Magnetic and dielectric properties double perovskite Sr2MnTiO5.87
- Authors: Eremina R.M.1, Chupakhina T.I.2, Batulin R.G.3, Popov D.V.1, Deeva Y.A.2, Mirzorakhimov A.A.4
-
Affiliations:
- Zavoisky Physical-Technical Institute, Federal Research Center “Kazan Scientific Center of the Russian Academy of Sciences”
- Institute of Solid State Chemistry of the Ural Branch of the Russian Academy of Sciences
- Kazan (Volga Region) Federal University
- Ural Federal University
- Issue: Vol 87, No 3 (2023)
- Pages: 377-382
- Section: Articles
- URL: https://journals.rcsi.science/0367-6765/article/view/135300
- DOI: https://doi.org/10.31857/S0367676522700661
- EDN: https://elibrary.ru/HGFKZP
- ID: 135300
Cite item
Full Text
Abstract
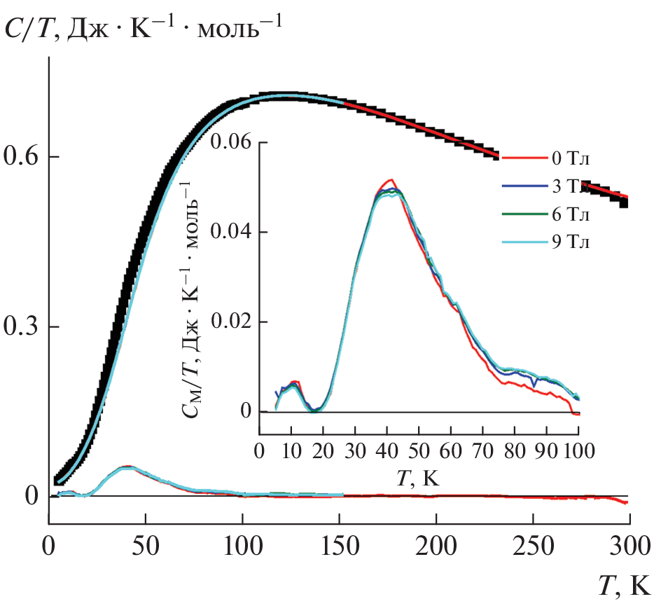
Magnetic and dielectric properties of Sr2MnTiO5.87 double perovskite have been studied. Magnetic phase transitions were observed at 12 and 43 K in the FC and ZFC curves of magnetization and magnetic heat capacity, the nature of which is being discussed. From the analysis of the lattice contribution to the specific heat, the Debye and Einstein temperatures were determined, which were θD = 217 К, θЕ1 = 275 К, θЕ2 = 615 К, θЕ3 = 2000 К.
About the authors
R. M. Eremina
Zavoisky Physical-Technical Institute, Federal Research Center“Kazan Scientific Center of the Russian Academy of Sciences”
Author for correspondence.
Email: REremina@yandex.ru
Russia, 420029, Kazan
T. I. Chupakhina
Institute of Solid State Chemistry of the Ural Branch of the Russian Academy of Sciences
Email: REremina@yandex.ru
Russia, 620990, Ekaterinburg
R. G. Batulin
Kazan (Volga Region) Federal University
Email: REremina@yandex.ru
Russia, 420008, Kazan
D. V. Popov
Zavoisky Physical-Technical Institute, Federal Research Center“Kazan Scientific Center of the Russian Academy of Sciences”
Email: REremina@yandex.ru
Russia, 420029, Kazan
Yu. A. Deeva
Institute of Solid State Chemistry of the Ural Branch of the Russian Academy of Sciences
Email: REremina@yandex.ru
Russia, 620990, Ekaterinburg
A. A. Mirzorakhimov
Ural Federal University
Email: REremina@yandex.ru
Russia, 620002, Ekaterinburg
References
- Sarma D., Sampathkumaran E., Ray S. et al. // Solid State Commun. 2000. V. 114. P. 465.
- Kumar S., Giovannetti G., van den Brink J., Picozzi S. // Phys. Rev. B. 2010. V. 82. Art. No. 134429.
- Vasala S., Karppinen M. // Progr. Solid State Chem. 2015. V. 43. No. 1–2. P. 1.
- Demazeau G., Siberchicot B., Matar S. et al. // J. Appl. Phys. 1994. V. 75. P. 4617.
- Meetei O.N., Erten O., Mukherjee A. et al. // Phys. Rev. B. 2013. V. 87. Art. No. 165104.
- Alvarez–Serrano I., Angeles Arillo M., Garcıa-Hernandez M. et al. // J. Amer. Ceram. Soc. 2010. V. 93. P. 2311.
- Popov D.V., Gavrilova T.P., Gilmutdinov I.F. et al. // J. Phys. Chem. Solids. 2021. V. 148. Art. No. 109695.
- Valant M., Kolodiazhnyi T., Arcon I. et al. // Adv. Funct. Mater. 2012. V. 22. No. 10. P. 2114.
- Tackett R., Lawes G., Melot B.C. et al. // Phys. Rev. B. 2007. V. 76. Art. No. 024409.
- Mustonen O., Vasala S., Sadrollahi E. et al. // Nature Commun. 2018. V. 9. Art. No. 1085.
- Clark L., Orain J.C., Bert F. et al. // Phys. Rev. Lett. 2013. V. 110. Art. No. 207208.
- Mydosh J.A. // Rep. Progr. Phys. 2015. V. 78. Art. No. 052501.
- Murugesan G., Nithya R., Kalainathan S. // J. Cryst. Growth. 2020. V. 530. Art. No. 125179.
Supplementary files







