Особенности возбуждения волновода Земля–ионосфера на частотах выше частоты первого поперечного резонанса
- Авторы: Ларченко А.В.1, Лебедь О.М.1, Пильгаев С.В.1, Сидоренко Д.И.1, Федоренко Ю.В.1
-
Учреждения:
- Федеральное государственное бюджетное научное учреждение “Полярный геофизический институт”
- Выпуск: Том 87, № 2 (2023)
- Страницы: 278-285
- Раздел: Статьи
- URL: https://journals.rcsi.science/0367-6765/article/view/135284
- DOI: https://doi.org/10.31857/S036767652270048X
- EDN: https://elibrary.ru/AIXQDM
- ID: 135284
Цитировать
Полный текст
Аннотация
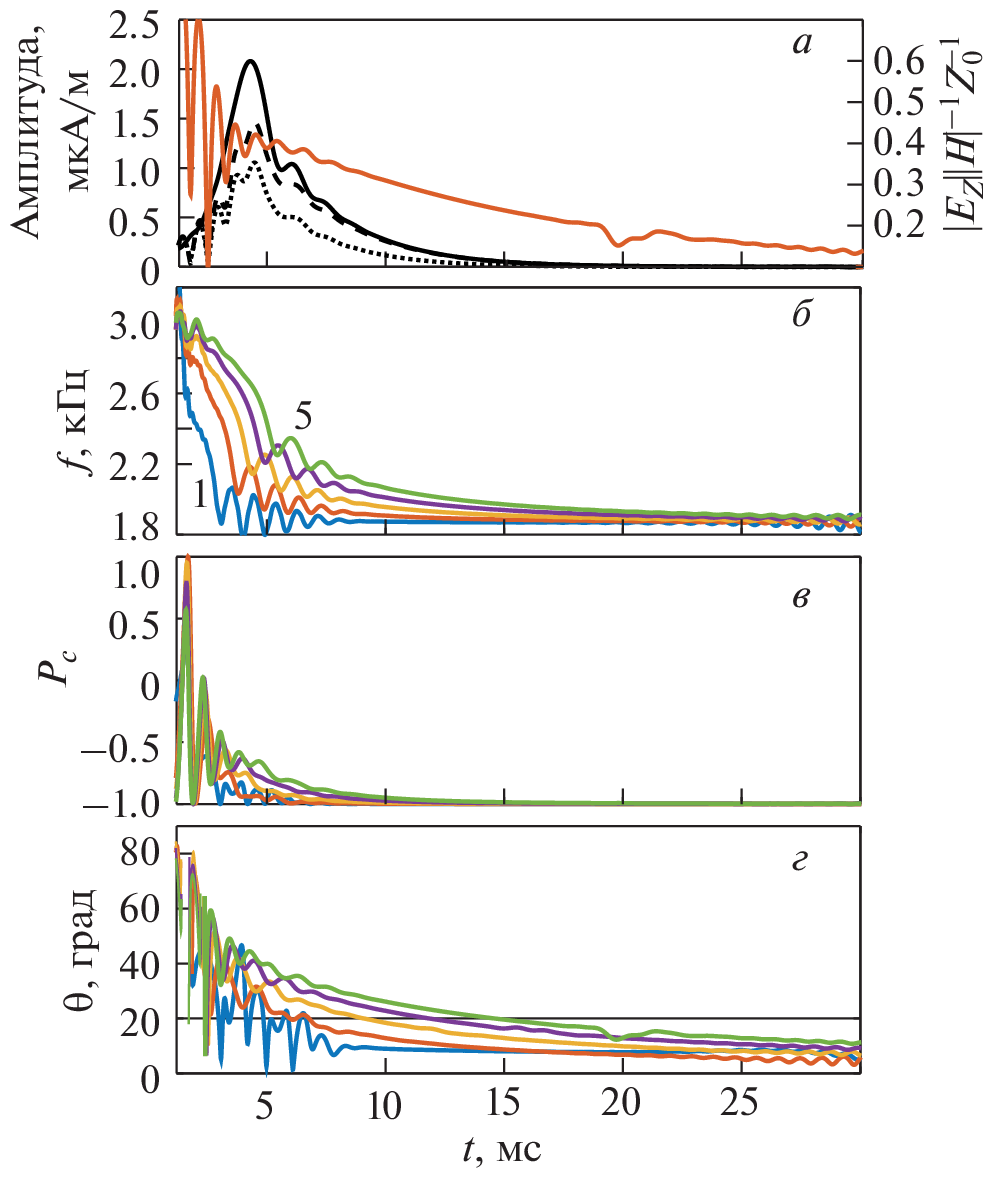
Рассмотрены экспериментальные данные регистрации сигналов твик-атмосфериков и ионосферного источника, образованного в результате нагрева ионосферы, на частотах выше частоты первого поперечного резонанса волновода Земля–ионосфера (~1.8 кГц). Показано, что вдали от источника на частотах вблизи резонанса наблюдается практически полная круговая левая поляризация горизонтального магнитного поля, углы падения малы и составляют от 10° до 35°. Совместный анализ данных наблюдений и результатов моделирования показал, возможность расчета величины эффективной высоты отражения по оценкам угла падения, что может быть использовано для диагностики нижней ионосферы. При этом для ионосферного источника необходим учет его диаграммы излучения.
Об авторах
А. В. Ларченко
Федеральное государственное бюджетное научное учреждение“Полярный геофизический институт”
Автор, ответственный за переписку.
Email: alexey.larchenko@gmail.com
Россия, Апатиты
О. М. Лебедь
Федеральное государственное бюджетное научное учреждение“Полярный геофизический институт”
Email: alexey.larchenko@gmail.com
Россия, Апатиты
С. В. Пильгаев
Федеральное государственное бюджетное научное учреждение“Полярный геофизический институт”
Email: alexey.larchenko@gmail.com
Россия, Апатиты
Д. И. Сидоренко
Федеральное государственное бюджетное научное учреждение“Полярный геофизический институт”
Email: alexey.larchenko@gmail.com
Россия, Апатиты
Ю. В. Федоренко
Федеральное государственное бюджетное научное учреждение“Полярный геофизический институт”
Email: alexey.larchenko@gmail.com
Россия, Апатиты
Список литературы
- Yamashita M. // J. Atm. Terr. Phys. 1978. V. 40. No. 2. P. 151.
- Ohya H., Shiokawa K., Miyoshi Y. // Earth Planets Space. 2008. V. 60. P. 837.
- Maurya A.K., Singh R., Veenadhari B. et al. // J. Geophys. Res. 2012. V. 117. Art. No. A05301.
- Tsuruda K., Hayashi K. // J. Atm. Terr. Phys. 1975. V. 37. No. 9. P. 1193.
- Fedorenko Yu.V., Tereshchenko E.D., Pilgaev S.V. et al. // Radio Sci. 2014. V. 49. No. 12. P. 1 254.
- Ларченко А.В., Лебедь О.М., Благовещенская Н.Ф. и др. // Изв. вузов. Радиофиз. 2019. Т. 62. № 6. С. 429; Larchenko A.V., Lebed’ O.M., Pilgaev S.V. et al. // Radiophys. Quant. Electron. 2019. V. 62. No. 6. P. 385.
- Ostapenko A.A., Titova E.E., Nickolaenko A.P. et al. // Ann. Geophys. 2010. V. 28. No. 1. P. 193.
- Shvets A.V., Hayakawa M. // J. Atm. Terr. Phys. 1975. V. 37. No. 9. P. 1193.
- Пильгаев С.В., Ларченко А.В., Федоренко Ю.В. и др. // ПТЭ. 2021. № 5. С. 115; Pil’gaev S.V., Larchenko A.V., Fedorenko Y.V. et al. // Instrum. Exper. Tech. 2021. V. 64. No. 5. P. 744.
- Пильгаев С.В., Ларченко А.В., Филатов М.В. и др. // ПТЭ. 2018. № 6. С. 49; Pilgaev S.V., Larchenko A.V., Filatov M.V. et al. // Pil’gaev S.V., Larchenko A.V., Fedorenko Y.V. et al. // Instrum. Exper. Tech. 2018. V. 61. No. 6. P. 809.
- Лебедь О.М., Федоренко Ю.В., Благовещенская Н.Ф. и др. // Геомагн. и аэрон. 2017. Т. 6, № 57. С. 751; Lebed’ O.M., Fedorenko Y.V., Larchenko A.V. et al. // Geomagn. Aeron. 2017. Т. 57. No. 6. С. 698.
- Рытов С.М. Введение в статистическую радиофизику. Ч. 1. Случайные процессы. М.: Наука: ГРФМЛ, 1976. 494 с.
- Lehtinen N.G., Inan U.S. // J. Geophys. Res. Space Phys. 2008. V. 113. No. 6. Art. No. 06301.
- Li H.F., He W., He Q.Q., Zheng J.J. // Adv. Engin. Res. 2016. V. 115. P. 259.
- Moore R. ELF/VLF wave generation by modulated HF heating of the auroral electrojet: PhD thesis. Stanford University, 2007. 107 p.
- Rietveld M.T., Mauelshagen H.P., Stubbe P. et al. // J. Geophys. Res. Space Phys. 1987. V. 92. No. A8. Art. No. 8707.
- Rietveld M.T., Stubbe P., Kopka H. // Radio Sci. 1989. V. 24. No. 3. P. 270.
- Cohen M.B., Golkowski M., Inan U.S. // Geophys. Res. Lett. 2008. V. 35. No. L02. Art. No. 02806.
- www.geomag.bgs.ac.uk/data_service/models_compass/ igrf_calc.html.
- https://ccmc.gsfc.nasa.gov/modelweb/models/msis_vitmo.php.
- https://ccmc.gsfc.nasa.gov/modelweb/models/iri2016_ vitmo.php.
- Korja T., Engels M., Zhamaletdinov A.A. et al. // Earth Planets Space. 2002. V. 54. No. 5. P. 535.
Дополнительные файлы







