Studying of Filamentation Mechanism for Nanosecond Surface Dielectric Barrier Discharge. Part 1. Local Field Approximation
- Authors: Solovyov V.R.1, Lisitsyn D.A.1, Karavaeva N.I.1
- 
							Affiliations: 
							- Moscow Institute of Physics and Technology
 
- Issue: Vol 50, No 1 (2024)
- Pages: 122-133
- Section: LOW TEMPERATURE PLASMA
- URL: https://journals.rcsi.science/0367-2921/article/view/261005
- DOI: https://doi.org/10.31857/S0367292124010113
- EDN: https://elibrary.ru/SJGRUZ
- ID: 261005
Cite item
Full Text
Abstract
The goal of this work is to check numerically whether or not the previously proposed mechanism for surface barrier discharge filamentation in nitrogen in the case of positive polarity nanosecond voltage pulse is applicable for similar process in nitrogen and air in the case of negative voltage polarity pulse. The results have shown, that in this case some signs of successful filamentation modeling are present both in nitrogen and air, but the whole dynamics of discharge development is qualitatively different from that one observed in experiment. It is assumed, that the failure of simulation is due to the usage of local field approximation, which is too rough inside a region with steep electron density gradient relevant to filamentation zone.
Full Text
- ВВЕДЕНИЕ
Численному моделированию развития поверхностного барьерного разряда, возбуждаемого импульсом напряжения длительностью 20–50 нс, называемого наносекундным поверхностным барьерным разрядом (ПБР), по-прежнему уделяется много внимания [1–5] не только из-за его потенциального применения в аэродинамических приложениях [2, 6, 7] и задачах инициации/стабилизации горения [8, 9], но и в силу необъясненного пока эффекта филаментации [10–14], который кардинально меняет свойства этого разряда и возможности его практического применения в названных областях.
Открытый в эксперименте [10] эффект филаментации заключается в том, что при достаточно высоких амплитудах импульса напряжения и плотностях газа (азота или воздуха) хорошо известная квазиоднородная стримерная фаза развития разряда за несколько наносекунд сменяется фазой филаментарной, когда вместо набора близко расположенных стримеров появляются более яркие четко выраженные каналы-филаменты, между которыми расстояние приблизительно на порядок больше, чем между стримерами.
Исследование свойств этих филаментов [11–14] показало, что концентрация электронов в них на 2–3 порядка больше, чем в стримере, и приближается к значению локального термодинамического равновесия, а энерговыделение также резко возрастает. При этом на начальном этапе формирования филамента газовая температура внутри него остается почти неизменной, т.е. близкой к 300 K.
В работе [15] была предпринята попытка объяснить явление филаментации в случае импульса напряжения положительной полярности, когда между стримером и поверхностью диэлектрика существует зазор [1, 16]. Было показано: действительно, с повышением плотности газа (азота или воздуха) и увеличением амплитуды импульса напряжения на обращенной к диэлектрику границе стримера за счет дополнительной ступенчатой ионизации возбужденных состояний молекулы N2 может развиваться тонкий слой с нарастающей во времени плотностью плазмы. Концентрация электронов и ионов в этом слое повышается приблизительно на два порядка по сравнению с исходной концентрацией плазмы в канале стримера. То есть по свойствам эта структура похожа на наблюдаемый в экспериментах филамент.
В данной работе представлены результаты применения разработанной ранее [15] и модифицированной модели для случая возбуждения ПБР импульсом напряжения отрицательной полярности, чтобы проверить, работает ли предложенный механизм и в случае импульса напряжения отрицательной полярности, когда область разрядной плазмы не отделена от поверхности диэлектрика четко выраженным зазором и разряд стелется по поверхности диэлектрика [1, 16, 17].
Моделирование, как и в работе [15], ведется в приближении локального поля, когда константы всех неупругих процессов с участием электронов считаются функциями локального значения приведенного электрического поля E/N (E — напряженность электрического поля, N — плотность газа) и определяются из решения уравнения Больцмана для функции распределения электронов по энергиям.
ОПИСАНИЕ ИСХОДНОЙ МОДЕЛИ
Схема реализации ПБР представлена на рис. 1. Задача решается в 2D-приближении в предположении постоянства параметров вдоль оси Z.
Рис. 1. Схема реализации поверхностного барьерного разряда
Используемая модель представляет собой решение уравнений переноса электронов и ионов в 2D-дрейфово-диффузионном приближении:
(1)
и уравнения Пуассона для потенциала φ самосогласованного электрического поля E
, (2)
где ni и nni есть концентрации положительных и отрицательных ионов, а ne — концентрация электронов. Потоки Jk заряженных частиц есть
, (3)
, (4)
где K и D — подвижность и коэффициент диффузии.
В случае азота из-за быстрой конверсии иона в ион предполагается, что положительные ионы представлены только ионами , а в случае воздуха из-за быстрой перезарядки молекулярных ионов азота на молекулах кислорода c последующей конверсией — ионами .
Отрицательные ионы представлены атомарными ионами O–, получающимися в ходе диссоциативного прилипания электрона к молекуле O2, и молекулярными ионами , возникающими в процессе трехтельного прилипания электрона к молекуле O2. Подробное описание модели представлено в работах [1, 16, 18].
Выражения для источников Sk и стоков Rk в уравнении (1) описывают ионизацию электронным ударом молекул N2 и O2 из основного состояния, диссоциативную рекомбинацию молекулярного иона и электрона с константой скорости рекомбинации kdr и оба вида прилипания электронов c константами скорости kat1 и kat2:
, (5)
, (6)
. (7)
Здесь N — концентрация газа в целом, α — содержание кислорода в смеси.
Источник фотоионизации Sph в уравнении (5) описывает ионизацию молекул O2 УФ-излучением возбужденных молекул N2() в полосе 98.0–102.5 нм, которое генерируется в зоне разряда. Согласно выводам работы [19], для успешного развития стримера в “чистом” N2 достаточно 10-4% примеси O2, поэтому при моделировании развития разряда в “чистом” N2 мы полагали α = 0.001. Такая примесь O2 практически не влияет на кинетику, но является достаточной для моделирования примеси O2, обеспечивающей источник фотоионизации.
Вычисление источника Sph базируется на модели, предложенной в работе [20], и реализуется решением уравнения переноса УФ-излучения в приближении лучистой теплопроводности [1]. Максимум этого источника находится в области фронта стримера, но его наличие существенно и для периферии разряда.
Кинетика возбужденных состояний молекулы азота N2(), N2(), N2() и блока синглетных состояний Н с энергией возбуждения около 13 эВ N2(), которые мы будем обозначать, как состояния A, B, C и Н соответственно, описывается уравнениями баланса без учета пространственного переноса:
. (8)
В табл. 1 представлены учитываемые процессы с участием возбужденных состояний молекулы N2. Для процессов А14–A16 указаны константы процессов девозбуждения уровней и обратного ему возбуждения электронным ударом. Температура электронов Te и константы скорости процессов с участием высокоэнергетичных электронов, как функции E/N, вычислялись на основе численного решения уравнения Больцмана для функции распределения электронов по энергиям [21].
Таблица 1. Константы скоростей процессов
| Процесс | Константа скорости, cм3/с | Ссылка | 
| А1 e + N2 → N2(A) + e | 10–8.4–14/γ | [21] | 
| А2 e + N2 → N2(B) + e | 10–8.2–14.8/γ | |
| А3 e + N2 → N2(C) + e | 10–7.8–25/g | |
| A4 e + N2 → N2(H) + e | 10–7.9–36/g | |
| A5 e + N2 → N2(a¢) + e | 10–8.8–16.7/g + 10–8.5–17.4/g + 10–8.7–17.5/γ | |
| A6 N2(A) + O2 → N2(X) + 2O | 1.7 · 10–12 | [22] | 
| A7 N2(A) + O2 → N2(X) + O2 | 7.5 · 10–13 | |
| A8 N2(B) + O2 → N2(X) + 2O | 3 · 10–10 | |
| A9 N2(B) + N2 → N2(A) + N2 | 1 · 10–11 | |
| A10 N2(C, H) + O2 → N2(X) + 2O | 3 · 10–10 | [22]* | 
| A11 N2(C, H) + N2 → N2 + N2 | 1 · 10–11 | |
| A12 N2(C) → N2(B) + ħω | 3 · 107 c–1 | [22] | 
| A13 N2(C) + e → N(S) + N(S) + e | 5.4 · 10–7–9.6/g | [23] | 
| А14 N2(C) + e N2(B) + e | 10–7, 10–7 · exp(–3.68/Te(эВ)) | [24] | 
| А15 N2(B) + e N2(A) + e | 10–7, 5 · 10–7 · exp(–١.١٨/Te(эВ)) | |
| А16 N2(H) + e N2(a′) + e | 10–7, 1.6 · 10–7 · exp(–4.46/Te(эВ)) | |
| А17 N2(A) + e → + 2e | 10–8.2–21.1/γ | [21] | 
| А18 N2(C, H) + e → + 2e | 10–6.82–10/γ | |
| А19 N2(A) + N2(A) → N2(C) + N2(X) | 1.5 · 10–10 | [22] | 
| A20 N2(H) → N2(S) + N(D) | 0.5 · 1010 c–1 | [25] | 
| A21 N2(C) + e → + e → + 2e | ? | |
| A22 N2(H) + e → + e → + 2e | ? | |
| A23 e + O4+ → O2 + O2 | [22] | |
| A24 e + → N2 + N2 | 
* Данные для Н-состояния взяты по аналогии с С-состоянием; γ = E/N/(10–16 В ⋅ cм2).
Построенная по результатам работы [21] аппроксимация численного решения для Te имеет вид
(9)
а подвижности электронов –
. (10)
Здесь Te и температура газа Ta, выражены в эВ; γ = E/N/(10–16 В cм2) — безразмерная величина приведенного электрического поля E/N, N0 — плотность газа при нормальных условиях.
В развитие модели работы [15], ранее разработанной для анализа процесса филаментации ПБР при положительной полярности импульса напряжения, к учитываемым возбужденным состояниям молекулы N2 добавлен трек синглетных состояний а′ и Н. Весь набор состояний и переходов между ними показан на рис. 2, а константы скоростей реакций для чистого азота — в табл. 1 [21–25]. В случае воздуха константы скоростей реакций с участием электронов вычислялись аналогично по функции распределения электронов по энергиям в воздухе [21], отличие от констант в чистом азоте не превышает 10–15%.
Рис. 2. Схема учитываемых процессов
Для вычисления констант ступенчатой ионизации из состояний С и Н по каскадам триплетных и синглетных термов (соответственно процессы А21 и А22) использовалось аналитическое выражение [26]
, (11)
где β — множитель, зависящий от структуры термов атома/молекулы; m, e — масса и заряд электрона, gi = 2, g* — статистические веса иона N2+ и возбужденного состояния, из которого рассматривается ионизация, — постоянная Планка, I* — потенциал ионизации возбужденного состояния (I* = 4.55 эВ, g* = 18 для состояния С и I* = 2.58 эВ, g* = 8 — для Н).
В нашей работе было принято фактически максимальное значение β = 0.77, которое получается, если при расчете константы ступенчатой ионизации/рекомбинации использовать наиболее точные значения сечений перехода между сильно возбужденными состояниями атома, вычисленными методом Монте-Карло [26].
В диапазоне изменения E/N от 100 до 1000 Тд температура электронов Te растет, а константа ступенчатой ионизации (A22) падает от 10–6 до 3 · 10–8 см3/с. Рост константы ступенчатой ионизации с понижением температуры обусловлен многоступенчатостью этого процесса, реализованного в переходах электрона по близко лежащим связанным состояниям — диффузии в пространстве энергии. В силу этого экспоненциальный фактор активационного барьера имеет меньшее значение, чем константы переходов между возбужденными состояниями, растущие с понижением энергии электронов и формирующие предэкспоненциальный фактор в формуле (11).
2.1. Коррекция констант скоростей неупругих процессов
Уравнение для энергии единицы объема электронного газа имеет вид [27]
, (12)
, (13)
где — средняя энергия электрона, а λε — коэффициент электронной теплопроводности.
В правой части уравнения первый член описывает набор энергии электроном в электрическом поле, второй и третий — потери на неупругие и упругие столкновения, соответственно; Ik* — энергетический порог процесса k, а kk() — константа скорости этого процесса.
В условиях, характерных для ПБР приведенных полей E/N > 100 Тд (1Тд = 10–17 В⋅cм2) упругие потери neWel и потери на возбуждение колебательных состояний пренебрежимо малы, и основными потерями являются потери на ионизацию и возбуждение электронных состояний молекул газа [21].
В приближении локального поля, используемом практически всеми исследователями, и в частности в данной работе, левая часть уравнения (12) предполагается равной нулю, и коррекция решения на случай пространственно неоднородного распределения электронов сводится к учету диффузионного потока в процессе набора электроном энергии в электрическом поле. Уравнение (12) принимало вид
(14)
или, после подстановки выражения (3) для потока электронов,
. (15)
При решении уравнения Больцмана для нахождения набора констант фактически реализовывалось соотношение
. (16)
Разделив уравнение (15) на уравнение (16), получим
. (17)
Соотношение (17) позволяет сделать оценочную коррекцию на константы неупругих процессов kkB(E/N), вычисленные решением уравнения Больцмана
. (18)
Скорректированные константы по-прежнему вычисляются в приближении локального поля, поскольку средняя энергия и температура электронов являются однозначной функцией E/N по соотношению (9).
В задачах моделирования развития ПБР эта процедура, примененная к коррекции константы ионизации, позволяет стабилизировать расчет и устранить развитие численных неустойчивостей при контакте разрядной плазмы с поверхностью диэлектрика [16]. Неявно этот подход был реализован и в работах Бефа [28] путем задания в уравнении переноса электронов (1) источника ионизации не в виде , а через поток электронов в виде .
Коррекция ионизации с помощью соотношения (18) позволяет успешно моделировать общую картину развития ПБР и получать результаты, близкие к экспериментальным данным по скорости и длине развития разряда, что подтверждается всеми ранее проведенными расчетами в приближении локального поля.
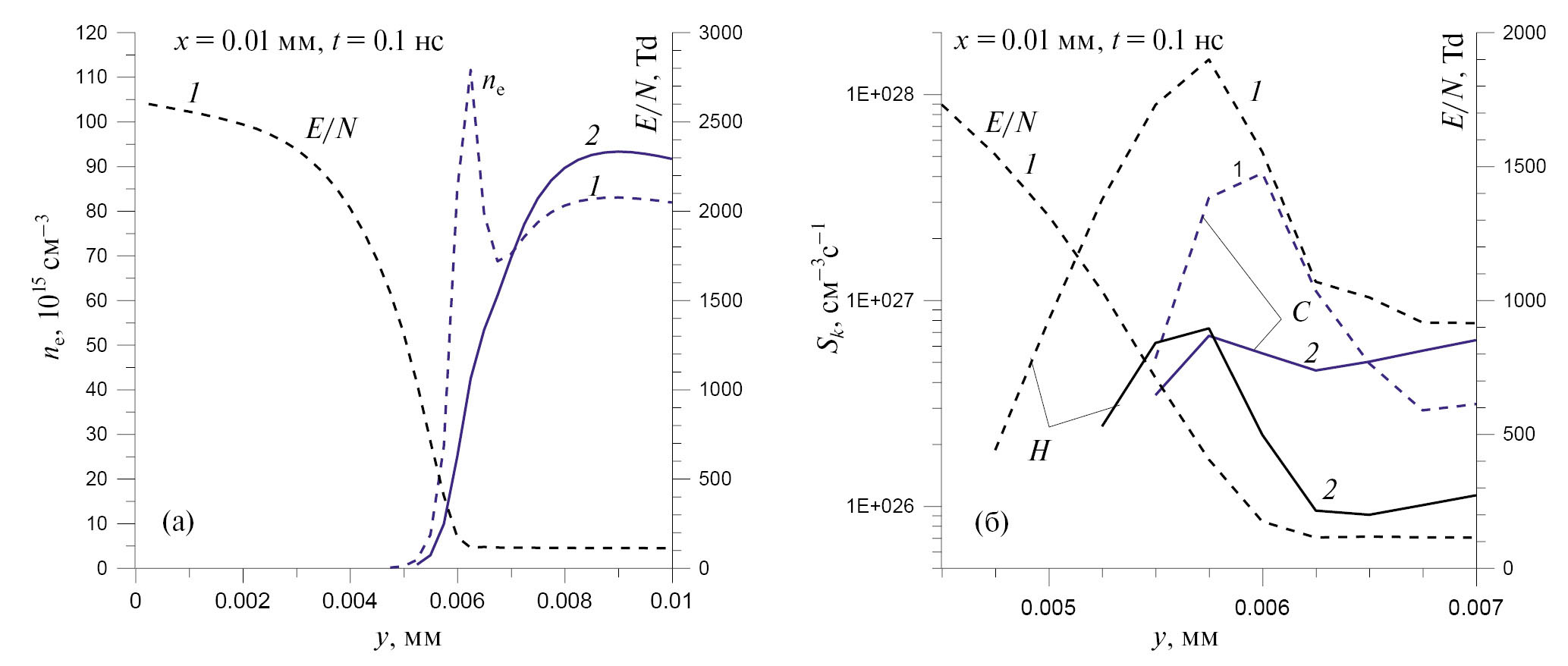
В работе [15] коррекция (18) применялась только к процессу ионизации электронным ударом, на константы возбуждения состояний N2 эта процедура не распространялась, и это было существенным недостатком. Для рассмотренного в работе [15] случая возникновения “филаментарной” структуры в разряде в N2 при V = +40 кВ, N/N0 = 4 на рис. 3 представлены профили ne, E/N (рис. 3а) и скоростей процессов возбуждения Н- и С-состояний (рис. 3б). полученные без учета и с учетом коррекции (18). Градиент ne на обращенной к диэлектрику границе стримера (рис. 3а) очень резкий, поэтому отрицательная диффузионная поправка к константам возбуждения в выражении (18) настолько велика, что снижает скорости возбуждения состояний Н и С почти на порядок (рис. 3б), достигая внутри приповерхностного слоя величины –0.8.
Рис. 3. Профили ne, E/N (а) и скоростей процессов возбуждения Н и С состояний (б) в сечении разряда x = 0.01мм в N2 при V = +40 кВ, N/N0 = 4 без коррекции (1) и с коррекцией (2) констант скорости возбуждения Н- и С-состояний
Как показано в работе [15], зарождение и развитие “филамента” на обращенной к диэлектрику границе стримера (пик ne на кривой 1 рис. 3а) обусловлено дополнительной ступенчатой ионизацией из высоковозбужденных состояний С и Н (процессы А21 и А22). Эти состояния заселяются преимущественно прямым электронным возбуждением из основного состояния Х молекулы N2 (процессы А3 и А4). В связи с этим коррекция констант возбуждения состояний С и Н резко сказывается на процессе развития “филаментации”: на рис. 3а пик ne исчез на кривой 2.
В исследуемом случае отрицательной полярности импульса напряжения мы ожидаем по крайней мере не меньших градиентов ne у поверхности диэлектрика [1, 16, 17], поэтому коррекция (18) необходима для адекватного описания динамики приповерхностного слоя и была реализована в предлагаемой работе для всех возбужденных состояний.
2.2. Коррекция кинетики возбужденных состояний молекулы азота
Переходы между возбужденными состояниями молекулы N2 под действием электронного удара проходят преимущественно между состояниями одной мультиплетности, т.е. в азоте “работают” два канала — по триплетным (A, B и C) и синглетным (а′ и Н) термам.
При рассматриваемых высоких напряжениях концентрация электронов велика, и эти переходы необходимо учитывать. Как отмечалось ранее, для более детального описания процесса ступенчатой ионизации в данной модели добавлен трек переходов по синглетным термам молекулы N2, т.е. учитываются состояния N2(а′), N2(Н) и переходы с их участием. Данный канал является дополнительным к рассмотренному в работе [15] каналу ионизации по триплетным термам со ступенчатой ионизацией только через С-состояние. Кроме того, добавлен конкурирующий со ступенчатой ионизацией процесс предиссоциации возбужденных состояний молекулы N2 с энергией возбуждения выше 13 эВ (процесс А20).
РЕЗУЛЬТАТЫ И ИХ ОБСУЖДЕНИЕ
На рис. 4 представлены результаты экспериментального исследования [13] стример-филаментарного перехода в воздухе и азоте в виде кривых в плоскости давление N/N0 и амплитуда импульса напряжения V. Эти кривые разделяют области, где разряд развивается в привычном квазиоднородном режиме (точки ниже кривой) и где он принимает филаментарную форму (точки выше кривой).
Рис. 4. Экспериментальные кривые стример-филаментарного перехода в N2 (1) и воздухе (2) для импульсов положительной (красные кружки) и отрицательной (синие треугольники) полярности [13]
В случае импульса положительной полярности пороги перехода в N2 и воздухе сильно различаются (кривые, отмеченные красными кружками), причем порог для воздуха значительно выше по напряжению. Для анализа была взята точка V = +40 кВ, N/N0 = 8, в которой порог должен быть превышен и для N2, и для воздуха. В случае импульса отрицательной полярности различие между кривыми перехода не столь существенно. Для анализа была взята точка V = -40 кВ, N/N0 = 6, также лежащая выше обеих кривых.
Расчеты выполнены для параметров диэлектрического барьера, соответствующих принятым в эксперименте [10, 13], толщина диэлектрика d = 0.3 мм, ε = 3, но, с целью сокращения времени расчета, для ступенчатого импульса напряжения, по величине совпадающего с амплитудой импульса, использованного в работах [10, 13].
По сравнению с моделью работы [15] добавленная коррекция (18) констант возбуждения термов молекулы N2 снизила интенсивность ступенчатой ионизации С-состояния, что проявилось в исчезновении пика ne на кривой 2 на рис. 3а, но учет дополнительного канала ионизации по синглетным термам через Н-состояние компенсировал это снижение. В итоге в новой модели результаты для импульса положительной полярности остались качественно такими же, как в модели [15], и представлены для N2 и воздуха на рис. 5 и 6 соответственно.
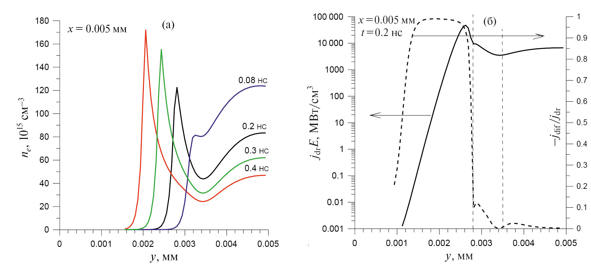
Рис. 5. Эволюция профиля ne в сечении разряда х = 0.005 мм; азот N2, V = +40 кВ, N/N0 = 8 (а); профили дрейфовой компоненты мощности энерговклада jdr E и отношения потоков –jdif /jdr в сечении разряда х = 0.005 мм в момент t = 0.2 нс (б)
Рис. 6. Эволюция профиля ne в сечении разряда х = 0.005 мм; воздух, V = +40 кВ, N/N0 = 8
Для азота точка V = +40 кВ, N/N0 = 8 лежит намного выше кривой стример-филаментарного перехода; в эксперименте напряжение перехода приблизительно 23 кВ при N/N0 = 8. Соответственно, разумно ожидать: если предлагаемая модель описывает суть наблюдаемого явления, то расчет даст интенсивное развитие “филаментарной” структуры.
Для воздуха точка V = +40 кВ, N/N0 = 8 лишь немного превышает порог перехода. В эксперименте напряжение перехода приблизительно 37 кВ при N/N0 = 8, и развитие “филаментации” должно быть менее интенсивным.
Представленные на рис. 5 и 6 результаты эволюции профиля концентрации электронов в сечении разряда качественно подтверждают высказанные ранее ожидания: в азоте идет интенсивное развитие слоя плазмы с нарастающей концентрацией в виде пика, смещающегося со временем к поверхности диэлектрика, а в воздухе на тех же временах отмечается только зарождение этого процесса.
Для иллюстрации действия корректирующего множителя в выражении (18) и масштаба мощности энерговклада в области образования аномального слоя плазмы на рис. 5б для момента времени 0.2 нс, когда уже началось развитие слоя, показаны профили отношения диффузионного потока электронов к дрейфовому и удельная мощность набора электроном энергии в поле без учета диффузионного потока.
Вертикальными штриховыми прямыми на рис. 5б отмечены положение максимума пика ne и точки стыковки этого пика с основным каналом разряда. Полученная в расчете мощность энерговклада в канале порядка 7 · 103 МВт/см3 при ne ≈ 8 · 1016 см–3 и E/N ≈ 60 Тд соответствует мощности набора энергии единичным электроном порядка 10–7 Вт/частицу.
Результаты расчета для ступенчатого импульса отрицательной полярности представлены на рис. 7–9. Как следует из результатов, представленных на рис. 7а, эволюция профиля ne в сечении разряда имеет ту же тенденцию, что и при положительной полярности, с той лишь разницей, что процесс формирования слоя плазмы с нарастающей во времени концентрацией происходит в непосредственной близости от поверхности диэлектрика.
Рис. 7. Эволюция профиля ne в сечении разряда х = 0.05 мм в N2 (сплошные кривые) и воздухе (штриховые); V = –40 кВ, N/N0 = 6 (a); эволюция профилей источника избыточной ионизации (сплошные кривые) и E/N (штриховые) в сечении разряда х = 0.05 мм в азоте N2; V = –40 кВ, N/N0 = 6 (б)
Рис. 8. Пространственные распределения ne в воздухе в ед. 1015 см–3 в моменты 0.06 (a) и 0.08 нс (б); V = –40 кВ, N/N0 = 6
Рис. 9. Пространственные распределения ne в ед. 1015 см–3 (a) и потенциала в ед. кВ (б) в азоте в момент времени 0.06 нс; V = –40 кВ, N/N0 = 6
Для азота этот процесс идет более интенсивно, чем для воздуха, но не с такой резко выраженной разницей, как в случае положительной полярности импульса напряжения. В момент 0.06 нс пик ne в азоте на порядок выше, чем в воздухе, и составляет 3 · 1018 см–3. Далее, пик ne в азоте начинает снижаться и к моменту 0.08 нс составляет 1.5 · 1018 см–3, а пик в воздухе продолжает расти и практически выходит на то же значение, что и в азоте при 0.06 нс — 2.5 · 1018 см–3.
Как и в случае положительной полярности импульса напряжения, причиной развития слоя с нарастающей ne является ионизация из С- и Н-состояний N2. На рис. 7б показана эволюция профилей E/N и разности суммарных источников ионизации Si и рекомбинационных стоков Rrec в азоте в сечении разряда х = 0.05 мм.
Со временем максимум ионизации смещается к поверхности диэлектрика, поскольку в формирующемся слое E/N возрастает. Со смещением слоя в области, примыкающей к основному каналу разряда, разность Si – Rrec становится отрицательной, как и в основном канале. В отличие от положительной полярности импульса напряжения, этот процесс протекает в более тонком слое, примыкающем к диэлектрику.
Казалось бы, полученный результат подтверждает адекватность предложенного механизма “филаментации” ПБР и для отрицательной полярности импульса напряжения. Однако такой вывод является преждевременным, поскольку, согласно выполненным расчетам, качественно подобное развитие разряда наблюдается и при меньших напряжениях, когда расчетная точка находится ниже экспериментальной кривой стример-филаментарного перехода.
Кроме того, общее поведение развития разряда качественно отличается от наблюдаемого в эксперименте [14], а именно: в эксперименте после перехода в филаментарный режим скорость развития и длина разряда резко возрастают по сравнению с квазиоднородным режимом. В расчете эффект прямо противоположный — с развитием слоя с высокой ne разряд практически останавливается. Объяснение этого эффекта проиллюстрировано рис. 8 и 9.
На рис. 8 показаны пространственные распределения ne в воздухе в моменты 0.06 и 0.08 нс, когда, согласно рис. 7, в воздухе происходит резкий скачок в развитии “филамента”.
В момент 0.06 нс разряд имеет “нормальную” форму с отстоящим от электрода катодным слоем и каналом разряда, примыкающим к поверхности диэлектрика. Максимум концентрации плазмы в канале находится на приблизительно 1/6 длины канала от фронта разряда.
В момент 0.08 нс наблюдается резкое перераспределение концентрации электронов ne, максимум смещается в область, непосредственно примыкающую к электроду. При этом если с 0.06 до 0.08 нс фронт разряда сместился на 0.3 мм, то после 0.08 нс положение фронта практически перестало меняться, т.е. вместо резкого роста длина разряда остановилась на величине около 1мм.
Следующая стадия развития разряда проиллюстрирована на рис. 9 для разряда в азоте, где процесс аномального нарастания ne выражен сильнее и пик ne достигает максимума к 0.06 нс. Вблизи электрода виден достаточно протяженный слой плазмы высокой концентрации, который вплотную примыкает к электроду и “съедает” катодный слой.
Пространственное распределение потенциала показано на рис. 9б. Катодного падения нет, и вместо монотонного роста потенциала от –40 кВ до 0 наблюдается сначала его падение до –56 кВ, а затем — только рост в правильном направлении. Аномальный “пузырь” потенциала вызван именно интенсивной ионизацией и возникновением избыточного отрицательного заряда. Этот заряд фактически блокирует действие электрода, и разряд перестает развиваться, хотя, казалось бы, образовавшийся слой плазмы высокой концентрации должен работать как продление электрода и давать, наоборот, более интенсивное развитие разряда, которое и наблюдается в эксперименте после перехода в филаментарный режим.
Следует подчеркнуть, что полученный аномальный результат не вызван действием ступенчатой ионизации. При ее полном отключении результат качественно не меняется, и процесс образования “пузыря” потенциала лишь немного сдвигается по времени в сторону больших времен. Причина, видимо, в неточности используемой модели локального поля, а именно в слишком грубом описании процессов ионизации в области резких градиентов концентрации электронов и поля.
Естественным устранением этого недостатка является учет пространственного переноса энергии электронов, т.е. переход к модели локальной энергии, когда константы скорости ионизации и всех неупругих процессов вычисляются как функции локальной энергии электрона.
Образующиеся слои с аномально высокой плотностью электронов оказываются достаточно тонкими и быстро меняющимися, так что возникает вопрос, насколько справедливы рассмотрение их динамики в модели непрерывной среды и используемое для расчета констант неупругих процессов приближение установившейся функции распределения электронов по энергиям? Приведенные поля в слоях выше 1000 Тд, что соответствует средней энергии электронов выше 15 эВ. Оценим характерное время установления функции распределения электронов по энергиям τEEDF в области энергий 15–30 эВ.
Это время определяется двумя основными процессами — набором энергии в поле за время и потерями энергии в неупругих процессах, основным из которых является ионизация электронным ударом с характерным временем . Здесь σtr , λtr — транспортное сечение рассеяния и длина пробега электрона, σi и λi — сечение и длина ионизации, ve — тепловая скорость электрона.
В рассматриваемой области энергий σtr = 10–15 см2, а σi линейно растет от порога 15.6 эВ и при ε = 30 эВ достигает величины 10–16 см2, поэтому ti ≈ 10ttr. Величина τEEDF определяется максимальным из времен τi и τtr, т.е.
Характерное время задачи о слое есть , где Δ — толщина слоя, а vdr = KeE — скорость дрейфа электронов. При E/N > 1000 Тд vdr = ve ≈ 2 · 108 см/с. В случае импульса положительной полярности Δ ≈ 30λ [29] и τΔ >> τi >> τtr, т.е. справедливо и приближение непрерывной среды, поскольку τi >> τtr, и приближение установившейся функции распределения, так как τΔ >> τEEDF. В случае импульса отрицательной полярности Δ ∼ λi [17] и τΔ ∼ τi >> τtr, т.е. приближение непрерывной среды по-прежнему справедливо, а функция распределения может не успевать установиться.
Следует отметить, что даже при выполнении условия установления функции распределения τΔ >> τEEDF стандартно используемые константы неупругих процессов могут отличаться от истинных, поскольку при vdr ≈ ve нарушается условие применимости двучленного приближения, используемого при решении уравнения Больцмана для функции распределения электронов по энергиям. Проверить адекватность стандартного расчета констант неупругих процессов в условиях резких градиентов можно методом Монте-Карло.
ЗАКЛЮЧЕНИЕ
Целью данной работы было численное исследование применимости предложенного в работе [15] механизма филаментации поверхностного барьерного разряда в азоте при положительной полярности наносекундного импульса напряжения к описанию аналогичного процесса в азоте и воздухе в случае импульса отрицательной полярности.
Модель работы [15] была доработана в плане более точного описания кинетики возбужденных состояний молекулы азота раздельным учетом переходов по триплетным и синглетным термам и более корректным описанием процессов возбуждения этих термов электронным ударом путем учета процесса диффузии электронов при определении набора энергии электроном в электрическом поле.
Внесенные в модель изменения качественно не повлияли на ранее полученные результаты филаментации разряда при положительной полярности импульса.
Результаты расчетов при отрицательной полярности импульса напряжения показали, что и в этом случае в азоте и воздухе есть признаки успешного моделирования эффекта филаментации, которые проявляются в формировании области плазмы с плотностью электронов и ионов нарастающей до 3 · 1018 см–3.
В отличие от случая положительной полярности эта область прилегает непосредственно к поверхности диэлектрика. Однако общее поведение динамики разряда оказывается при этом аномальным и противоположным наблюдаемому в эксперименте: в расчете “филаментация” приводила не к ускорению развития разрядного канала, а к остановке этого развития.
Причиной, по-видимому, является грубость используемого приближения локального поля в областях с резкими градиентами концентрации электронов и электрического поля. Более корректный результат можно получить только при учете пространственного переноса энергии электронов с расчетом констант неупругих процессов не как функций локального поля, а как функций локальной энергии электронов, что и предполагается сделать в следующей работе.
ФИНАНСИРОВАНИЕ
Исследование выполнено за счет гранта Российского научного фонда № 22-29-00084, https://rscf.ru/project/22-29-00084/. Авторы выражают благодарность Н.А. Попову за ценные замечания по кинетике возбужденных состояний молекулы азота.
About the authors
V. R. Solovyov
Moscow Institute of Physics and Technology
							Author for correspondence.
							Email: vic__sol@mail.ru
				                					                																			                												                	Russian Federation, 							Dolgoprudny, Moscow Region						
D. A. Lisitsyn
Moscow Institute of Physics and Technology
														Email: vic__sol@mail.ru
				                					                																			                												                	Russian Federation, 							Dolgoprudny, Moscow Region						
N. I. Karavaeva
Moscow Institute of Physics and Technology
														Email: vic__sol@mail.ru
				                					                																			                												                	Russian Federation, 							Dolgoprudny, Moscow Region						
References
- Soloviev V.R., Krivtsov V.M. // Plasma Sources Sci. Technol. 2018. V. 27. P. 114001.
- Kinefuchi K, Starikovskiy A.Y., Miles R.B. // Physics of Fluids. 2018. V. 30. P. 106105.
- Babaeva N.Yu, Tereshonok D.V, Naidis G.V. // Plasma Sources Sci. Technol. 2016. V. 25. P. 044008.
- Zhu Y., Starikovskaia S. // Plasma Sources Sci. Technol. 2018. V. 27. P. 124007.
- Zhu Y., Wu Y., Wei B., Liang H., Jia M., Song H., Li Y. // J. Phys. D: Appl. Phys. 2019. V. 53. P. 6517.
- Bayoda K.D., Benard N., Moreau E. // J. Applied Phys. 2015. V. 118. P. 63301.
- Александров Н.Л., Стариковский А.Ю. // Физика плазмы. 2021. Т. 47. С. 126.
- Starikovskiy A., Aleksandrov N. // Prog. Energy Combust. Sci. 2013. V. 39. P. 61.
- Starikovskaia S.M. // J. Phys. D: Appl. Phys. 2014. V. 47. P. 353001.
- Stepanyan S.A., Starikovskiy A.Yu., Popov N.A., Starikovskaia S.M. // Plasma Sources Sci. Technol. 2014. V. 23. P. 045003.
- Shcherbanev S.A., Ding Ch., Starikovskaia S.M., Popov N.A. // Plasma Sources Sci. Technol. 2019. V. 28. P. 065013.
- Ding Ch., Khomenko A.Yu., Shcherbanev S.A., Starikovskaia S.M. // Plasma Sources Sci. Technol. 2019. V. 28. P. 085005.
- Shcherbanev S.A., Popov N.A., Starikovskaia S.M. // Combustion and Flame. 2017. V. 176. P. 272.
- Ding Ch., Jean A., Popov N.A., Starikovskaia S.M. // Plasma Sources Sci. Technol. 2022. V. 31. P. 045013.
- Соловьев В.Р. // Физика плазмы. 2022. Т.48. С.552.
- Soloviev V.R., Krivtsov V.M. // J. Phys. D: Appl. Phys. 2009. V. 42. P. 125208.
- Soloviev V.R. // J. Phys.: Conf. Ser. 2020. V. 1698. P. 012026.
- Soloviev V.R, Anokhin E.M, Aleksandrov N.L. // Plasma Sources Sci. Technol. 2020. V. 29. P. 035006.
- Wormeester G., Pancheshnyi S., Luque A., Nijdam S., Ebert U. // J. Phys. D: Appl. Phys. 2010. V. 43. P. 505201.
- Железняк M.Б., Мнацаканян A.Х., Сизых С.В. // ТВТ. 1982. Т. 20. C. 423.
- Дятко Н.А., Кочетов И.В., Напартович А.П. // Физика плазмы. 1992. Т. 18. С. 888.
- Kossyi I.A., Kostinsky A.Yu., Matveyev A.A., Silakov V.P. // Plasma Sources Sci. Technol. 1992. V. 1. P. 207.
- Chng T.L., Lepikhin N.D., Orel I.S, Popov N.A., Starikovskaia S.M. // Plasma Sources Sci. Technol. 2020. V. 29. P. 035017.
- Bacri J., Medani A. // Physica B+C. 1982. V. 112. P. 101.
- Полак Л.С., Словецкий Д.И., Соколов А.С. // Химия высоких энергий. 1972. T. 6. C. 396.
- Смирнов Б.М. Ионы и возбужденные атомы в плазме. М.: Атомиздат, 1974. С. 264, 271.
- Зельдович Я.Б., Райзер Ю.П. Физика ударных волн и высокотемпературных гидродинамических явлений. М.: Наука. 1966. С. 394
- Lagmich Y., Callegari Th., Pitchford L.C., Boeuf J.P. // J. Phys. D: Appl. Phys. 2008. V. 41. P. 095205.
- Soloviev V.R., Krivtsov V.M. // J. Phys.: Conf. Ser. 2017. V. 927. P. 012059.
Supplementary files
 
				
			 
					 
						 
						 
						 
						 
				
 
  
  
  Email this article
			Email this article 










