Reflection of the Electromagnetic Wave from the Region of Electron Cyclotron Absorption in Thermonuclear Plasma
- Authors: Gospodchikov E.D.1, Chuvakin P.A.1, Shalashov A.G.1
-
Affiliations:
- Gaponov-Grekhov Institute of Applied Physics, Russian Academy of Sciences
- Issue: Vol 49, No 10 (2023)
- Pages: 953-963
- Section: СТЕЛЛАРАТОРЫ
- URL: https://journals.rcsi.science/0367-2921/article/view/232767
- DOI: https://doi.org/10.31857/S0367292123600887
- EDN: https://elibrary.ru/EHMULR
- ID: 232767
Cite item
Full Text
Abstract
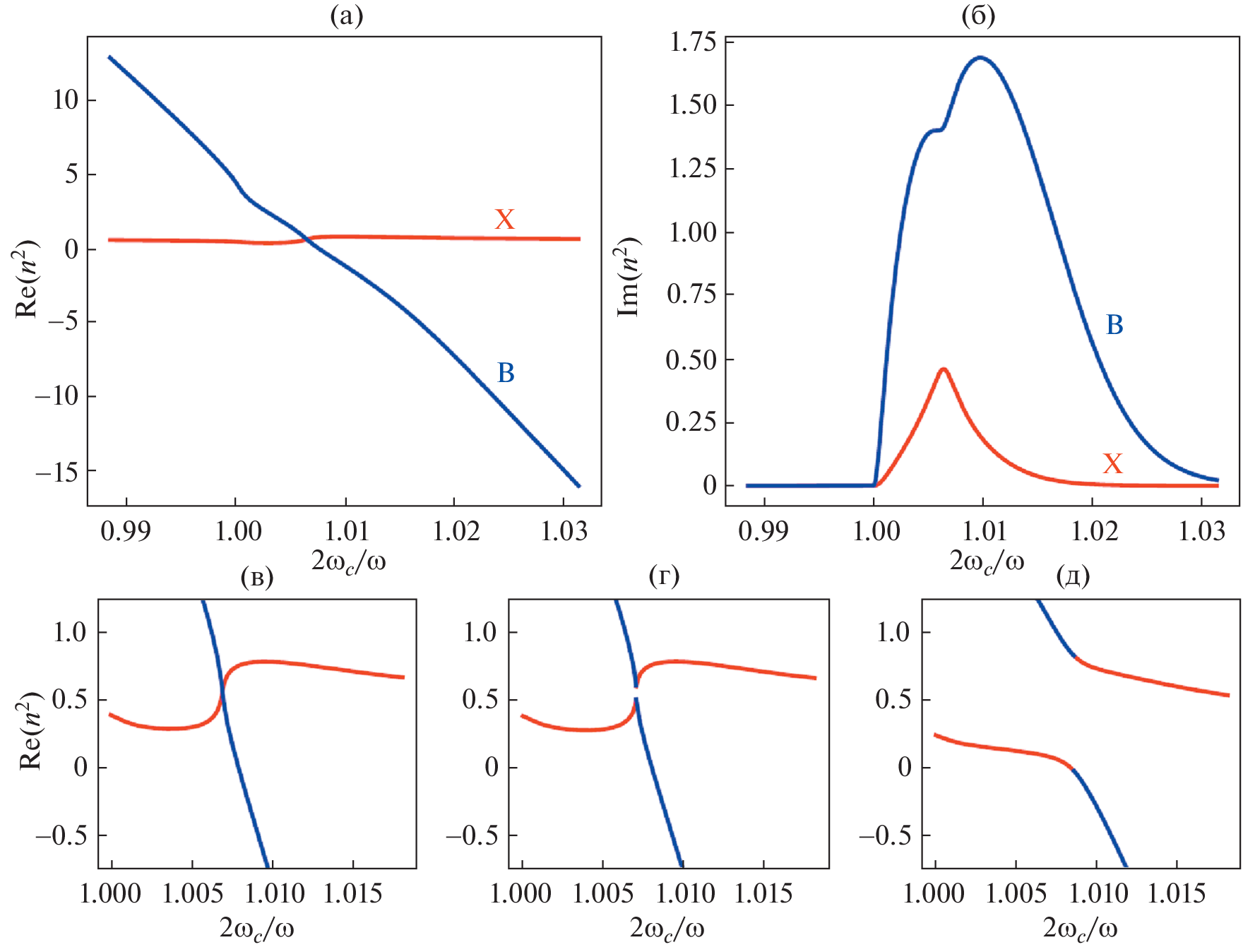
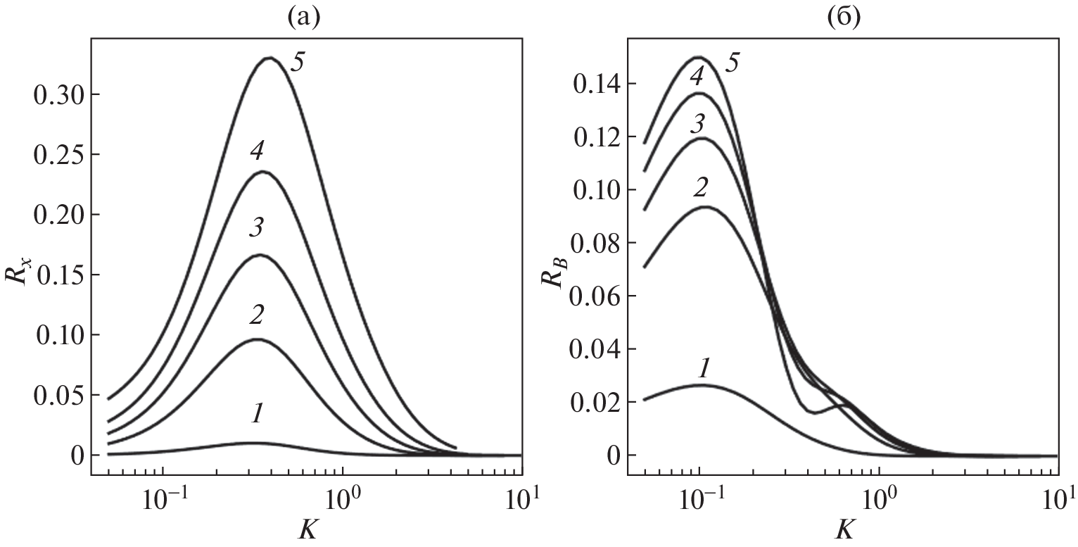
A new approach to the problem of the passage of the extraordinary wave through the region of the electron–cyclotron resonance in inhomogeneous plasma was considered in the framework of the full set of Maxwell’s equations, taking into account the effects of spatial dispersion and resonance dissipation. For the model one-dimensional geometry, field distributions were calculated in the vicinity of the cyclotron resonance at the second harmonic for the normal incidence of the extraordinary wave and the reflection, transmission, and absorption coefficients were found depending on the parameters of the resonance region. As a result, the fine effect of the reflection of electromagnetic radiation from the cyclotron resonance region in transparent plasma was described and the results were compared with the observations of this effect in the experiments on the microwave heating of the plasma at the L-2M stellarator.
About the authors
E. D. Gospodchikov
Gaponov-Grekhov Institute of Applied Physics, Russian Academy of Sciences
Email: egos@ipfran.ru
603950, Nizhny Novgorod, Russia
P. A. Chuvakin
Gaponov-Grekhov Institute of Applied Physics, Russian Academy of Sciences
Email: egos@ipfran.ru
603950, Nizhny Novgorod, Russia
A. G. Shalashov
Gaponov-Grekhov Institute of Applied Physics, Russian Academy of Sciences
Author for correspondence.
Email: egos@ipfran.ru
603950, Nizhny Novgorod, Russia
References
- Тимофеев А.В. Резонансные явления в колебаниях плазмы. М.: Физматлит, 2000. 1-е изд., 2009 2-е изд.
- Федоров В.И. // Письма ЖЭТФ. 1980. Т. 6. С. 650.
- Bornatici M., Engelmann F., Maroli C., Petrillo V. // Plasma Phys. 1981. V. 23. P. 89.
- Lazzaro E., Ramponi G., Giruzzi G. // Phys. Fluids. 1982. V. 25. P. 1220.
- Звонков А.В. // Физика плазмы. 1983. Т. 9. С. 547.
- Тимофеев А.В. // УФН. 1973. Т. 110. С. 329.
- Bernstein I.B. // Phys. Rev. 1958. V. 109. P. 10.
- Litvak A.G., Suvorov E.V., Permitin G.V., Fraiman A.A. // Nuclear Fusion. 1979. V. 17. P. 659.
- Alikaev V.V., Litvak A.G., Suvorov E.V., Fraiman A.A. // High Frequency Plasma Heating / Ed. A.G. Litvak. New York: AIP, 1991. Ch. 1. P. 1.
- Tereshchenko M., Castejon F., Cappa A. TRUBA User Manual. Informes Técnicos CIEMAT No. 1134. Madrid: CIEMAT, 2008.
- Prater R., Farina D., Gribov Yu., Harvey R.W., Ram A.K., Lin-Liu Y.-R., Poli E., Smirnov A.P., Volpe F., Wester-hof E., Zvonkov A. // Nuclear Fusion. 2008. V. 48. P. 035006.
- Pereverzev G.V. // Phys. Plasmas. 1998. V. 5. P. 3529.
- Balakin A.A., Balakina M.A., Westerhof E. // Nuclear Fusion. 2008. V. 48. P. 065003.
- Балакин А.А. // Изв. вузов. Радиофизика. 2012. Т. 55. С. 521.
- Shalashov A.G., Balakin A.A., Gospodchikov E.D., Khusainov T.A. // Phys. Plasmas. 2016. V. 23. P. 112504.
- Гинзбург В.Л. Распространение электромагнитных волн в плазме. М.: Наука, 1967.
- Батанов Г.М., Борзосеков В.Д., Колик Л.В., Конченков Е.М., Малахов Д.В., Петров А.Е., Сарксян К.А., Сахаров А.С., Скворцова Н.Н., Степахин В.Д., Харчев Н.К. // Физика плазмы. 2013. Т. 39. С. 987.
- Westerhof E., Nielsen S.K., Oosterbeek J.W., Salewski M., De Baar M.R., Bongers W.A., Bürger A., Hennen B.A., Korsholm S.B., Leipold F., Moseev D., Stejner M., Thoen D.J. (the TEXTOR Team) // Phys. Rev. Lett. 2009. V. 103. P. 125001.
- Nielsen S.K., Salewski M., Westerhof E., Bongers W., Korsholm S.B., Leipold F., Oosterbeek J.W., Moseev D., Stejner M. // Plasma Phys. Control. Fusion. 2013. V. 55. P. 115003.
- Hansen S.K., Nielsen S.K., Stober J., Rasmussen J., Stejner M., Hoelzl M., Jensen T. // Nucl. Fusion. 2020. V. 60. P. 106008.
- Сахаров А.С. // Физика плазмы. 2017. Т. 43. С. 903.
- Шалашов А.Г., Господчиков Е.Д. // УФН. 2011. Т. 181. С. 151.
- Shalashov A.G., Gospodchikov E.D. // Plasma Phys. Control. Fusion. 2010. V. 52. P. 025007.
- Scott M.R. Invariant Imbedding and its Applications to Ordinary Differential Equations: an Introduction. London: Addison-Wesly, 1973.
- Кляцкин В.И. Метод погружения в теории распространения волн. М.: Наука 1986.
- Днестровский Ю.Н., Костомаров Д.П., Скрыд-лов Н.В. // ЖТФ. 1963. Т. 33. С. 922.
- Шафранов В.Д. // Вопросы теории плазмы. Вып. 3 / Под ред. М.А. Леонтовича. М.: Госатомиздат, 1963. С. 129.
Supplementary files










