Умножение частоты в сильноточном релятивистском гиротроне для получения мощного излучения терагерцевого диапазона
- Авторы: Леонтьев А.Н.1, Розенталь Р.М.1,2, Гинзбург Н.С.1, Зотова И.В.1, Малкин А.М.1,2, Сергеев А.С.1
-
Учреждения:
- Федеральное государственное бюджетное учреждение науки “Федеральный исследовательский центр Институт прикладной физики Российской академии наук”
- Федеральное государственное автономное образовательное учреждение высшего образования “Национальный исследовательский Нижегородский государственный университет имени Н.И. Лобачевского”
- Выпуск: Том 87, № 1 (2023)
- Страницы: 56-60
- Раздел: Статьи
- URL: https://journals.rcsi.science/0367-6765/article/view/135247
- DOI: https://doi.org/10.31857/S0367676522700107
- EDN: https://elibrary.ru/JJCLJD
- ID: 135247
Цитировать
Полный текст
Аннотация
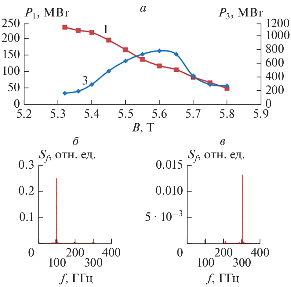
В рамках усредненных уравнений и на основе трехмерного моделирования методом крупных частиц исследован режим умножения частоты в сильноточном релятивистском гиротроне диапазона 0.1 ТГц. Показано, что отношение мощности излучения на третьей гармонике к уровню генерации на основном циклотронном резонансе может составлять 0.4–0.8%, что позволяет рассчитывать на получение излучения в диапазоне 0.3 ТГц субмегаваттного уровня мощности.
Об авторах
А. Н. Леонтьев
Федеральное государственное бюджетное учреждение науки “Федеральный исследовательский центрИнститут прикладной физики Российской академии наук”
Автор, ответственный за переписку.
Email: leontiev@ipfran.ru
Россия, Нижний Новгород
Р. М. Розенталь
Федеральное государственное бюджетное учреждение науки “Федеральный исследовательский центрИнститут прикладной физики Российской академии наук”; Федеральное государственное автономное образовательное учреждение высшего образования
“Национальный исследовательский Нижегородский государственный университет имени Н.И. Лобачевского”
Email: leontiev@ipfran.ru
Россия, Нижний Новгород; Россия, Нижний Новгород
Н. С. Гинзбург
Федеральное государственное бюджетное учреждение науки “Федеральный исследовательский центрИнститут прикладной физики Российской академии наук”
Email: leontiev@ipfran.ru
Россия, Нижний Новгород
И. В. Зотова
Федеральное государственное бюджетное учреждение науки “Федеральный исследовательский центрИнститут прикладной физики Российской академии наук”
Email: leontiev@ipfran.ru
Россия, Нижний Новгород
А. М. Малкин
Федеральное государственное бюджетное учреждение науки “Федеральный исследовательский центрИнститут прикладной физики Российской академии наук”; Федеральное государственное автономное образовательное учреждение высшего образования
“Национальный исследовательский Нижегородский государственный университет имени Н.И. Лобачевского”
Email: leontiev@ipfran.ru
Россия, Нижний Новгород; Россия, Нижний Новгород
А. С. Сергеев
Федеральное государственное бюджетное учреждение науки “Федеральный исследовательский центрИнститут прикладной физики Российской академии наук”
Email: leontiev@ipfran.ru
Россия, Нижний Новгород
Список литературы
- Sabchevski S., Glyavin M., Mitsudo S. et al. // J. Infrared Millim. THz Waves. 2021. V. 42. No. 7. P. 715.
- Thumm M. // J. Infrared Millim. THz Waves. 2020. V. 41. No. 1. P. 1.
- Rozental R.M., Danilov Yu.Yu., Leontyev A.N. et al. // IEEE Trans. Electron Dev. 2022. V. 69. No. 3. P. 1451.
- Завольский Н.А., Нусинович Г.С., Павельев А.Б. // Изв. вузов. Радиофиз. 1988. Т. 31. № 3. С. 361.
- Idehara T., Ogawa I., Shimizu Y., Tatsukawa T. // J. Infrared Millim. THz Waves. 1998. V. 19. P. 803.
- Golubiatnikov G.Yu., Koshelev M.A., Tsvetkov A.I. et al. // IEEE Trans. Terahertz Sci. Tech. 2020. V. 10. No. 5. P. 502.
- Glyavin M., Zotova I., Rozental R. et al // J. Infrared Millim. THz Waves. 2020. V. 41. P. 1245.
- Братман В.Л., Гинзбург Н.С., Нусинович Г.С. и др. // В кн.: Релятивистская высокочастотная электроника. Горький: ИПФАН СССР, 1979. С. 157.
- Dumbrajs O., Saito T., Tatematsu Y., Yamaguchi Y. // Phys. Plasmas. 2016. V. 23. Art. No. 093109.
- Ginzburg N.S., Nusinovich G.S., Zavolsky N.A. // Int. J. Electron. 1986. V. 61. No. 6. P. 881.






