Materials based on RCo2 and RMnSi for solid-state magnetic cooling
- Authors: Tereshina I.S.1, Ovchenkova I.A.1, Politova G.A.2, Pankratov N.Y.1
-
Affiliations:
- Lomonosov Moscow State University
- Baikov Institute of Metallurgy and Materials Science of the Russian Academy of Sciences
- Issue: Vol 87, No 3 (2023)
- Pages: 353-358
- Section: Articles
- URL: https://journals.rcsi.science/0367-6765/article/view/135296
- DOI: https://doi.org/10.31857/S0367676522700624
- EDN: https://elibrary.ru/HFYNVW
- ID: 135296
Cite item
Full Text
Abstract
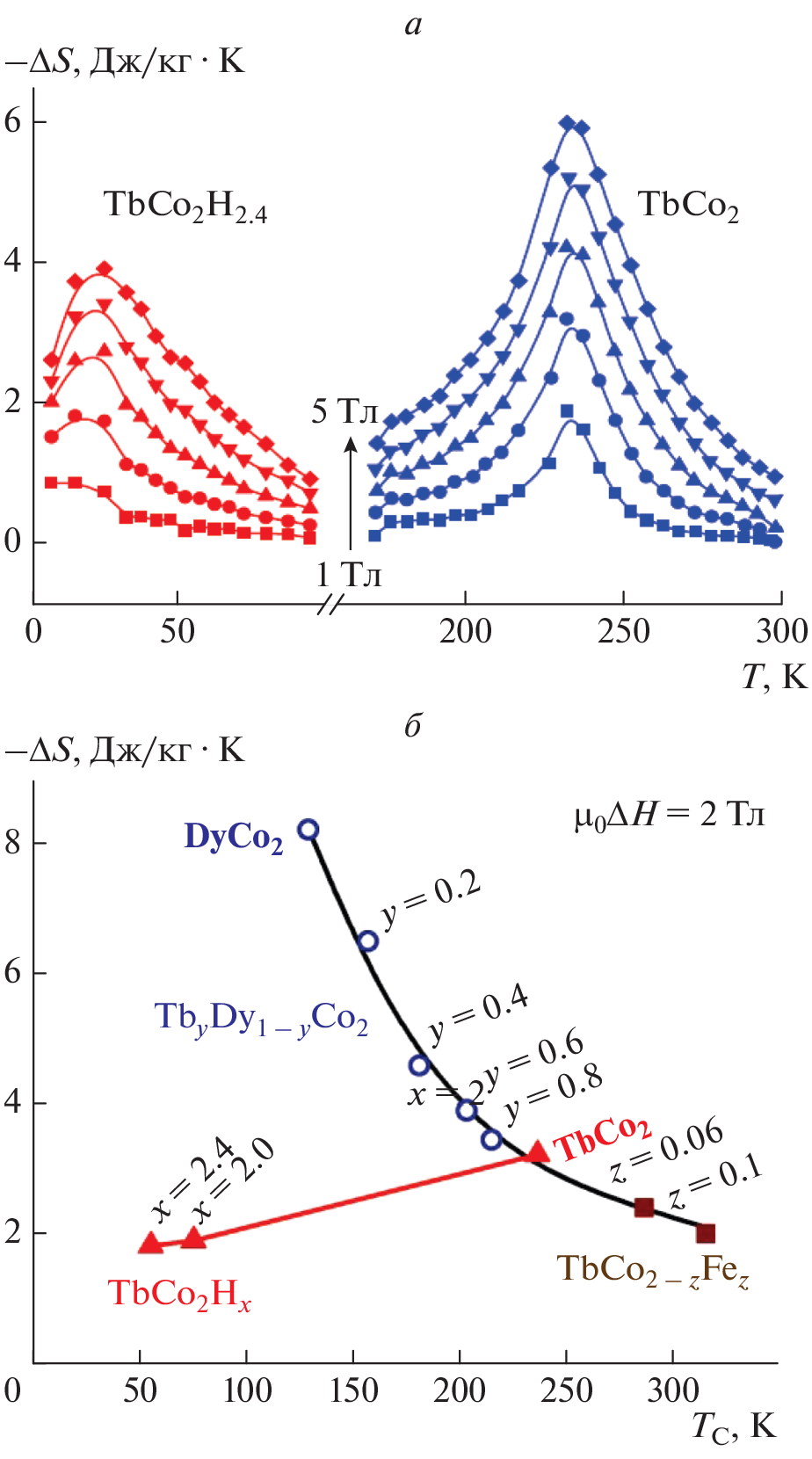
The aim of the work was to create highly efficient materials for solid-state magnetic cooling at temperatures below room temperature (120–280 K). For this, new (R,R')(Co,T)2 and R(Mn,T)Si (T = Fe, Co, Al) compounds with a noticeable magnetocaloric effect (MCE) in the Curie temperature region were investigated. The main regularities of the behavior of the MCE depending on the composition are revealed.
About the authors
I. S. Tereshina
Lomonosov Moscow State University
Author for correspondence.
Email: tereshina@physics.msu.ru
Russia, 119991, Moscow
I. A. Ovchenkova
Lomonosov Moscow State University
Email: tereshina@physics.msu.ru
Russia, 119991, Moscow
G. A. Politova
Baikov Institute of Metallurgy and Materials Science of the Russian Academy of Sciences
Email: tereshina@physics.msu.ru
Russia, 119334, Moscow
N. Yu. Pankratov
Lomonosov Moscow State University
Email: tereshina@physics.msu.ru
Russia, 119991, Moscow
References
- Tishin A.M., Spichkin Y.I. The magnetocaloric effect and its applications. Bristol and Philadelphia: Institute of Physics Publishing, 2003. 476 p.
- Franco V., Blázquez J.S., Ipus J.J. et al. // Prog. Mater. Sci. 2018. V. 93. P. 112.
- Kitanovski A., Tušek J., Tomc U. et al. Magnetocaloric energy conversion from theory to applications. Cham: Springer International Publishing, 2015. 456 p.
- Соколовский В.В., Мирошкина О.Н., Бучельников В.Д. // Физ. мет. и металловед. 2022. Т. 123. С. 344; Sokolovskiy V.V., Miroshkina O.N. Buchelnikov V.D. // Phys. Met. Metallogr. 2022. V. 123. P. 319.
- Соколовский В.В., Мирошкина О.Н., Бучельников В.Д., Марченков В.В. // Физ. мет. и металловед. 2022. Т. 123. С. 339; Sokolovskiy V.V., Miroshkina O.N., Buchelnikov V.D. et al. // Phys. Met. Metallogr. 2022. V. 123. P. 315.
- Annaorazov M.P., Asatryan K.A., Myalikgulyev G. et al. // Cryogenics. 1992. V. 32. No. 10. P. 867.
- Pecharsky V.K., Gschneidner Jr. K.A. // Adv. Mater. 2001. V. 13. No. 9. P. 683.
- Govor G.A., Mitsiuk V.I., Nikitin S.A. et al. // J. Alloys Compounds. 2019. V. 801. P. 428.
- Skokov K.P., Karpenkov A.Y., Karpenkov D.Y., Gutfleisch O. // J. Appl. Phys. 2013. V. 113. No. 17. Art. No. 17A945.
- Aliev A., Batdalov A., Bosko S. et al. // J. Magn. Magn. Mater. 2004. V. 272. No. 3. P. 2040. Art. No. 17A933.
- Nikitin S.A., Ivanova T.I., Tskhadadze I.A. // Acta Phys. Polon. A. 1997. 91. No. 2. P. 463.
- Терешина И.С., Каминская Т.П., Чжан В.Б. и др. // ФТТ. 2019. Т. 61. № 7. С. 1229; Tereshina I.S., Kaminskaya T.P., Chzhan V.B. et al. // Phys. Solid State. 2019. V. 61. No. 7. P. 1169.
- Gratz E., Markosyan A.S. // J. Phys. Cond. Matter. 2001. V. 13. No. 23. Art. No. R385.
- Zhuang Y., Chen X., Zhok K. et al. // J. Rare Earths. 2008. V. 26. No. 5. P. 749.
- De Oliveira N.A. // J. Magn. Magn. Mater. 2008. V. 320. No. 14. Art. No. e150.
- Мушников Н.В., Гавико В.С., Гото Т. // Физ. мет. и металловед. 2005. V. 100. P. 24; Mushnikov N.V., Gaviko V.S., Goto T. // Phys. Met. Metallogr. 2005. V. 100. No. 4. P. 338.
- Brouha M., Buschow K.H.J. // J. Phys. F. 1973. V. 3. P. 2218.
- Burzo E., Vlaic P., Kozlenko D.P. et al. // J. Alloys Compounds. 2013. V. 551. P. 702.
- Tereshina E.A., Khmelevskyi S., Politova G. et al. // Sci. Reports. 2016. V. 6. Art. No. 22553.
- Tereshina E.A., Yoshida H., Andreev A.V. et al. // J. Phys. Soc. Japan. 2007. V. 76. No. Suppl. A. P. 82.
- Halder M., Yusuf S.M., Mukadam M.D., Shashikala K. // Phys. Rev. B. 2010. V. 81. Art. No. 174402.
- Chzhan V.B., Tereshina I.S., Karpenkov A.Yu., Tereshina-Chitrova E.A. // Acta Mater. 2018. V. 154. P. 303.
- Politova G.A., Pankratov N.Y., Vanina P.Y. et al. // J. Magn. Magn. Mater. 2019. V. 470. P. 50.
- Wlodarczyk P., Hawelek L., Zackiewicz P. et al. // Mater. Chem. Phys. 2015. V. 162. P. 273.
- Ovchenkova I.A., Nikitin S.A., Tereshina I.S. et al. // J. Appl. Phys. 2020. V. 128. No. 14.
- Nikitin S.A., Tskhadadze I.A., Morozkin A.V. et al. // J. Magn. Magn. Mater. 1999. V. 196. No. 197. P. 632.
Supplementary files







