов Л.К. // Акуст. журн. 1997. Т. 43. № 6. С. 744.
- Котов Л.Н., Карпачев С.Н. // Письма в ЖТФ. 2002. Т. 28. № 3. С. 49; Kotov L.N., Karpachev S.N. // Tech. Phys. Lett. 2002. V. 28. P. 105.
Supplementary files







