Study of the Effect of the Anode on EEDF and the Spatial Profile of the Electron Density in a Discharge with a Hollow Cathode in Helium
- Authors: Andreev S.N.1, Bernatskiy A.V.1, Dyatko N.A.1,2, Kochetov I.V.1,2, Ochkin V.N.1
-
Affiliations:
- Lebedev Physical Institute, Russian Academy of Sciences
- Troitsk Institute for Innovation and Fusion Research
- Issue: Vol 49, No 8 (2023)
- Pages: 821-828
- Section: LOW TEMPERATURE PLASMA
- URL: https://journals.rcsi.science/0367-2921/article/view/139603
- DOI: https://doi.org/10.31857/S0367292123600632
- EDN: https://elibrary.ru/IVSSFU
- ID: 139603
Cite item
Full Text
Abstract
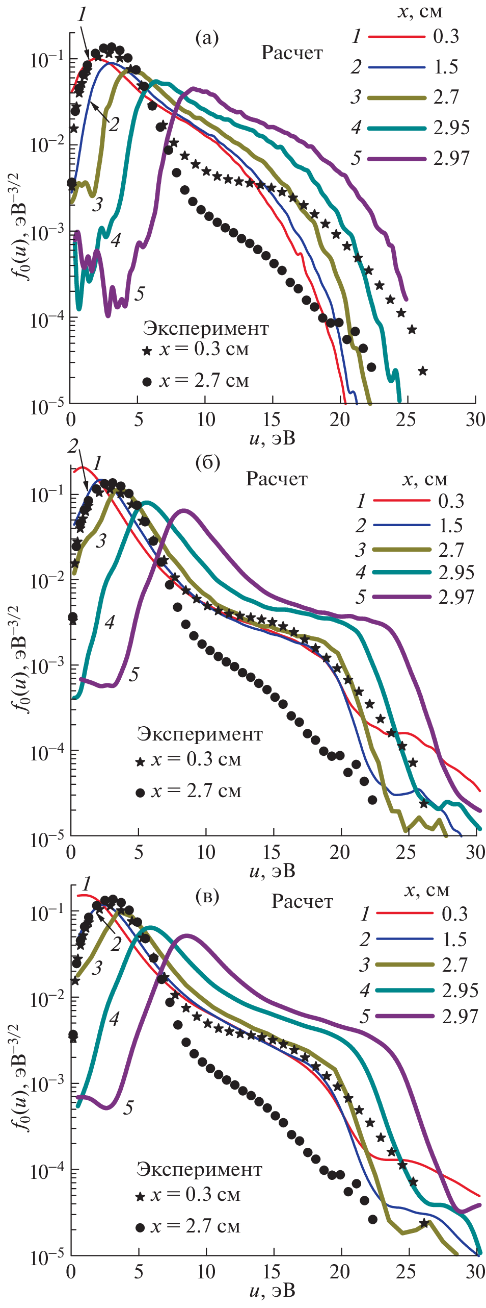
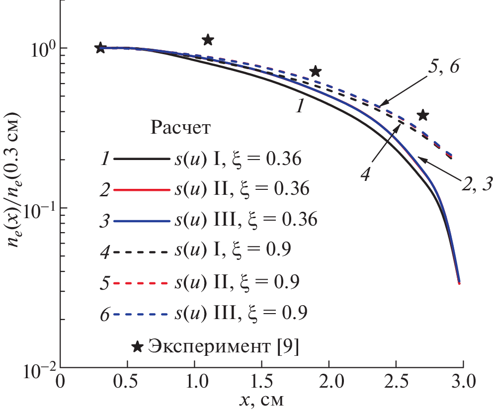
The electron energy distribution function (EEDF) and the spatial profile of the electron density in the cathode–anode gap in a helium discharge are calculated within a one-dimensional model by the Monte Carlo method. Numerical studies are performed for experimental conditions known from the literature in a discharge with a hollow cathode: the cathode–anode distance of 3 cm, the helium pressure of 0.75 Torr, and the electric field strength in the discharge gap of 1.3 V/cm. The calculations are performed without and with allowance for the anode potential drop and the effect of electron reflection from the anode. The dependence of the form of EEDF on the energy spectrum of the electron source used in the calculations is also studied. In all variants of calculations, the main feature of the EEDF is retained, that is, a significant depletion of the low-energy part of the distribution function due to the effect of electron absorption by the anode. The calculated EEDF and the spatial profile of the electron density are compared with the available experimental data.
About the authors
S. N. Andreev
Lebedev Physical Institute, Russian Academy of Sciences
Email: dyatko@triniti.ru
119991, Moscow, Russia
A. V. Bernatskiy
Lebedev Physical Institute, Russian Academy of Sciences
Email: dyatko@triniti.ru
119991, Moscow, Russia
N. A. Dyatko
Lebedev Physical Institute, Russian Academy of Sciences; Troitsk Institute for Innovation and Fusion Research
Email: dyatko@triniti.ru
119991, Moscow, Russia; 108840, Troitsk, Moscow, Russia
I. V. Kochetov
Lebedev Physical Institute, Russian Academy of Sciences; Troitsk Institute for Innovation and Fusion Research
Email: dyatko@triniti.ru
119991, Moscow, Russia; 108840, Troitsk, Moscow, Russia
V. N. Ochkin
Lebedev Physical Institute, Russian Academy of Sciences
Author for correspondence.
Email: dyatko@triniti.ru
119991, Moscow, Russia
References
- Цендин Л.Д. // ЖТФ. 1986. Т. 56. С. 278.
- Голубовский IO.Б., Аль-Хават Ш.Х. // ЖТФ. 1987. Т. 57. С. 44.
- Голубовский IO.Б., Аль-Хават Ш.Х., Цендин Л.Д. 1987. Т. 57. С. 1285.
- Porokhova I.A., Golubovskii Y.B., Wilke C., Dinklage A. // J. Phys. D: Appl. Phys. 1999. V. 32. P. 3025.
- Petrova Ts., Petrov G.M. // Physica Scripta. 2000. V. 61. P. 102.
- Arndt S., Uhrlandt D., Winkler R. // J. Phys. D: Appl. Phys. 2001. V. 34. P. 1982.
- Loffhagen D., Sigeneger F., Winkler R. // J. Phys. D: A-ppl. Phys. 2002. V. 35. P. 1768.
- Andreev S.N., Bernatskiy A.V., Dyatko N.A., Koche-tov I.V., Ochkin V.N. // Plasma Sources Sci. Technol. 2021. V. 30. 095004.
- Andreev S.N., Bernatskiy A.V., Ochkin V.N. // Plasma Chem. Plasma Process. 2021. V. 41. P. 659.
- Andreev S.N., Bernatskiy A.V., Dyatko N.A., Koche-tov I.V., Ochkin V.N. // Plasma Sources Sci. Technol. 2022. V. 31. 105016.
- Райзер Ю.П. Физика газового разряда. М.: Наука, 1987.
- Otte M. Experimentelle Untersuchungen der Elektronenkinetik schwach ionisierter stoßbestimmter Plasmen unter r¨aumlich inhomogenen Bedingungen. PhD Thesis. E.-M.-Arndt-Universit¨at Greifswald, Germany, 2000.
- Herlt H.J., Feder R., Meister G., Bauer E.G. // Solid State Communications 1981. V. 38. P. 973.
- Sigeneger F., Dyatko N.A., Winkler R. // Plasma Chem. Plasma Process. 2003. V. 23. P. 103.
- Sakai Y., Tagashira H., Sakamoto S. // J. Phys. B: At. Mol. Phys. 1972. V. 5. P. 1010.
- Sakai Y., Tagashira H., Sakamoto S. // J. Phys. D: Appl. Phys. 1977. V. 10. P. 1035.
- Dyatko N.A., Kochetov I.V. and Ochkin V.N. // Plasma Sources Sci. Technol. 2020. V. 29. 125007.
- Dyatko N.A., Kochetov I.V., Napartovich A.P., Sukharev A.G. EEDF: the software package for calculations of the electron energy distribution function in gas mixtures https://fr.lxcat.net/download/EEDF
- Фридрихов С.А., Мовнин С.М. Физические основы электронной техники. М.: Высшая школа, 1982.
Supplementary files










