Квазиклассическая аппроксимация данных по потенциалам ионизации многозарядных ионов сверхтяжелых элементов
- Авторы: Шпатаковская Г.В.1
- 
							Учреждения: 
							- Институт прикладной математики им. М.В. Келдыша Российской академии наук
 
- Выпуск: Том 49, № 10 (2023)
- Страницы: 1016-1023
- Раздел: ДИАГНОСТИКА ПЛАЗМЫ
- URL: https://journals.rcsi.science/0367-2921/article/view/232807
- DOI: https://doi.org/10.31857/S0367292123600747
- EDN: https://elibrary.ru/EGAOHQ
- ID: 232807
Цитировать
Полный текст
Аннотация
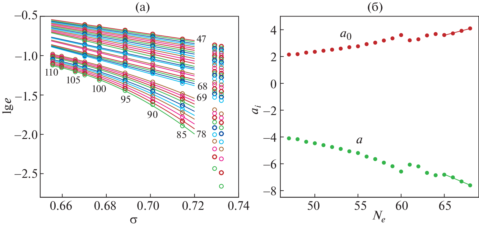
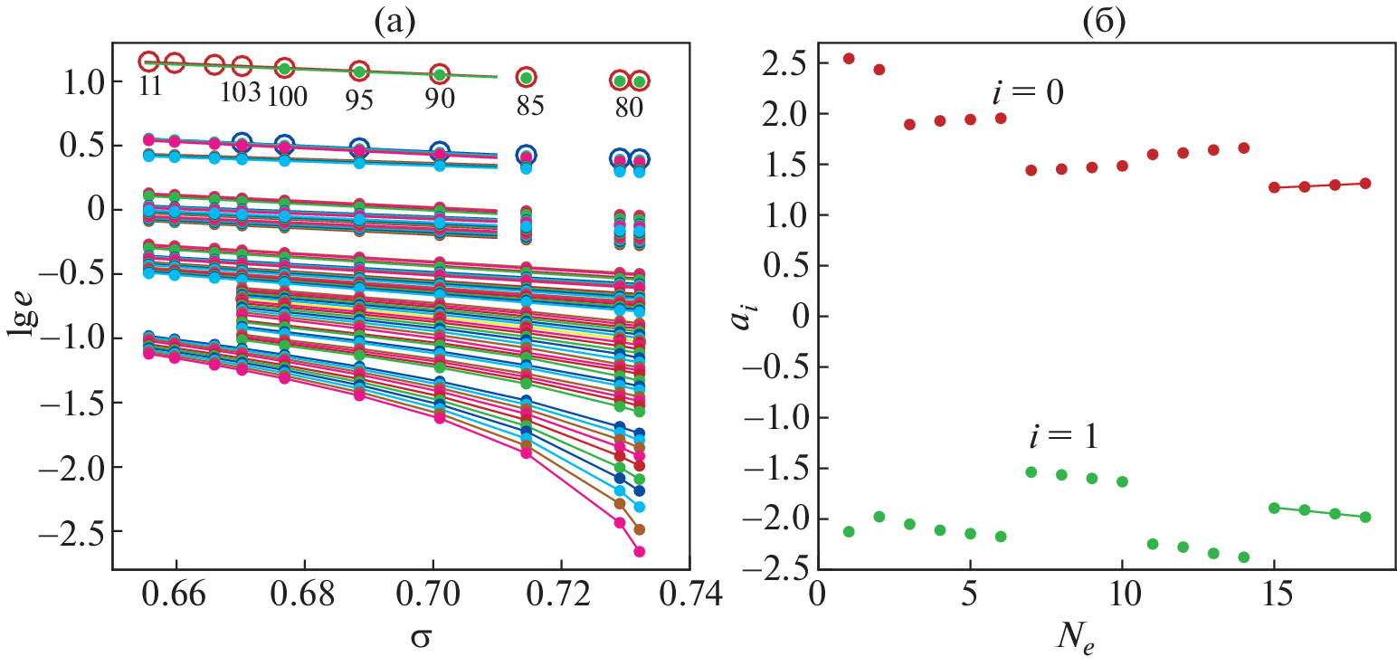
Полуэмпирический квазиклассический метод аппроксимации потенциалов ионизации, используемый ранее для многозарядных ионов элементов со средними и высокими атомными номерами Z, применяется к ионам элементов с атомными номерами в диапазоне \(85 \leqslant Z \leqslant 110\) и числом электронов \(1 \leqslant {{N}_{e}} \leqslant 78\). Выявленные простые закономерности дают возможность полиномиальной, достаточно точной (в пределах одного-двух процентов) аппроксимации имеющихся и оценки недостающих данных по потенциалам ионизации в таблицах NIST для всех многозарядных ионов исследованного диапазона на основе двух небольших таблиц. Продемонстрировано улучшение условий применимости квазиклассического приближения с ростом атомного номера.
Об авторах
Г. В. Шпатаковская
Институт прикладной математики им. М.В. Келдыша Российской академии наук
							Автор, ответственный за переписку.
							Email: shpagalya@yandex.ru
				                					                																			                												                								Россия, Москва						
Список литературы
- Borschevsky A., Eliav E., Vilkas M.J., Ishikawa Y., Kaldor U. // Phys. Rev. A. 2007. V. 75. P. 042514.
- Dzuba V.A., Safronova M.S., Safronova U.I. // Phys. Rev. A: At. Mol. Opt. Phys. 2014. V. 90. P. 012504.
- Dzuba V.A. // Phys. Rev. A. 2016. V. 93. P. 032519.
- Porsev S.G., Safronova M.S., Safronova U.I., Dzuba V.A., Flambaum V.V. // Phys. Rev. A. 2018. V. 98. P. 052512.
- Dzuba V.A., Safronova M.S., Safronova U.I. // Phys. Rev. A. 2016. V. 94. P. 042503.
- Safronova U.I., Rudzikas Z.B. // J. Phys. B: Atom. Molec. Phys. 1976. V. 9. P. 1989.
- Carlson T. A., Nestor C.W., Jr., Wasserman N., McDowell J.D. // Klculated ionization potentials for multiply charged ions. At. Data Nucl. Data Tables. 1970. V. 2. P. 63.
- Drake G.W.F. // Canadian J. Phys. 1988. V. 66. P. 586.
- Rodrigues G.C., Indelicato P., Santos J.P., Patte P., Parente F. // At. Data Nucl. Data Tables. 2004. V. 86. P. 117.
- Artemyev A.N., Shabaev V.M., Yerokhin V.A., Plunien G., Soff G. // Phys. Rev. A. 2005. V. 71. P. 062104.
- Sapirstein J., Cheng K.T. // Phys. Rev. A. 2011. V. 83. P. 012504.
- Rashid K., Saadi M.Z., Yasin M. // At. Data Nucl. Data Tables. 1988. V. 40. P. 365.
- Kramida A.E., Reader J. // At. Data Nucl. Data Tables. 2006. V. 92. P. 457.
- Kramida A., Ralchenko Yu., Reader J. and NIST ASD Team. NIST Atomic Spectra Database (ver. 5.10), 2020 [Online]. Available: https://physics.nist.gov/asd [2023, July 12].
- Biémont E., Frémat Y., Quinet P. // Atomic Data and Nuclear Data Tables. 1999. V. 71. P. 117.
- Gil G., Gonzalez A. // Can. J. Phys. 2017. V. 95. P. 479.
- Huang J., Jiang G., Zhao Q. // Chin. Phys. Lett. 2006. V. 23. P. 69.
- Шпатаковская Г.В. // Письма ЖЭТФ. 2021. Т. 114. С. 798.
- Шпатаковская Г.В. // ЖЭТФ. 2022. Т. 162. С. 205.
- Шпатаковская Г.В. // УФН. 2019. Т. 189. С. 195.
Дополнительные файлы
 
				
			 
						 
						 
						 
					 
						 
									
 
  
  
  Отправить статью по E-mail
			Отправить статью по E-mail 



