Floquet spectrum of Dirac crystal in the field of pulsed radiation
- Authors: Kryuchkov S.V.1,2, Kukhar E.I.2, Silivanov D.A.2
-
Affiliations:
- Volgograd State Socio-Pedagogical University
- Volgograd State Technical University
- Issue: Vol 87, No 1 (2023)
- Pages: 44-48
- Section: Articles
- URL: https://journals.rcsi.science/0367-6765/article/view/135245
- DOI: https://doi.org/10.31857/S0367676522700089
- EDN: https://elibrary.ru/JIWCBE
- ID: 135245
Cite item
Full Text
Abstract
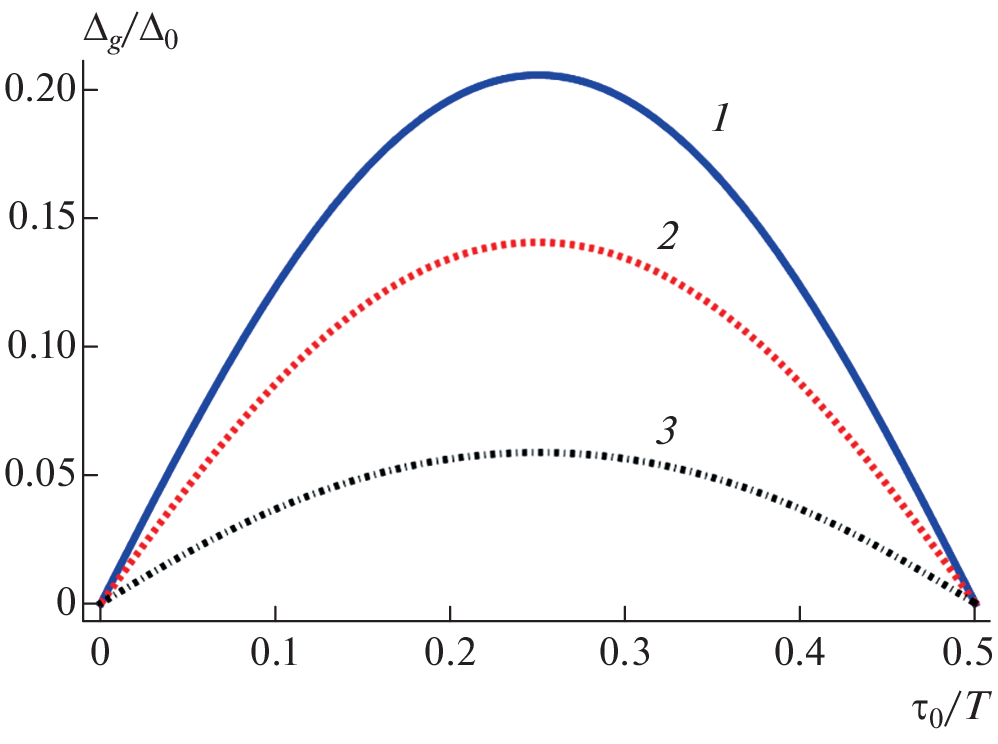
The Floquet spectrum of a Dirac crystal placed in the field of electromagnetic radiation which is the superposition of two waves polarized in perpendicular directions has been calculated. Each of the waves is a sequence of pulses of Gaussian profile. The quasi-energy gap dependence on both duty cycle of the signals and time shift between the signals has been studied.
About the authors
S. V. Kryuchkov
Volgograd State Socio-Pedagogical University; Volgograd State Technical University
Email: eikuhar@yandex.ru
Russia, 400066, Volgograd; Russia, 400005, Volgograd
E. I. Kukhar
Volgograd State Technical University
Author for correspondence.
Email: eikuhar@yandex.ru
Russia, 400005, Volgograd
D. A. Silivanov
Volgograd State Technical University
Email: eikuhar@yandex.ru
Russia, 400005, Volgograd
References
- Khandelwal A., Mani K., Karigerasi M.H. et al. // Mater. Sci. Engin. B. 2017. V. 221. P. 17.
- Zhang L., Hasan M.M., Tang Y. et al. // Mater. Today. 2021. V. 50. P. 442.
- Prasongkit J., Shukla V., Grigoriev A. et al. // Appl. Surf. Sci. 2019. V. 497. Art. No. 143660.
- Datta B., Vaidya J., Ghatak S. et al. // Appl. Phys. Lett. 2021. V. 119. Art. No. 133501.
- Katsnelson M.I., Novoselov K.S., Geim A.K. // Nature Phys. 2006. V. 2. P. 620.
- Katsnelson M.I. // Eur. Phys. J. B. 2006. V. 51. P. 157.
- Young A.F., Kim P. // Nature Phys. 2009. V. 5. P. 222.
- Фирсова Н.Е., Ктиторов С.А. // ФТТ. 2021. Т. 63. № 2. С. 277; Firsova N.E., Ktitorov S.A. // Phys. Solid State. 2021. V. 63. P. 313.
- Cserti J., Dávid G. // Phys. Rev. B. 2006. V. 74. Art. No. 172305.
- Rusin T.M., Zawadzki W. // Phys. Rev. B. 2013. V. 88. Art. No. 235404.
- Белоненко М.Б., Янушкина Н.Н. // ФТТ. 2012. Т. 54. С. 2331; Belonenko M.B., Yanyushkina N.N. // Phys. Solid State. 2012. V. 54. P. 2462.
- Delplace P., Gomez-Leon A., Platero G. // Phys. Rev. B. 2013. V. 88. Art. No. 245422.
- Oka T., Aoki H. // Phys. Rev. B. 2009. V. 79. Art. No. 081406.
- Kibis O.V. // Phys. Rev. B. 2010. V. 81. Art. No. 165433.
- Weber C.P. // J. Appl. Phys. 2021. V. 129. Art. No. 070901.
- Montambaux G., Piéchon F., Fuchs J.-N. et al. // Eur. Phys. J. B. 2009. V. 72. P. 509.
- Kukhar E.I., Kryuchkov S.V. // Physica E. 2021. V. 134. Art. No. 114811.
- Wang Y.H., Steinberg H., Jarillo-Herreroand P. et al. // Science. 2013. V. 342. P. 453.
- Kibis O.V., Morina S., Dini K. et al. // Phys. Rev. B. 2016. V. 93. Art. No. 115420.
- Holthaus M. // Phys. Rev. Lett. 1992. V. 69. P. 351.
- Creffield C.E., Sols F., Ciampini D. et al. // Phys. Rev. A. 2010. V. 82. Art. No. 035601.
- Ma R., Tai M.E., Preiss P.M. et al. // Phys. Rev. Lett. 2011. V. 107. Art. No. 095301.
- Eckardt A., Weiss C., Holthaus M. // Phys. Rev. Lett. 2005. V. 95. Art. No. 260404.
Supplementary files






