Interaction of Relativistic Electrons with Packets of the Electromagnetic Ion Cyclotron Waves of Finite Length and Low Amplitude
- Authors: Grach V.S.1, Demekhov A.G.1,2
-
Affiliations:
- Gaponov-Grekhov Institute of Applied Physics, Russian Academy of Sciences
- Polar Geophysical Institute
- Issue: Vol 49, No 7 (2023)
- Pages: 683-694
- Section: SPACE PLASMA
- URL: https://journals.rcsi.science/0367-2921/article/view/139595
- DOI: https://doi.org/10.31857/S0367292123600334
- EDN: https://elibrary.ru/VXTVVC
- ID: 139595
Cite item
Full Text
Abstract
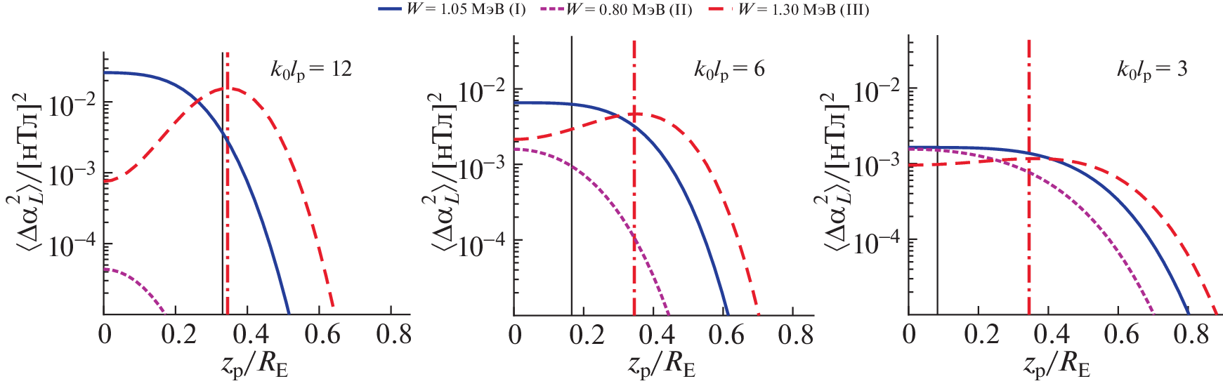
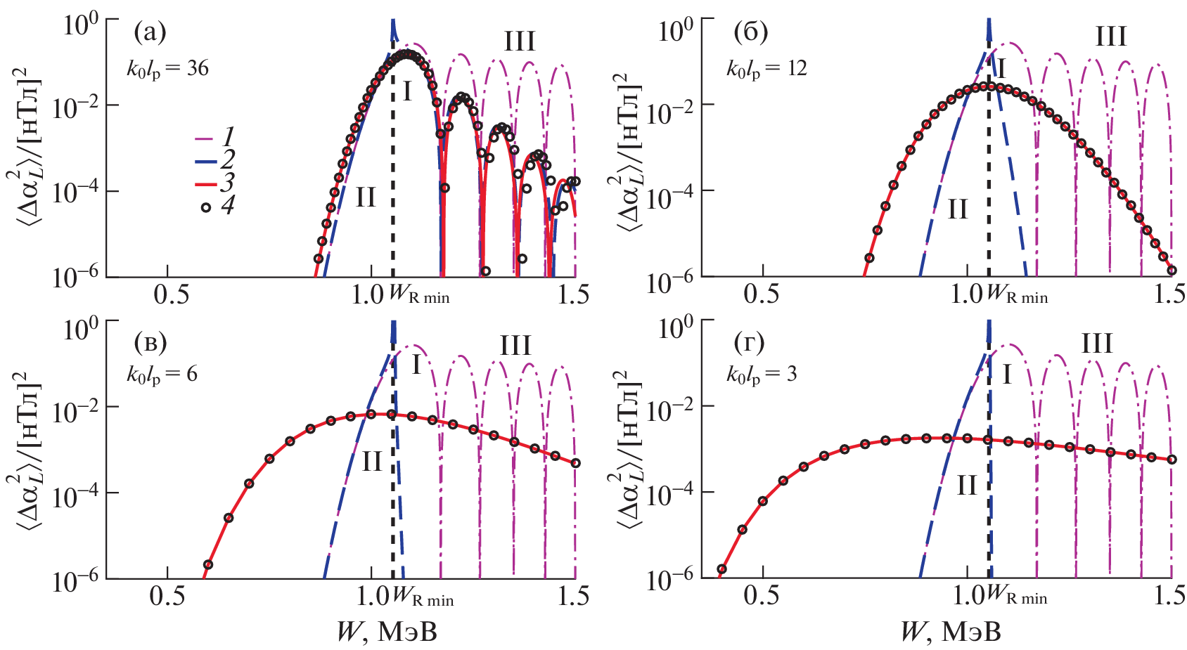
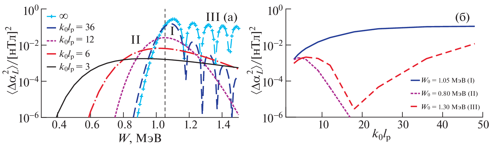
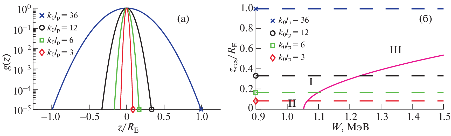
Interaction of relativistic electrons with packets of the electromagnetic ion cyclotron waves of finite length and low amplitude in the Earth’s radiation belts is analyzed. The variance of the equatorial pitch angle of electrons for wave packets located near the Earth’s geomagnetic equator is estimated analytically within the linear approximation. The analytical estimates agree with the results of numerical test-particle simulation. It is demonstrated that reduction in the packet length extends the interaction range to lower energies beyond the range of resonant energies. Such an interaction can result in precipitation of electrons with energies on the order of several hundred kiloelectronvolts into the ionosphere.
Keywords
About the authors
V. S. Grach
Gaponov-Grekhov Institute of Applied Physics, Russian Academy of Sciences
Email: vsgrach@ipfran.ru
603166, Nizhny Novgorod, Russia
A. G. Demekhov
Gaponov-Grekhov Institute of Applied Physics, Russian Academy of Sciences; Polar Geophysical Institute
Author for correspondence.
Email: vsgrach@ipfran.ru
603166, Nizhny Novgorod, Russia; 184209, Apatity, Russia
References
- Kennel C.F., Petschek H.E. // J. Geophys. Res. 1966. T. 71. C. 1. https://doi.org/10.1029/JZ071i001p00001
- Tverskoy B.A. // Rev. Geophys. Space Phys. 1969. V. 7. P. 219. https://doi.org/10.1029/RG007i001p00219
- Lyons L.R., Thorne R.M. // J. Geophys. Res. 1973. V. 78. P. 2142. https://doi.org/10.1029/JA078i013p02142
- Беспалов П.А., Трахтенгерц В.Ю. // Вопросы теории плазмы. Т. 10 / Ред. М.А. Леонтович. М.: Энергоатомиздат, 1980. С. 88.
- Trakhtengerts V.Y., Rycroft M.J. // J. Atmospheric Solar-Terrestrial Phys. 2000. T. 62. C. 1719. https://doi.org/10.1016/S1364-6826(00)00122-X
- Li W., Hudson M.K. // J. Geophys. Res. (Space Phys.). 2019. T. 124. C. 8319. https://doi.org/10.1029/2018JA025940
- Thorne R.M., Kennel C.F. // J. Geophys. Res. 1971. V. 76. P. 4446. https://doi.org/10.1029/JA076i019p04446
- Millan R.M., Thorne R. // J. Atmospheric Solar-Terrestrial Phys. 2007. V. 69. P. 362. https://doi.org/10.1016/j.jastp.2006.06.019
- Morley S.K., Friedel R.H.W., Cayton T.E., Noveroske E. // Geophys. Res. Lett. 2010. V. 37. https://doi.org/10.1029/2010GL042772
- Engebretson M.J., Posch J.L., Wygant J.R., Klet-zing C.A., Lessard M.R., Huang C.-L., Spence H., Smith C.W., Singer H.J., Omura V., Horne R.B., Ree-ves G.D., Baker D.N., Gkioulidou M., Oksavik K., Mann I.R., Raita T., Shiokawa K. // J. Geophys. Res. (Space Phys.). 2015. V. 120. P. 5465. https://doi.org/10.1002/2015JA021227
- Summers D., Thorne R.M. // J. Geophys. Res. (Space Phys.). 2003. V. 108. P. 1143. https://doi.org/10.1029/2002JA009489
- Ukhorskiy A.Y., Shprits Y.Y., Anderson B.J., Takaha-shi K., Thorne R.M. // Geophys. Res. Lett. 2010. V. 37. P. L09101. https://doi.org/10.1029/2010GL042906
- Ni B., Cao X., Zou Z., Zhou Ch., Gu X., Bortnik J., Zhang J., Fu S., Zhao Z., Shi R., Xie L. // J. Geophys. Res. Space Phys. 2015. V. 120. P. 7357. https://doi.org/10.1002/2015JA021466
- Hendry A.T., Rodger C.J., Clilverd M.A. // Geophys. Res. Lett. 2017. V. 44. P. 1210. https://doi.org/10.1002/2016GL071807
- Capannolo L., Li W., Ma Q., Chen L., Shen X., Spence H., Sample J., Johnson A., Shumko M., Klumpar D.M., Redmon R. // Geophys. Res. Lett. 2019. V. 46. P. 12711. https://doi.org/10.1029/2019GL084202
- An X., Artemyev A., Angelopoulos V., Zhang X., Moure-nas D., Bortnik J. // Phys. Rev. Lett. 2022. V. 129. P. 135101. https://doi.org/10.1103/PhysRevLett.129.135101
- Chen L., Thorne R.M., Bortnik J., Zhang X.J. // J. Geophys. Res. Space Phys. 2016. V. 121. P. 9913. https://doi.org/10.1002/2016JA022813
- Kangas J., Guglielmi A., Pokhotelov O. // Space Sci. Rev. 1998. V. 83. P. 435.
- Demekhov A. // J. Atmospheric Solar-Terrestrial Phys. 2007. V. 69. P. 1609. https://doi.org/10.1016/j.jastp.2007.01.014
- Engebretson M.J., Keiling A., Fornacon K.H., Cattell C.A., Johnson J.R., Posch J.L., Quick S.R., Glassmeier K.-H., Parks G.K., Reme H. // Planet. Space Sci. 2007. V. 55. P. 829. https://doi.org/10.1016/j.pss.2006.03.015
- Engebretson M.J., Posch J.L., Westerman A.M., Otto N.J., Slavin J.A., Le G., Strangeway R.J., Lessard M.R. // J. Geophys. Res.: Space Phys. 2008. V. 113. P. A07206. https://doi.org/10.1029/2008JA013145
- Pickett J.S., Grison B., Omura Y., Engebretson M.J., Dandouras I., Masson A., Adrian M.L., Santolik O., Décréau P.M.E., Cornilleau-Wehrlin N., Constantine-scu D. // Geophys. Res. Lett. 2010. V. 37. P. L09104. https://doi.org/10.1029/2010GL042648
- Шкляр Д.Р. // Плазменная гелиогеофизика. T. II / Ред. Л.М. Зеленый, И.С. Веселовский. М.: Физматлит, 2008. С. 391.
- Albert J.M., Tao X., Bortnik J. // Geophys. Monograph Series. V. 199. Dynamics of the Earth’s Radiation Belts and Inner Magnetosphere / Eds. D. Summers, I.R. Mann, D.N. Baker, M. Schulz. Washington, D.C.: American Geophysical Union, 2012. P. 255. https://doi.org/10.1029/2012gm001324.
- Albert J.M., Bortnik J. // Geophys. Res. Lett. 2009. V. 36. P. L12110. https://doi.org/10.1029/2009GL038904
- Грач В.С., Демехов А.Г. // Изв. вузов. Радиофизика. 2017. Т. 60. С. 1052.
- Hobara Y., Trakhtengerts V.Y., Demekhov A.G., Hayakawa M. // J. Geophys. Res. Space Phys. 1998. V. 103. P. 20449. https://doi.org/10.1029/98JA01746
- Pasmanik D.L., Demekhov A.G., Nunn D., Trakhtengerts V.Y. Rycroft M.J. // J. Geophys. Res. Space Phys. 2002. V. 107. P. 1162. https://doi.org/10.1029/2001JA000256
- Grach V.S., Artemyev A.V., Demekhov A.G., Xiao-Jia Z., Bortnik J., Angelopoulos V., Nakamura R., Tsai E., Wilkins C., Owen R. // Geophys. Res. Lett. 2022. V. 49. P. e99994. https://doi.org/10.1029/2022GL099994
- Angelopoulos V., Tsai E., Bingley L., Shaffer C., Tur-ner D.L., Runov A., Li W., Liu J., Artemyev A.V., Zhang X.-J. et al. // Space Sci. Rev. 2020. V. 216. P. 103. https://doi.org/10.1007/s11214-020-00721-7
- Burch J.L., Moore T.E., Torbert R.B., Giles B.L. // Space Sci. Rev. 2016. V. 199. P. 5. https://doi.org/10.1007/s11214-015-0164-9
- Пильгаев С.В., Ларченко А.В., Федоренко Ю.В., Филатов М.В., Никитенко А.С. // Приборы и техника эксперимента. 2021. Т. 64. С. 115. https://doi.org/10.31857/S0032816221040248
- Grach V.S., Demekhov A.G., Larchenko A.V. // Earth, Planets Space. 2021. V. 73. P. 129. https://doi.org/10.1186/s40623-021-01453-w
Supplementary files








