Non-equilibrium processes in a semiconductor laser based on AlAs/(Al,Ga)As/GaAs microcavity under electric pulses excitation
- Authors: Maksimov A.A.1, Filatov E.V.1, Filatov V.V.2, Tartakovskii I.I.1
-
Affiliations:
- Institute of Solid State Physics of the Russian Academy of Sciences
- Semenov Federal Research Center of Chemical Physics, Branch in Chernogolovka
- Issue: Vol 87, No 2 (2023)
- Pages: 182-188
- Section: Articles
- URL: https://journals.rcsi.science/0367-6765/article/view/135270
- DOI: https://doi.org/10.31857/S036767652270034X
- EDN: https://elibrary.ru/AEHGMI
- ID: 135270
Cite item
Full Text
Abstract
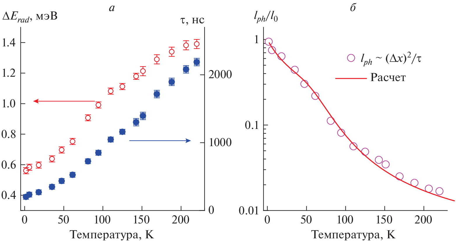
Stimulated radiation with a high circular polarization degree in chiral semiconductor microcavities was studied in a wide temperature range. The kinetics of the spectra emission rearrangement in injection laser nanostructures during the action of a rectangular electric excitation pulse is studied in detail.
About the authors
A. A. Maksimov
Institute of Solid State Physics of the Russian Academy of Sciences
Author for correspondence.
Email: maksimov@issp.ac.ru
Russia, 142432, Chernogolovka
E. V. Filatov
Institute of Solid State Physics of the Russian Academy of Sciences
Email: maksimov@issp.ac.ru
Russia, 142432, Chernogolovka
V. V. Filatov
Semenov Federal Research Center of Chemical Physics, Branch in Chernogolovka
Email: maksimov@issp.ac.ru
Russia, 142432, Chernogolovka
I. I. Tartakovskii
Institute of Solid State Physics of the Russian Academy of Sciences
Email: maksimov@issp.ac.ru
Russia, 142432, Chernogolovka
References
- Genevet P., Capasso F., Aieta F. et al. // Optica. 2017. V. 4. P. 139.
- Hübener H., De Giovannini U., Schäfer C. et al. // Nature Mater. 2021. V. 20. P. 438.
- Ando H., Sogawa T., Gotoh H. // Appl. Phys. Lett. 1998. V. 73. No. 5. P. 566.
- Holub M., Bhattacharya P. // J. Phys. D. 2007. V. 40. Art. No. R179.
- Chen J.-Y., Wong T.-M., Chang C.-W. et al. // Nature Nanotech. 2014. V. 9. P. 845.
- Lindemann M., Xu G., Pusch T. et al. // Nature. 2019. V. 568. P. 212.
- Žutić I., Xu G., Lindemann M. et al. // Solid State Commun. 2020. V. 316–317. Art. No. 113949.
- Kopp V.I., Fan B., Vithana H.K.M. et al. // Opt. Lett. 1998. V. 23. P. 1707.
- Ha N.Y., Ohtsuka Y., Jeong S.M. et al. // Nature. Mater. 2008. V. 7. P. 43.
- Maksimov A.A., Tartakovskii I.I., Filatov E.V. et al. // Phys. Rev. B. 2014. V. 89. Art. No. 045316.
- Lobanov S.V., Tikhodeev S.G., Gippius N.A. et al. // Phys. Rev. B. 2015. V. 92. Art. No. 205309.
- Максимов А.А., Филатов Е.В., Тартаковский И.И. // Изв. РАН. Сер. физ. 2021. Т. 85. № 2. С. 241; Maksimov A.A., Filatov E.V., Tartakovskii I.I. // Bull. Russ. Acad. Sci. Phys. 2021. V. 85. No. 2. P. 176.
- Maksimov A.A., Filatov E.V., Tartakovskii I.I. et al. // Phys. Rev. Appl. 2022. V. 17. Art. No. L021001.
- Максимов А.А., Филатов Е.В., Тартаковский И.И. // Изв. РАН. Сер. физ. 2022. Т. 86. № 4. С. 494; Maksimov A.A., Filatov E.V., Tartakovskii I.I. // Bull. Russ. Acad. Sci. Phys. 2022. V. 86. No. 4. P. 404.
- Afromowitz M.F. // Solid State Commun. 1974. V. 15. P. 59.
- Goñi A.R., Syassen K., Cardona M. // Phys. Rev. B. 1990. V. 41. No. 14. Art. No. 10104.
- Goñi A.R., Cantarero A., Syassen K. et al. // Phys. Rev. B. 1990. V. 41. No. 14. Art. No. 10111.
Supplementary files







