On the processes of charging the wall of a discharge tube under external illumination
- Authors: Meshchanov А.V.1, Ionikh Y.Z.1
-
Affiliations:
- St. Petersburg State University
- Issue: Vol 50, No 8 (2024)
- Pages: 936-945
- Section: LOW TEMPERATURE PLASMA
- URL: https://journals.rcsi.science/0367-2921/article/view/280626
- DOI: https://doi.org/10.31857/S0367292124080098
- EDN: https://elibrary.ru/OALVSS
- ID: 280626
Cite item
Full Text
Abstract
The breakdown and discharge ignition in discharge tubes with a diameter of about 1 cm and a length of 80 cm in inert gases (neon, argon, krypton, and xenon) at a pressure of about 1 Torr are studied experimentally. The tube is illuminated by radiation from continuous or pulsed light sources in the visible spectrum range. A ramp voltage with a small slope steepness (of about 50 V/s) is applied to the anode of the tube. Previously, the authors established that under these conditions external illumination can increase the breakdown voltage in several times. This effect was explained by the appearance of a charge on the tube wall as a result of photodesorption of electrons from its inner surface. In this work, it is found that charging the wall begins only when the anode potential approaches the breakdown potential measured without illumination. In addition, it is found that during the increase in the voltage on the anode and charging the wall, the anode potential differs from the breakdown potential by a constant and small value (less than 200 V).
Keywords
Full Text
1. Введение
Освещение разрядной трубки излучением видимого диапазона может заметно влиять на характеристики пробоя в трубке – пробивное напряжение U b и время запаздывания пробоя (см. [1] и приведенные там ссылки). В недавних работах [2–4] обнаружено, что, в зависимости от скорости роста приложенного напряжения dU / dt, потенциал U b при освещении может меняться: как уменьшаться, так и увеличиваться. Первое реализуется при большой скорости роста напряжения, второе – при малой (рис. 1). Согласно [3, 4], исходной причиной в обоих случаях является вызванная освещением фотоэмиссия слабосвязанных электронов, адсорбированных на внутренней поверхности разрядной трубки. Эти электроны попадают под действие поля, существующего между стенкой и анодом. При быстром росте приложенного напряжения они с большой вероятностью оказываются в фазе сильного поля, что приводит к их размножению и формированию электронной лавины, инициирующей волну ионизации (ВИ) и последующее развитие пробоя. В результате уменьшается время запаздывания пробоя, что в условиях фронта импульса конечной длительности снижает пробивной потенциал. При медленном росте напряжения десорбированные электроны бóльшую часть времени находятся в фазе слабого поля, в котором ионизация невозможна. Однако, двигаясь в этом поле, они создают ток, заряжающий стенку области вблизи анода. Разность потенциалов между анодом и стенкой уменьшается, в результате чего для создания ВИ и пробоя требуется повышение анодного напряжения. В работе [3] это наблюдается в ксеноне, а в [4] еще и в неоне, аргоне и криптоне при низких давлениях (~1 Торр) и dU / dt ~ 10–100 В/с. Результаты этих работ привели к заключению, что напряжение пробоя при освещении трубки U b связано с напряжением пробоя без освещения U b 0 соотношением
(1)
где U w – потенциал заряженной стенки. Наличие заряда на стенке вблизи анода подтверждается поведением ВИ: при своем движении от анода к катоду она ускоряется, в противоположность тому, что наблюдается при импульсном пробое с крутым фронтом напряжения [1, 4].
Рис. 1. Зависимость потенциала пробоя от скорости роста анодного напряжения в темноте (1) и при освещении трубки люминесцентными лампами (2) [3].
За рамками обсуждения в работах [3, 4] остался вопрос о том, каким образом развивается во времени процесс зарядки стенки после начала роста потенциала анода. Эксперименты [4] с освещением трубки импульсными источниками света показали лишь, что повышение пробивного потенциала при освещении наблюдается только если световые импульсы начинаются не позднее или закачиваются не ранее, чем анодное напряжение достигает значения U b 0. В данной работе проводятся исследования, которые позволяют ответить на поставленный выше вопрос, а также уточнить механизм зарядки стенки при фотодесорбции электронов.
2. Эксперимент
Измерения проводились на установке, описанной в работах [3, 4]. Использовались отпаянные разрядные трубки внутренним диаметром 8–13 мм и длиной 75–80 см. Трубки наполнялись инертным газом (Ne, Ar, Kr, Xe); исходная чистота газов была 99.99%, перед наполнением трубки проводилась их доочистка молекулярными ситами. К аноду трубки прикладывали линейно растущее напряжение U 1 (t) крутизной dU / dt = 40–50 В/с (прямая CD на рис. 2). При такой крутизне, согласно данным [3, 4], наблюдается сильное увеличение напряжения пробоя при освещении трубки. Потенциал U 1 (t), однако, обрывали раньше, чем происходил пробой, при некотором значении U A (точка D на рис. 2), но одновременно на анод подавали импульс длительностью 10 мс и фронтом U 2 (t) большой крутизны – 7×10 5 В/с (прямая DE). Этот импульс уже приводил к пробою, причем фронт такой крутизны обеспечивает наименьшее напряжение пробоя U b = U b m (минимум на кривой зависимости U b от dU / dt [3, 4], рис. 1). Кроме того, при такой величине dU / dt влияние освещения трубки на потенциал пробоя тоже минимально, или отсутствует совсем [3, 4], т.е. U b m = U b 0. Потенциал U 2 возрастал до тех пор, пока не происходил пробой (точка E), из-за чего напряжение падало до уровня FG – напряжения горения разряда. Эта процедура, таким образом, позволяла измерить напряжение пробоя в условиях, когда стенка предварительно заряжена одновременным воздействием освещения и анодного напряжения U A.
Рис. 2. Пример эпюры анодного напряжения (для наглядности промежуток DE FG растянут).
Для облучения трубки использовались люминесцентные лампы общего лабораторного освещения плюс люминесцентная 30-ваттная лампа, установленная вдоль трубки на расстоянии 0.5 м. Применялись также импульсные источники: светодиод, излучающий в полосе 395 –410 нм, и диодный лазер (λ = 405 нм). Все приведенные ниже результаты, даже если это не оговорено специально, получены в условиях освещения трубки.
3. Результаты и обсуждение
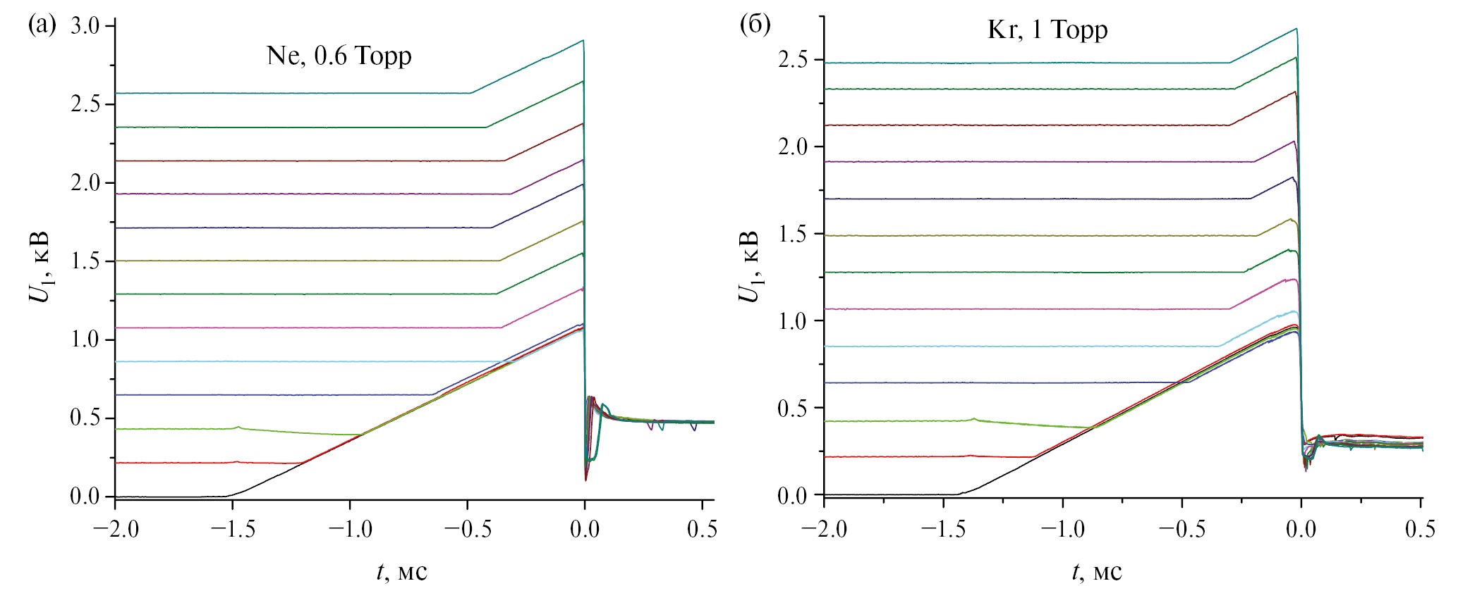
На рис. 3 представлены осциллограммы анодного напряжения для двух газов – неона и криптона. Регистрировался короткий промежуток времени вблизи момента пробоя. На таком промежутке отрезок осциллограммы, отвечающий наклонной прямой CD рисунка 2, выглядит горизонтальным. Самая нижняя траектория соответствует случаю, когда напряжени е U 1 (t) отсутствовало, то есть при U А = 0. Остальные осциллограммы отвечают разной задержке t 0 импульса U 2 относительно начала роста U 1 (t), о т 5 до 60 с, что соответствует значениям U А ≈ 200 ÷ ÷ 2500 В. Видно, что потенциал U 1 влияет на напряжение пробоя, но только если U А превышает некоторое критическое значение ; последнее близко к потенциалу пробоя без освещения U b 0 [4]. При меньших U А наличие потенциала U 1 не меняет потенциал пробоя или меняет незначительно.
Рис. 3. Осциллограммы анодного напряжения при подаче на анод последовательности двух импульсов с линейно растущим фронтом крутизной 43.5 В/с и 7.2∙10 5 В/с и при освещении люминесцентными лампами. Значение t = 0 отвечает моменту пробоя.
На рис. 4 представлены результаты обработки осциллограмм рисунка 3, а также аналогичных данных для других газов. На оси абсцисс приведены значения анодного потенциала U A, по оси ординат отложены значения потенциала пробоя (точка Е на рис. 2). Во всех случаях проявляется та же закономерность, что и на рис. 3. Для значений U А, не превышающих некоторой величины, пробивное напряжение остается тем же, что и при U A = 0. При превышении этой величины напряжение пробоя начинает расти. На рис. 4в показан также результат применения альтернативного метода измерения потенциала пробоя U b. В этом случае в момент времени t 0 прикладывался импульс не с линейно растущим фронтом, а прямоугольный. Его амплитуда подбиралась такой, чтобы при минимальном ее значении происходил пробой. Видно, что оба метода дают близкие результаты.
Рис. 4. Зависимость напряжения пробоя от потенциала анода в различных газах. На рис. 4а приведены также значения поверхностного заряда стенки, на рис. 4в RP – пробой прямоугольным импульсом. Скорость роста анодного напряжения dU 1 / dt = 37–48 В/с, освещение люминесцентными лампами.
При U b > U b 0 зависимость U b от U A линейная, причем с угловым коэффициентом, близким к единице (от 0.99 до 1.05), и может быть описана соотношением
(2)
где константа u лежит в диапазоне 130–200 В, в зависимости от рода газа. Физический смысл величины u будет прояснен ниже.
Таким образом, наличие медленно растущего потенциала U 1 влияет на напряжение пробоя только если в момент t 0 старта пробивного импульса U 2 величина U 1 (t 0) = U A превышает значение, близк ое к потенциалу пробоя без освещения U b 0. Как указывалось во Введении, в предыдущих работах [3, 4] было предложено объяснение роста потенциала пробоя при освещении трубки в случае медленно растущего напряжения. Оно заключалось в том, что под действием освещения происходит фотоэмиссия слабосвязанных электронов, адсорбированных на внутренней поверхности трубки. Десорбированные электроны, двигаясь в поле высоковольтного анода, создают ток, заряжающий стенку и повышающий ее потенциал. Это приводит к росту потенциала анода, необходимого для генерации ВИ, которая обеспечивает дальнейшее развитие пробоя, то есть к увеличению напряжения пробоя. Из результатов измерений, проведенных в данной работе, следует, что процесс зарядки освещенной стенки происходит не в течение всего времени, когда потенциал приложен к аноду; он начинается только после того, как этот потенциал достигает определенного критического значения, близкого к U b 0. При этом из равенства (2) следует, что после того, как потенциал анода превысил U b 0, он поддерживается на уровне, меньшем U b на сравнительно небольшую величину u < 200 В.
Это подтверждают дополнительные эксперименты, результаты которых представлены на рис. 5 и 6. Они иллюстрируют влияние на напряжение пробоя импульсного освещения. На первом из них световой импульс варьируемой длительности τ начинается в момент начала роста анодного напряжения. Видно, что U b остается неизменным и близким к U b 0 вплоть до значения τ = τ с ≈ 13 с. Осциллограмма анодного напряжения U (t), изображенная на врезке, показывает, что при t = τ с напряжение становится равным или близким к U b 0. И только с этого момента начинается рост пробивного напряжения. П рименительно к концепции зарядки стенки это означает, что при U (t) < U b 0 зарядка не происходит, несмотря на наличие освещения и электрического поля между анодом и стенкой. На рис. 6 варьируется запаздывание Δ t переднего фронта светового импульса по отношению к началу роста анодного напряжения. Импульс заканчивается значительно позже, уже после того, как произошел пробой. Видно, что пробивное напряжение значительно превышает U b 0 во всем интервале изменения Δ t и падает до U b 0 при значении Δ t > Δ t с ≈ 25 с. Осциллограмма анодного напряжения на врезке показывает, что при t = Δ t с значение U (t) ≈ U b 0. Таким образом, если световой импульс начинается позднее, чем анодное напряжение достигло U b 0 – пробивного значения в отсутствие освещения, то пробой произойдет именно при U b 0, и освещение не играет роли. Такой результат кажется вполне очевидным безотносительно к механизму влияния облучения. Интереснее другая закономерность – то, что U b остается постоянным на всем промежутке Δ t от 0 до Δ t с. Другими словами, воздействие освещения не зависит от длительности такого воздействия. Это, как и в предыдущем случае, согласуется с предположением о том, что зарядка стенки происходит в самом конце светового импульса, когда анодное напряжение достигает значения, близкого к U b 0. При меньшем напряжении зарядка не происходит, несмотря на наличие освещения и электрического поля между анодом и стенкой.
Рис. 5. Зависимость пробивного напряжения от длительности светового импульса. Передний фронт импульса совпадает с моментом начала роста анодного напряжения. На врезке – зависимость анодного напряжения от времени. Источник освещения – диодный лазер.
Рис. 6. Зависимость напряжения пробоя от длительности задержки переднего фронта светового импульса относительно начала роста анодного напряжения. Импульс заканчивается позднее пробоя и зажигания разряда. На врезке показана зависимость анодного напряжения от времени. Освещение светодиодом
С другой стороны, очевидно, что процесс зарядки стенки занимает какое-то конечное время. Для оценки этого времени был проведен следующий эксперимент. Линейно растущее анодное напряжение начиналось не с нулевого, а некоторого конечного значения U 0. На рис. 7 показаны осциллограммы этого напряжения с различными U 0 для пробоя в аргоне. Для других газов картина аналогична. Точка t = 0 («аппаратный нуль») отвечает моменту запуска схемы формирования линейного напряжения. Осциллограммы с U 0 > 0 сдвинуты по горизонтали таким образом, чтобы совместить моменты пробоя. При этом оказывается, как видно из рисунка, что напряжение пробоя для всех значений U 0 одинаковое, несмотря на то, что длительность процесса зарядки стенки до момента, когда U = U b 0, для них разная. Это опять согласуется с тем, что зарядка происходит тогда, когда анодное напряжение достигает значения, близкого к U b 0. Отметим, что для всех приведенных осциллограмм U 0 < U b 0. Рис унки 8а,б показывают область, где U 0 ≈ U b 0, более детально. На обоих графиках две первые осциллограммы смещены для наглядности вверх. Для них, аналогично рис. 7, U 0 < U b 0. Их верхние, почти горизонтальные, отрезки есть, очевидно, начальные участки наклонных прямых рис. 7. Таким образом, они соответствуют ситуации, когда стенка заряжается и поэтому пробой при U = U b 0 не происходит. Две другие осциллограммы соответствуют обратному неравенству, U 0 > U b 0, в этом случае стенка в момент скачка потенциала не заряжена, и тогда пробой происходит на его переднем фронте. Короткий зашумленный отрезок отвечает протеканию разрядного тока (длительность разрядного импульса 10 мс). Переход от одной картины к другой происходит за время, не превышающее 0.1 с. Таким образом, этого интервала достаточно, чтобы стенка зарядилась до потенциала, при котором пробой при U = U b 0 произойти не может.
Рис. 7. Временнáя зависимость потенциала анода при наличии начального скачка.
Рис. 8. Временнáя зависимость потенциала анода при наличии начального скачка в укрупненном масштабе.
Рассмотрим подробнее случай, когда U 0 < U b 0. Можно предложить следующий сценарий происходящего в этом случае. Поскольку время зарядки стенки не превышает 0.1 с, в масштабе времени рис. 7 она происходит мгновенно, и в точке, где U = U b 0, потенциал стенки U w меняется скачком на некоторую величину u (рис. 9). Так как стенка становится заряженной, пробой в этот момент не происходит, потенциал U продолжает расти, что приводит к дальнейшему заряду стенки, поддерживающему постоянную разность между ее потенциалом и потенциалом анода:
(3)
Этот процесс происходит до тех пор, пока заряд стенки не достигнет насыщения [3, 4]. После этого потенциал анода возрастает еще немного, до уровня, когда U – U w = U b 0, и в этот момент, согласно (1), происходит пробой.
Рис. 9. Эпюры анодного потенциала и (предположительно) потенциала стенки.
Если пробой, на фоне медленного роста анодного напряжения, в точке, где U = U A, инициируется скачком напряжения, как это описано в начале раздела (рис. 2, 3), то из (1) и (3) получается
то есть соотношение (2). Тем самым проясняется физический смысл величины u, полученной ранее при обработке результатов рис. 4: u – это скачок по тенциала стенки, возникающий при приближении потенциала анода к значению U b 0.
Поверхностный заряд стенки может влиять на прохождение предпробойной волны ионизации (ВИ). Согласно модели Недоспасова [5], движение волны контролируется локальным пробоем между фронтом волны и стенкой. Наличие заряда на стенке меняет разность потенциалов между ними. Если она уменьшается при движении волны, то волна замедляется и ослабевает, вплоть до полного затухания. Это наблюдалось в работах [3, 4], где к аноду трубки было приложено линейно растущее напряжение, а когда потенциал анода достигал некоторого значения (ниже пробивной величины U b 0), на катод подавался положительный импульс прямоугольной формы. Этот импульс генерировал положительную волну ионизации, двигавшуюся к аноду. Волна при приближении к аноду попадала в область одноименно заряженной стенки, из-за чего при своем движении теряла скорость и тем сильнее, чем выше был потенциал анода U. Начиная с некоторых значений U, волна затухала, не достигнув анода. Это подтверждало существование стеночного заряда
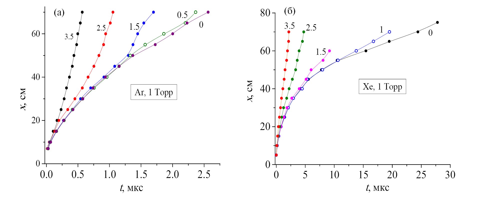
В данной работе был проведен подобный эксперимент, только на катод трубки подавался отрицательный прямоугольный импульс длительностью 10 мс. Этот импульс также генерировал волну ионизации, двигавшуюся к аноду. Волна регистрировалась с помощью емкостного зонда, перемещавшегося вдоль трубки [4]. Рис. 10 а иллюстрирует ее движение в ситуации, когда потенциал анода равен нулю (U = 0). Выходной сигнал зонда ослабевает по мере удаления от катода, как это обычно и происходит [1]. В момент прихода ВИ на анод происходит пробой. На рис. 10б потенциал анода отличен от нуля. Видно сильное изменение характера движения волны: она заметно ускоряется (время пробега длины трубки уменьшается), а изменение амплитуды сигнала становится немонотонным.
Рис. 10. Сигналы емкостного зонда при регистрации волны ионизации, инициированной приложенным к катоду импульсом отрицательной полярности амплитудой –1.5 кВ. Потенциал анода равен 0 (а) и +3.5 кВ (б). Цифры у кривых – расстояние от катода в сантиметрах.
На рис. 11 представлены результаты обработки данных рисунков 10 и подобных графиков – зависимость длины пробега ВИ от времени (xt - диаграммы) для различных значений U. Обращает на себя внимание то, что эти кривые заметно меняются только начиная с достаточно больших значений U, а именно с таких, которые близки к потенциалу U b 0. Причина искажения xt -диаграмм при подаче потенциала на анод может быть объяснена следующим. Здесь, в отличие от предыдущего случая, от катода движется отрицательная ВИ, и, оказываясь в области положительно заряженной стенки, она усиливается и ускоряется. Эффект проявляется тем сильнее, чем выше потенциал анода, так как при этом увеличивается заряд стенки. А тот факт, что это наблюдается только для U > U b 0, подтверждает, что при более низком анодном потенциале зарядки стенки не происходит.
Рис. 11. xt -диаграммы волны ионизации, инициированной приложенным к катоду импульсом отрицательной полярности амплитудой –1.5 кВ, при различных значениях потенциала анода (указаны цифрами у кривых).
Если исходить из того, что рост напряжения пробоя при потенциалах анода, превышающих U b 0, связан с зарядом стенки, можно оценить среднюю по длине трубки величину этого заряда, накопленную к моменту пробоя
где С – емкость трубки. Согласно измерениям и оценкам [6, 7], у разрядных трубок, аналогичных использованным в данной работе, С ≈ 15 пФ. Полученные значения Q для одной из них показаны на графике рис. 4а. Близкие величины получатся, очевидно, и для других трубок. Уточним, что речь идет об усредненном по длине трубки значении. На самом деле плотность заряда, очевидно, максимальна вблизи анода и спадает при удалении от него.
Полученные в данной работе результаты, таким образом, свидетельствуют о том, что механизм зарядки освещенной стенки, описанный в [3, 4], должен быть уточнен. А именно, заметная зарядка начинается не сразу с момента приложения потенциала к аноду, а только при достижении анодом достаточно высокого потенциала, близкого к U b 0. Для объяснения этого факта можно предположить, что квантовый выход фотодесорбции электронов γ des настолько мал, что сам по себе фотоэмиссионный ток не приводит к заметной зарядке стенки. В [3] приводится оценка величины γ des, необходимой для того, чтобы в условиях, аналогичных условиям данной работы, освещение увеличивало напряжение пробоя на 1 кВ : γ des ≈ ≈ 10 –6. Но эта оценка получена в предположении, что зарядка стенки происходит в течение всего интервала роста потенциала анода, то есть является средней по этому интервалу. Если значение γ des на самом деле хотя бы на 1–2 порядка меньше, то заряд стенки оказывается слишком мал, чтобы вызвать заметный рост пробивного напряжения. Однако при этом с ростом потенциала анода становится заметной ионизация в промежутке между стенкой и анодом (ионизационное усиление). Эффективность этого процесса зависит от приведенной напряженности электрического поля E / p. При зазоре между анодом и стенкой 1 см, давлении 1 Торр и напряжении 1 кВ получается E / p = 10 3 В/(см∙Торр). Ионизационный коэффициент Таунсенда η для инертных газов в этом случае ≈ 10 –2 В –1 (см. [8], табл. 2.1), что дает увеличение фотоэмиссионного тока на три порядка. Поскольку зависимость η от E / p очень резкая, максимальный ток на анод получается при наибольшем напряжении U ≈ U b 0. Стенка при таком сценарии заряжается в основном в результате дрейфа на нее ионов из области вблизи анода. Очевидно, что приведенное объяснение является чисто качественным и лишь одним из возможных.
4. Заключение
В предыдущих работах авторов [3, 4] было обнаружено, что при достаточно медленном росте потенциала анода разрядной трубки (~10–100 В/с) напряжение пробоя U b в инертных газах может существенно возрасти, если прианодная область трубки освещается излучением видимого диапазона.
В качестве механизма этого эффекта предлагается вызванная освещением фотоэмиссия слабосвязанных электронов, адсорбированных на внутренней поверхности разрядной трубки. Эти электроны под действием электрического поля между стенкой и анодом создают ток, заряжающий стенку вблизи анода. Разность потенциалов между анодом и стенкой уменьшается, в результате чего для создания предпробойной волны ионизации и пробоя требуется более высокое анодное напряжение. В данной работе этот эффект изучается в тех же газах – Ne, Ar, Кr, Xe и смеси Ne-Ar.
Схема питания разряда позволяла измерять напряжение пробоя в условиях, когда стенка предварительно заряжена до определенного потенциала.
Проведенные исследования уточняют описанный выше механизм. Выяснено, что зарядка стенки трубки начинается не от момента начала роста анодного напряжения, а только когда оно приближается к напряжению пробоя, измеренному в отсутствие освещения (U b 0). При этом внутренняя поверхность стенки за время, не превышающее 0.1 с, приобретает потенциал 130–200 В. В результате в момент, когда потенциал анода становится равным U b 0, пробой освещаемой трубки не происходит. При дальнейшем росте напряжения разность потенциалов между анодом и стенкой сохраняется вплоть до достижения анодом потенциала пробоя, существенно превышающего U b 0. Вывод о том, что зарядка стенки трубки начинается только когда потенциал анода приближается к U b 0, подтверждается экспериментами с импульсным освещением трубки, а также наблюдением движения волны ионизации, инициируемой дополнительным импульсом, подаваемым на катод до пробоя при заданном анодном напряжении.
About the authors
А. V. Meshchanov
St. Petersburg State University
Author for correspondence.
Email: y.ionikh@spbu.ru
Russian Federation, St. Petersburg
Yu. Z. Ionikh
St. Petersburg State University
Email: y.ionikh@spbu.ru
Russian Federation, St. Petersburg
References
- Ионих Ю.З. // Физика плазмы. 2020. Т. 46. С. 928.
- Meshchanov A.V., Shishpanov A.I, Bazhin P.S., Ionikh Y.Z. // Plasma Sources Sci. Technol. 2022. V. 31.114010.
- Мещанов А. В., Дьячков С. А., Ионих Ю. З. // Физика плазмы. 2023. Т. 49. С. 924.
- Meshchanov A.V., Shishpanov A.I., Ionikh Y.Z. // J. Phys. D: Appl. Phys. 2024. V. 57. 015204.
- Недоспасов А. В., Новик А. Е. // ЖТФ. 1960. Т. 30. С. 1329.
- Калинин С.А., Капитонова М.А., Матвеев Р.М. и др. // Физика плазмы. 2018. T. 44. C. 870.
- Мещанов А.В., Ионих Ю.З., Акишев Ю.С. // Физика плазмы. 2020. Т. 46. С. 1043
- Грановский В.Л. Электрический ток в газе. Установившейся ток. М.: Наука, 1971.
Supplementary files














