Determination of Layer-By-Layer Profiles of Hydrogen Isotopes in Carbon and Beryllium Based on Electron Spectroscopy Methods
- Authors: Afanas’ev V.P.1, Lobanova L.G.1
-
Affiliations:
- National Research University “Moscow Engineering Physics Institute”
- Issue: Vol 49, No 10 (2023)
- Pages: 1034-1039
- Section: МЕТОДИЧЕСКИЕ ЗАМЕТКИ
- URL: https://journals.rcsi.science/0367-2921/article/view/232817
- DOI: https://doi.org/10.31857/S0367292123600498
- EDN: https://elibrary.ru/EQZLPW
- ID: 232817
Cite item
Full Text
Abstract
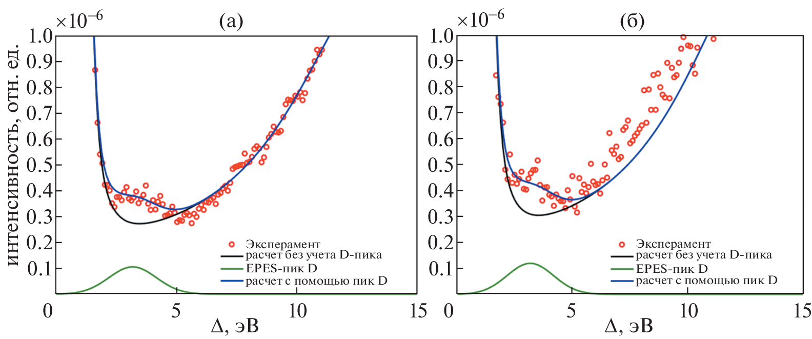
A quantitative method for interpreting the spectroscopy signal of elastically reflected electron peaks is constructed taking into account the layer-by-layer analysis of the content of hydrogen isotopes in structural materials used in the international experimental thermonuclear reactor ITER under construction. The relative protium and deuterium concentrations in hydrocarbon samples are determined. The relative deuterium concentrations in a beryllium sample are determined.
About the authors
V. P. Afanas’ev
National Research University “Moscow Engineering Physics Institute”
Email: v.af@mail.ru
115409, Moscow, Russia
L. G. Lobanova
National Research University “Moscow Engineering Physics Institute”
Author for correspondence.
Email: lida.lobanova.2017@mail.ru
115409, Moscow, Russia
References
- Schwarz-Selinger T., von Keudell A., Jacob W. // J. Appl. Phys. 1999. V. 86. 3988. https://doi.org/10.1063/1.371318
- Kimura K., Nakajima K., Yamanaka S., Hasegawa M., Okushi H. // Appl. Phys. Lett. 2001. V. 78. 1679. https://doi.org/10.1063/1.1356452
- Yubero F., Tokesi K. // Appl. Phys. Lett. 2009. V. 95. № 8. 084101. https://doi.org/10.1063/1.3202402
- Afanas’ev V.P., Gryazev A.S., Kaplan P.S., Köppen M., Ridzel O.Yu., Subbotin N.Yu., Hansen P. // J. Phys.: Conf. Ser. 2017. V. 891. 012303. https://doi.org/10.1088/1742-6596/891/1/012303
- Afanas’ev V.P., Bodisko Yu.N., Kaplyan P.S., Lobano-va L.G., Ridzel, O.Yu., Strukov A.N. // J. Phys.: Conf. Ser. 2020. V. 1713. 012001. https://doi.org/10.1088/1742-6596/1713/1/012001
- Афанасьев В.П., Грязев А.С., Капля П.С., Костановский И.А., Ридзель О.Ю. // Сб. науч. Тр. XIX конф. Взаимодействие плазмы с поверхностью. С. 30.
- Vos M., Went M.R.// Surf. Interf. Anal. 2007. V. 39. № 11. P. 871. https://doi.org/10.1002/sia.2603
- Tanuma S., Powell C.J., Penn D.R. // Surf. Interf. Anal. 1993. V. 20. 1. P. 77. https://doi.org/10.1002/sia.740200112
- Afanas’ev V.P., Afanas’ev M.V., Lubenchenkov, Batra-kov A.A., Efremenko D.S., Vos M. // J. Electron Spectrosc. Relat. Phenom. 2010. V. 177. P. 35. https://doi.org/10.1016/j.elspec.2010.01.002
- Afanas’ev V.P., Efremenko D.S., Kaplya P.S. // J. Electron Spectrosc. Relat. Phenom. 2016. 210. P. 16. https://doi.org/10.1016/j.elspec.2016.04.006
- Afanas’ev V.P., Bodisko Yu.N., Gryazev A.S., Efremen-ko D.S., Kaplya P.S. // Journal of Surface Investigation: X‑ray, Synchrotron and Neutron Techniques. 2020. V. 14. № 6. P. 1324. https://doi.org/10.1134/S102745102006021X
- Афанасьев В.П., Лобанова Л.Г. // Изв. РАН. Сер. физическая. 2022. V. 86. № 5. P. 621. https://doi.org/10.31857/S0367676522050039
- Salvat-Puiol F., Werner W.S.M. // Phys. Rev. B. 2011. V. 83. 195416. https://doi.org/10.1103/PhysRevB.83.195416
- Salvat F., Jablonski A., Powell C.J. // Comp Phys Comm. 2005. V. 165. № 2. 157. https://doi.org/10.1016/j.cpc.2004.09.006
Supplementary files





