Дисперсионные характеристики низкочастотных электронных волн в магнитоактивной плазме произвольной плотности
- Авторы: Артеха Н.С.1,2, Шкляр Д.Р.1
-
Учреждения:
- Институт космических исследований РАН
- Национальный исследовательский университет “Высшая школа экономики”
- Выпуск: Том 49, № 11 (2023)
- Страницы: 1127-1139
- Раздел: КОЛЕБАНИЯ И ВОЛНЫ В ПЛАЗМЕ
- URL: https://journals.rcsi.science/0367-2921/article/view/233136
- DOI: https://doi.org/10.31857/S0367292123600838
- EDN: https://elibrary.ru/HIZYRY
- ID: 233136
Цитировать
Полный текст
Аннотация
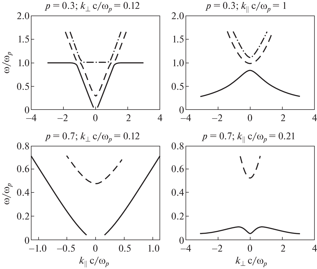
Исследуются волны в бесстолкновительной магнитоактивной плазме, с частотами много ниже электронной циклотронной частоты, при произвольном соотношении между электронной плазменной и циклотронной частотами. Получено общее дисперсионное уравнение для частоты волны как функции волнового вектора и отношения плазменной частоты к циклотронной. Это соотношение представляет собой бикубическое уравнение относительно частоты. На основе этого уравнения исследованы области существования различных волновых мод в зависимости от указанного параметра, их групповая скорость, поляризация и плотность энергии. Особое внимание уделено исследованию низкочастотных свистовых волн в разреженной плазме, поскольку среди распространяющихся волновых мод, которые существуют в указанной области параметров, свистовые волны имеют наибольший показатель преломления и играют важную роль в процессах резонансного взаимодействия волн и частиц.
Об авторах
Н. С. Артеха
Институт космических исследований РАН; Национальный исследовательский университет “Высшая школа экономики”
Email: natalya.arteha@mail.ru
Россия, Москва; Россия, Москва
Д. Р. Шкляр
Институт космических исследований РАН
Автор, ответственный за переписку.
Email: david@iki.rssi.ru
Россия, Москва
Список литературы
- Ахиезер А.И. (ред.), Ахиезер И.А., Половин Р.В., Ситенко А.Г., Степанов К.Н. Электродинамика плазмы. М.: Наука, 1974.
- Гинзбург В.Л., Рухадзе А.А. Волны в магнитоактивной плазме. М.: Наука, 1975.
- Helliwell R.A. Whistlers and related ionospheric phenomena. Stanford: Stanford University Press, 1965.
- Ferencz C., Ferencz O.E., Hamar D., Lichtenberger J. (eds). Whistler phenomena. Short impulse propagation. Dordrecht: Kluwer Academic Publishers, 2001.
- Беспалов П.А., Трахтенгерц В.Ю. // Вопросы теории плазмы. М.: Атомиздат, 1980. Вып. 10. С. 88.
- Matsumoto H., Kimura I. // Planetary Space Sci. 1971. V. 19. P. 567.
- Matsumoto H. // Wave instabilities in space plasmas / Eds. Palmadesso P.J., Papadopoulos K. Hingham: D. Reidel, 1979. 163 p.
- Omura Y., Nunn D., Matsumoto H., Rycroft M.J. // J. Atmospheric Terrestrial Phys. 1991. V. 53. P. 351.
- Demekhov A.G., Trakhtengerts V.Y., Rycroft M.J., Nunn D. // Geomagnetism and Aeronomy. 2006. V. 46. P. 711.https://doi.org/10.1134/S0016793206060053
- Demekhov A.G., Trakhtengerts V.Y., Rycroft M.J., Nunn D. // Geomagnetism and Aeronomy. 2009. V. 49(1). 24.https://doi.org/10.1134/S0016793209010034
- Shklyar D.R. // Planetary Space Sci. 1986. V. 34. P. 1091.
- Thorne R.M., Kennel C.F. // J. Geophys. Res. 1971. V. 76(19). P. 4446.https://doi.org/10.1029/JA076i019p04446
- Сажин С.С. Естественные радиоизлучения в магнитосфере Земли. М.: Наука, 1982. 9 с.
- Artemyev A., Agapitov O., Breuillard H., Krasnosels-kikh V., Rolland G. // Geophys. Res. Lett. V. 39. P. L08105.https://doi.org/10.1029/2012GL051393
- Artemyev A., Agapitov O., Mourenas D., Krasnoselskikh V., Shastun V., Mozer F. // Space Sci. Rev. 2016.https://doi.org/10.1007/s11214-016-0252-5
- Trakhtengerts V.Y., Rycroft M.J. // J. Atmospheric Solar-Terrestrial Phys. 2000. V. 62. P. 1719.
- Trakhtengerts V.Y., Rycroft M.J. Whistler and Alfven mode cyclotron masers in space. Cambridge: Cambridge University Press, 2008.
- Шкляр Д.Р. // Плазменная гелиогеофизика / Под ред. Л.М. Зеленого и И.С. Веселовского. М.: Физматлит, 2008. Т. 2. С. 391.
- Storey L.R.O. // Philosophical Transactions of the Royal Society of London. 1953. V. A246(908). P. 113.
- Gendrin R. // Planet. Space Sci. 1961. V. 5. P. 274.https://doi.org/10.1016/0032-0633(61)90096-4
- Kimura I. // Radio Sci. 1966. V. 1(3). P. 269.
- Kimura I. // Space Sci. Rev. 1985. V. 42 (3/4). P. 449.
- Smith R.L., Angerami J.J. // J. Geophys. Res. 1968. V. 73 (1). P. 1.
- Barnhart B.L., Kurth W.S., Groene J.B., Faden J.B., Santolik O., Gurnett D.A. // J. Geophys. Res. 2009. V. 114. P. A05218.https://doi.org/10.1029/2009JA014069
- Tetrick S.S., Gurnett D.A., Kurth W.S., Imai M., Hospodarsky G.B., Bolton S.J., Connerney J.E.P., Levin S.M., Mauk B.H. // Geophys. Res. Lett. 2017. V. 44. P. 4447.https://doi.org/10.1002/2017GL073073
- Zhang X.-J., Ma Q., Artemyev A.V., Li W., Kurth W.S., Mauk B.H., Clark G., Allegrini F., Gershman D.J., Bolton S.J. // J. Geophys. Res.: Space Phys. 2020. V. 125. P. e2020JA027957.https://doi.org/10.1029/2020JA027957
- Kurth W.S., Mauk B.H., Elliott S.S., Gurnett D.A., Hospodarsky G.B., Santolik O., Connerney J.E.P., Valek P., Allegrini F., Gladstone G.R., Bolton S.J., Levin S.M. // Geophys. Res. Lett. 2018. V. 45. P. 9372.https://doi.org/10.1029/2018GL078566
- Sulaiman A.H., Mauk B.H., Szalay J.R., Allegrini F., Clark G., Gladstone G.R., Kotsiaros S., Kurth W.S., Bagenal F., Bonfond B., Connerney J.E.P., Ebert R.W., Elliott S.S., Gershman D.J., Hospodarsky G.B., Hue V., Lysak R.L., Masters A., Santolik O., Saur J., Bolton S.J. // J. Geophys. Res.: Space Phys. 2022. V. 127. P. e2022JA030334.https://doi.org/10.1029/2022JA030334
- Persoon A.M., Kurth W.S., Gurnett D.A., Groene J.B., Sulaiman A.H., Wahlund J.-E., Morooka M.W., Ha-did L.Z., Nagy A.F., Waite J.H.,Jr., Cravens T.E. // Geophys. Res. Lett. 2019. V. 46. P. 3061.https://doi.org/10.1029/2018GL078020
- Lamy L., Cecconi B., Zarka P., Canu P., Schippers P., Kurth W.S., Mutel R.L., Gurnett D.A., Menietti D., Louarn P. // J. Geophys. Res.: Space Phys. 2010. V. 116. P. A04212.https://doi.org/10.1029/2010JA016195
- Shprits Y.Y., Menietti J.D., Gu X., Kim K.C., Horne R.B. // J. Geophys. Res. 2012. V. 117. P. A11216.https://doi.org/10.1029/2012JA018031
- Menietti J.D., Averkamp T.F., Imai M., Kurth W.S., Clark G.B., Allegrini F., Groene J.B., Faden J.B., Bolton S.J. // J. Geophys. Res.: Space Phys. 2021. V. 126. P. e2020JA028742.https://doi.org/10.1029/2020JA028742
- Lamy L., Schippers P., Zarka P., Cecconi B., Arridge C.S., Dougherty M.K., Louarn P., Andre N., Kurth W.S., Mutel R.L., Gurnett D.A., Coates A.J. // Geophys. Res. Lett. 2010. V. 37. P. L12104. https://doi.org/10.1029/2010GL043415
- Mutel R.L., Menietti J.D., Gurnett D.A., Kurth W., Schippers P., Lynch C., Lamy L., Arridge C., Cecconi B. // Geophys. Res. Lett. 2010. V. 37. P. L19105.https://doi.org/10.1029/2010GL044940
- Шафранов В.Д. // Вопросы теории плазмы / Под ред. М.А. Леонтовича. М.: Госатомиздат, 1963.
Дополнительные файлы














