Two-dimensional wave motion in a viscous homogeneous liquid
- Authors: Ochirov A.A.1,2
-
Affiliations:
- Ishlinsky Institute for Problems in Mechanics of the Russian Academy of Sciences
- Demidov Yaroslavl State University
- Issue: Vol 87, No 1 (2023)
- Pages: 94-98
- Section: Articles
- URL: https://journals.rcsi.science/0367-6765/article/view/135254
- DOI: https://doi.org/10.31857/S036767652270017X
- EDN: https://elibrary.ru/JTPIDR
- ID: 135254
Cite item
Full Text
Abstract
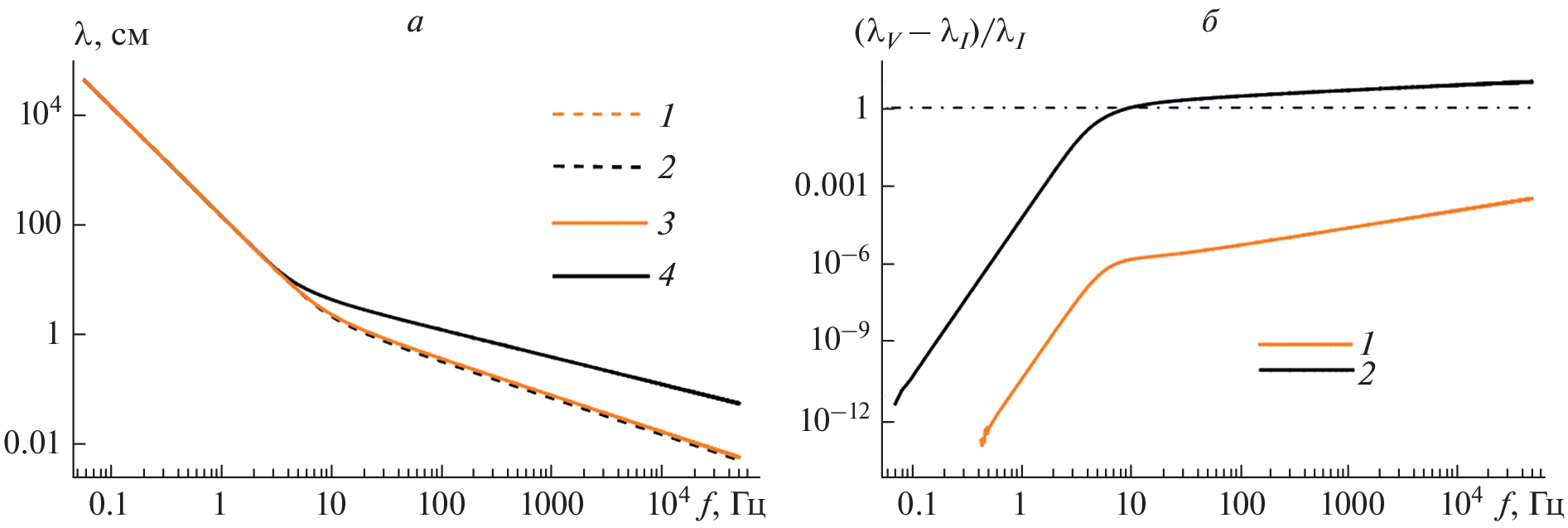
The propagation of two-dimensional periodic capillary-gravitational waves in a viscous homogeneous liquid with a free surface in the frequency range from \(5 \cdot {{10}^{{ - 2}}}\) to \(5 \cdot {{10}^{4}}\) Hz is investigated. Dispersion relations are obtained, as well as expressions for phase and group velocities for surface waves in physically observable variables. It is shown that there is another class of solutions that is not observed in the ideal fluid model.
About the authors
A. A. Ochirov
Ishlinsky Institute for Problems in Mechanics of the Russian Academy of Sciences; Demidov Yaroslavl State University
Author for correspondence.
Email: otchirov@mail.ru
Russia, 119526, Moscow; Russia, 150000, Yaroslavl
References
- Лэмб Г. Гидродинамика. М.-Л.: ГИТТЛ, 1949. 928 с.
- Кочин Н.Е., Кибель И.А., Розе И.В. Теоретическая гидромеханика. Ч. 1. М.: Физматгиз, 1963. 585 с.
- Лайтхилл Дж. Волны в жидкостях. Пер. с англ. M.: Мир, 1981. 598 с.
- Белоножко Д.Ф., Очиров А.А. // Изв. РАН. Сер. физ. 2018. Т. 82. № 1. С. 47; Belonozhko D.F., Ochirov A.A. // Bull. Russ. Acad. Sci. Phys. 2018. V. 82. No. 1. P. 40.
- Belonozhko D., Ochirov A. // J. Phys. Conf. Ser. 2022. V. 2231. No. 1. Art. No. 012013.
- Потапов И.И., Силакова Ю.Г. // Изв. РАН. Физ. атмосферы и океана. 2021. Т. 57. №. 2. С. 212; Potapov I.I., Silakova Y.G. // Izv. Atmos. Ocean. Phys. 2021. V. 57. No. 2. P. 192.
- Hung L.-P., Tsa W.-T. // J. Phys. Oceanogr. 2009. V. 39. No. 2. P. 263.
- Кистович А.В., Чашечкин Ю.Д. // Изв. РАН. Физ. атмосферы и океана. 2018. Т. 54. № 2. С. 206; Кistovich A.V., Chashechkin Yu.D. // Izv. Atmos. Ocean. Phys. 2018. V. 54. No. 2. P. 182
- Ермаков С.А. // Изв. РАН. Физ. атмосферы и океана. 2010. Т. 46. № 2. С. 228; Ermakov S.A. // Izv. Atmos. Ocean. Phys. 2010. V. 46. No. 2. P. 208.
- Чашечкин Ю.Д. // Изв. РАН. Физ. атмосферы и океана. 2022. Т. 58. № 2. С. 218; Chashechkin Yu.D. // Izv. Atmos. Ocean. Phys. 2022. V. 58. No. 2. P. 188.
- Chashechkin Y.D. // Axioms. 2021. V. 10. No. 4. P. 286.
Supplementary files






