Моделирование отклика рефлектометра на возмущение плазмы ИТЭР альфвеновскими модами
- Авторы: Шелухин Д.А.1, Исаев М.Ю.1, Медведев С.Ю.1, Вершков В.А.1, Михайлов М.И.1
-
Учреждения:
- НИЦ “Курчатовский институт”
- Выпуск: Том 49, № 9 (2023)
- Страницы: 885-902
- Раздел: ТОКАМАКИ
- URL: https://journals.rcsi.science/0367-2921/article/view/139576
- DOI: https://doi.org/10.31857/S0367292121100401
- EDN: https://elibrary.ru/XAIJRO
- ID: 139576
Цитировать
Полный текст
Аннотация
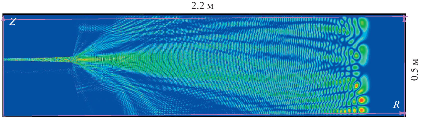
С помощью кодов KINX и VENUS для основного индуктивного и квазистационарного сценариев работы токамака ИТЭР были рассчитаны в потоковых координатах возмущения электронной плотности плазмы и магнитного поля, вызванные альфвеновскими модами. Полученные поля возмущений были переведены в инженерные координаты для расчета распространения пробного электромагнитного излучения рефлектометра с использованием двумерного полноволнового кода TAMIC RτX в реальной геометрии эксперимента. Проведенные расчеты показывают, что для отражения на нижней отсечке необыкновенной волны со стороны сильного магнитного поля в основном индуктивном сценарии относительные возмущения электрического поля отраженного сигнала рефлектометра находятся на пределе либо превышают линейную область работы диагностики. Было установлено, что возмущения сигнала в ряде сценариев в существенной степени обусловлены возмущениями магнитного поля, а не только электронной плотности, что затрудняет дальнейшую интерпретацию данных. Еще одной возможной проблемой является узкая область частот зондирующего излучения, в которой может наблюдаться альфвеновская мода. Помимо моделирования отражения электромагнитных волн от плазмы в работе также анализируется возможность измерения параметров альфвеновских мод при прохождении необыкновенной волны в окне прозрачности плазмы между верхней и нижней отсечками необыкновенной волны (рефрактометрия). Показано, что возмущение фазы на основной частоте составляет от 3 до 60 градусов, что делает невозможным использование для анализа сигнала рефрактометра с амплитудной модуляцией. Использованный подход “синтетической диагностики” может быть использован при моделировании работы рефлектометров в плазменных установках.
Ключевые слова
Об авторах
Д. А. Шелухин
НИЦ “Курчатовский институт”
Email: shelukhin_da@nrcki.ru
Россия, Москва
М. Ю. Исаев
НИЦ “Курчатовский институт”
Email: shelukhin_da@nrcki.ru
Россия, Москва
С. Ю. Медведев
НИЦ “Курчатовский институт”
Email: shelukhin_da@nrcki.ru
Россия, Москва
В. А. Вершков
НИЦ “Курчатовский институт”
Email: shelukhin_da@nrcki.ru
Россия, Москва
М. И. Михайлов
НИЦ “Курчатовский институт”
Автор, ответственный за переписку.
Email: shelukhin_da@nrcki.ru
Россия, Москва
Список литературы
- Fasoli A., Gormenzano C., Berk H.L., Breizman B., Briguglio S., Darrow D.S., Gorelenkov N., Heidbrink W.W., Jaun A., Konovalov S.V., Nazikian R., Noterdaeme J.-M., Sharapov S., Shinohara K., Testa D., Tobita K., Todo Y., Vlad G., Zonca F. // Nucl. Fusion. 2007. V. 47. № 6. S264.
- Вершков В.А., Солдатов С.В., Шелухин Д.А., Уразбаев А.О. // ПТЭ. 2004. № 2. C. 54.
- Lechte C., Conway G.D., Görler T., Tröster-Schmid C. and the ASDEX Upgrade Team // Plasma Phys. Control. Fusion. V. 59. 075006
- da Graca S., Conway G.D., Lauber P., Curran D., Igochine V., Classen I., Garcia-Munoz M., Stober J., Van Zeeland M.A., Manso M.E. // Plasma Phys. Contr. Fusion. 2012. V. 54. 095014.
- Hacquin S., Alper B., Sharapov S., Borba D., Boswell C., Fessey J., Menesis L., Walsh M. // Nucl. Fusion. 2006. V. 46. 714.
- Heidbrink W.W. // Physics of Plasmas. 2008. V. 15. 055501.
- Gorelenkov N.N., Van Zeeland M.A., Berk H.L., Cro-ker N.A., Darrow D., Fredrickson E., Fu G.Y., Heid-brink W.W., Menard J., Nazikyan R. // Physics of Plasmas. 2009. V. 16. 056107.
- Borba D., Conway G.D., Günter S., Huysmans G.T.A., Klose S., Maraschek M., Mück A., Nunes I., Pinches S.D., Serra F. // Plasma Phys. Control. Fusion. 2004. V. 46. P. 809.
- Crocker N.A., Peebles W.A., Kubota S., Fredrickson E.D., Kaye S.M., LeBlanc B.P., Menard J.E. // Phys. Rev. Lett. 2006. V. 97. 045002.
- Koenies A., Briguglio S., Gorelenkov N., Feher T., Isaev M., Lauber Ph., Mishchenko A., Spong D.A., Todo Y., Coo-per W.A., Hatzky R., Kleiber R., Borchardt M., Vlad G., Biancalani A., Bottino A. and ITPA EP TG. // Nucl. Fusion. 2018. V. 58. 126027.
- Isaev M.Y., Leonov V.M., Medvedev S.Y. // Fusion Science and Technology. 2019. V. 75. 218.
- Polevoi A.R., Medvedev S.Yu., Mukhovatov V.S., Kukushkin A.S., Murakami Y., Shimada M., Ivanov A.A. // J. Plasma Fusion Res. SERIES. 2002. V. 5. P. 82.
- Исаев М.Ю., Медведев С.Ю., Купер Э.А. // Физика плазмы. 2017. Т. 43. № 2. С. 1–11.
- Betti R., Freidberg J. // Phys. Fluids B. 1992. V. 4. P. 1465.
- Пустовитов В.Д., Шафранов В.Д. // Вопросы теории плазмы. Под редакцией Б.Б. Кадомцева. Вып. 15. М. Энергоатомиздат, 1987. С. 146.
- Sharapov S.E., Alper B., Fessey J., Hawkes N.C., Young N.P., Nazilian R., Kramer G.J., Borba D.N., Hacquin S., De La Luna E., Pinches S.D., Rapp J., Testa D., and JET-EFDA // Contributors. 2004. V. 93. № 16. P. 165001-1.
- Isaev M.Yu., Aleynikov P.B., Konovalov S.V., Medve-dev S.Yu. // 25th IAEA Fusion Energy Conference (FEC-2014), St. Petersburg, Russia, 13–18 October, 2014, TH/P3-39. http://www-naweb.iaea.org/napc/physics/FEC/FEC2014/fec2014-preprints/312_THP339.pdf
- Van Zeeland M.A., Gorelenkov N.N., Heidbrink W.W., Kramer G.J., Spong D.A., Austin M.E., Fisher R.K., Garcia Munoz M., Gorelenkova M., Luhmann N., Muraka-mi M., Nazikian R., Pace D.C., Park J.M., Tobias B.J., White R.B. // Nucl. Fusion 52(2012)094023.
- Heald M.A., Wharton C.B. // Plasma diagnostics with microwaves., New York–London–Sydney, John Wiley & Sons Inc., 1998.
- Vershkov V., Manso M., Vayakis G., Sanchez A.J., Wagner D., Walker C., Soldatov S., Kuznetsova L., Zhurav-lev V., Sestroretskii B., ITER Joint Central Team and Russian and EU Home Teams // Diagnostics for Thermonuclear Fusion Reactors 2. New York, Plenum Press, 1998. P. 107.
- Krasilnikov A.V., Kaschuck Y.A., Vershkov V.A., Pet-rov A.A., Petrov V.G., Tugarinov S.N. // International Conference on Fusion Reactor Diagnostics, Varenna, Italy September 9–13, 2013.
- Delaunay B. // Bulletin de l’Académie des Sciences de l’URSS, Classe des Sciences Mathématiques et Naturelles. 1934. № 6. P. 793–800. https://www.mathworks.com/help/matlab/ref/griddata.html
- Schneller M., Lauber Ph., Briguglio S. // Plasma Phys. Control. Fusion. 2016. V. 58. P. 014019.
- Климов К., Годин А., Перфильев В. Схемы элементарного объема пространства в подмагниченной плазме. Точность + скорость = TAMIC. М.: LA-MBERT Academic Publishing, 2012.
- Mazzucato E., Nazikian R. // Rev. Sci. Intrum. 1995. V. 66. № 2. P. 1237.
- ITER Project Requirements (PR) // ITER Organization, 2021. P. 1–159.
- Soldatov S.V., Bagdasarov A.A., Chistiakov V.V., Dnestrovskii Yu.N., Ivanov N.V., Kakurin A.M., Martynov D.A., Piterskii V.V., Pozniak V.I., Vershkov V.A., Tsaun S.V., Yakovets A.N., Volkov V.V. // Proc. of 24th EPS Conference on Contr. Fus. and Plasma Phys. Berchtesgarden, Germany. 1997. V. 21A. Pt 2. P. 673
- Teledyne / SP Devices ADQ 414 Datasheet. 2020, P. 1–32. https://www.spdevices.com/documents/datasheets/19-adq14-datasheet/file
Дополнительные файлы



















