Особенности теплового расширения в сплавах замещения на основе тяжелых редкоземельных металлов \(R_{{1\, - \,x}}^{I}R_{x}^{{II}}F{{e}_{2}}\)
- Авторы: Умхаева З.С.1,2, Терёшина И.С.3, Панкратов Н.Ю.3, Алиев И.М.1,2, Хоменко М.Р.3
-
Учреждения:
- Федеральное государственное бюджетное учреждение науки Комплексный научно-исследовательский институт имени Х.И. Ибрагимова Российской академии наук
- Федеральное государственное бюджетное образовательное учреждение высшего образования “Чеченский государственный университет имени А.А. Кадырова”
- Федеральное государственное бюджетное образовательное учреждение высшего образования “Московский государственный университет имени М.В. Ломоносова”
- Выпуск: Том 87, № 3 (2023)
- Страницы: 338-342
- Раздел: Статьи
- URL: https://journals.rcsi.science/0367-6765/article/view/135293
- DOI: https://doi.org/10.31857/S0367676522700594
- EDN: https://elibrary.ru/HFRCVQ
- ID: 135293
Цитировать
Полный текст
Аннотация
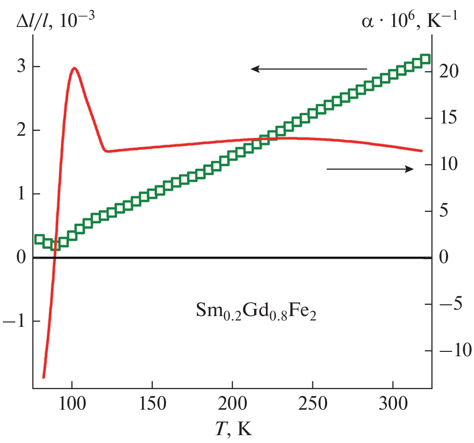
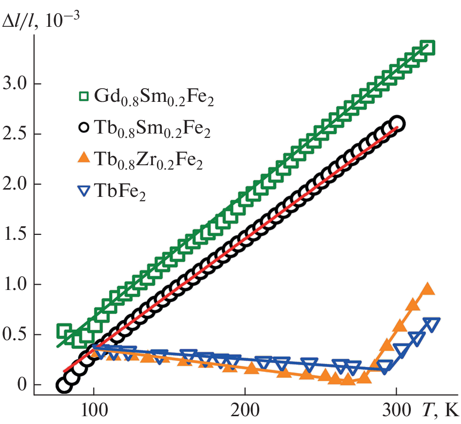
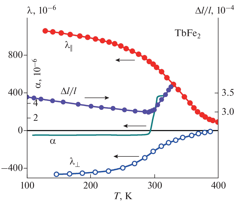
Изучены особенности поведения теплового расширения и магнитострикции в магнитоупорядоченных сплавах замещения на основе тяжелых редкоземельных металлов, а именно: TbFe2, Tb0.8Zr0.2Fe2, Tb0.8Sm0.2Fe2 и Gd0.8Sm0.2Fe2. Установлено, что аномалии теплового расширения, наблюдаемые в сплавах, обусловлены, главным образом, конкуренцией обменных взаимодействий. В сплавах TbFe2 и Tb0.8Zr0.2Fe2 в широкой области температур наблюдаются особенности инварного типа.
Об авторах
З. С. Умхаева
Федеральное государственное бюджетное учреждение наукиКомплексный научно-исследовательский институт имени Х.И. Ибрагимова Российской академии наук; Федеральное государственное бюджетное образовательное учреждение высшего образования
“Чеченский государственный университет имени А.А. Кадырова”
Автор, ответственный за переписку.
Email: zargan.umhaeva@yandex.ru
Россия, Грозный; Россия, Грозный
И. С. Терёшина
Федеральное государственное бюджетное образовательное учреждение высшего образования“Московский государственный университет имени М.В. Ломоносова”
Email: zargan.umhaeva@yandex.ru
Россия, Москва
Н. Ю. Панкратов
Федеральное государственное бюджетное образовательное учреждение высшего образования“Московский государственный университет имени М.В. Ломоносова”
Email: zargan.umhaeva@yandex.ru
Россия, Москва
И. М. Алиев
Федеральное государственное бюджетное учреждение наукиКомплексный научно-исследовательский институт имени Х.И. Ибрагимова Российской академии наук; Федеральное государственное бюджетное образовательное учреждение высшего образования
“Чеченский государственный университет имени А.А. Кадырова”
Email: zargan.umhaeva@yandex.ru
Россия, Грозный; Россия, Грозный
М. Р. Хоменко
Федеральное государственное бюджетное образовательное учреждение высшего образования“Московский государственный университет имени М.В. Ломоносова”
Email: zargan.umhaeva@yandex.ru
Россия, Москва
Список литературы
- Илюшин А.С. Введение в структурную физику интерметаллических соединений. М.: МГУ, 1984. 99 с.
- Umkhaeva Z.S., Ilyushin A.S., Nikitin S.A. et al. // J. Phys. Conf. Ser. 2020. V. 905. Art. No. 12071.
- Белов К.П., Катаев Г.И., Левитин Р.З. и др. // УФН. 1983. Т. 140. № 2. С. 271; Belov K.P., Kataev G.I., Levitin R.Z. et al. // Sov. Phys. Usp. 1983. V. 26. No. 6. P. 518.
- Nikitin S.A., Tereshina I.S., Verbetsky V.N. et al. // J. Alloys. Compounds. 2001. V. 322. P. 42.
- Умхаева З.С. Структурные и магнитные фазовые превращения и сверхтонкие взаимодействия на ядре 57Fe в фазах высокого давления сплавов квазибинарных систем и R(Fe1 – xMx)2 (R – РЗЭ, М – 3d-металл). Дис. … докт. физ-мат. наук. Махачкала: Ин-т физ. ДНЦ РАН, 2014.
- Sluga M. // Physica. 1975. V. 53 A. No. 4. P. 319.
- Никитин С.А., Бислиев А.-Х.М., Куприянов А.К., Умхаева З.С. // ФТТ. 1989. Т. 31. № 9. С. 231; Nikitin S.A., Bisliev A.-Kh.M., Kupryanov A.K., Umkhaeva Z.S. // Phys. Solid State. 1989. V. 31. No. 9. P. 231.
- Ilyushin A.S., Tereshina I.S., Pankratov N.Yu. et al. // J. Alloys. Compounds. 2020. V. 847. Art. No. 155976.
- Алероева Т.А., Терешина И.С., Умхаева З.С. и др. // ФТТ. 2019. Т. 61. № 12. С. 2471; Aleroeva T.A., Tereshina I.S., Umkhaeva Z.S. et al. // Phys. Solid State. 2019. V. 61. No. 12. P. 2503.
- Pankratov N.Yu., Tereshina I.S., Politova G.A. et al. // J. Magn. Magn. Mater. 2021. 527. Art. No. 167728.
- Politova G.A., Karpenkov A.Y., Kaminskaya T.P. et al. // St. Petersburg Polytech. Univ. J. Phys. Math. 2019. V. 12. No. 1. P. 28.
- Gaviko V.S., Korolyov A.V., Mushnikov N.V. // J. Magn. Magn. Mater. 1996. V. 157–158. P. 659.






