О формировании и стационарном поддержании пикированных профилей давления в турбулентной плазме токамаков
- Авторы: Пастухов В.П.1, Смирнов Д.В.1, Чудин Н.В.1
-
Учреждения:
- НИЦ “Курчатовский институт”
- Выпуск: Том 49, № 7 (2023)
- Страницы: 609-628
- Раздел: ТОКАМАКИ
- URL: https://journals.rcsi.science/0367-2921/article/view/139559
- DOI: https://doi.org/10.31857/S0367292123600061
- EDN: https://elibrary.ru/WEWHWI
- ID: 139559
Цитировать
Полный текст
Аннотация
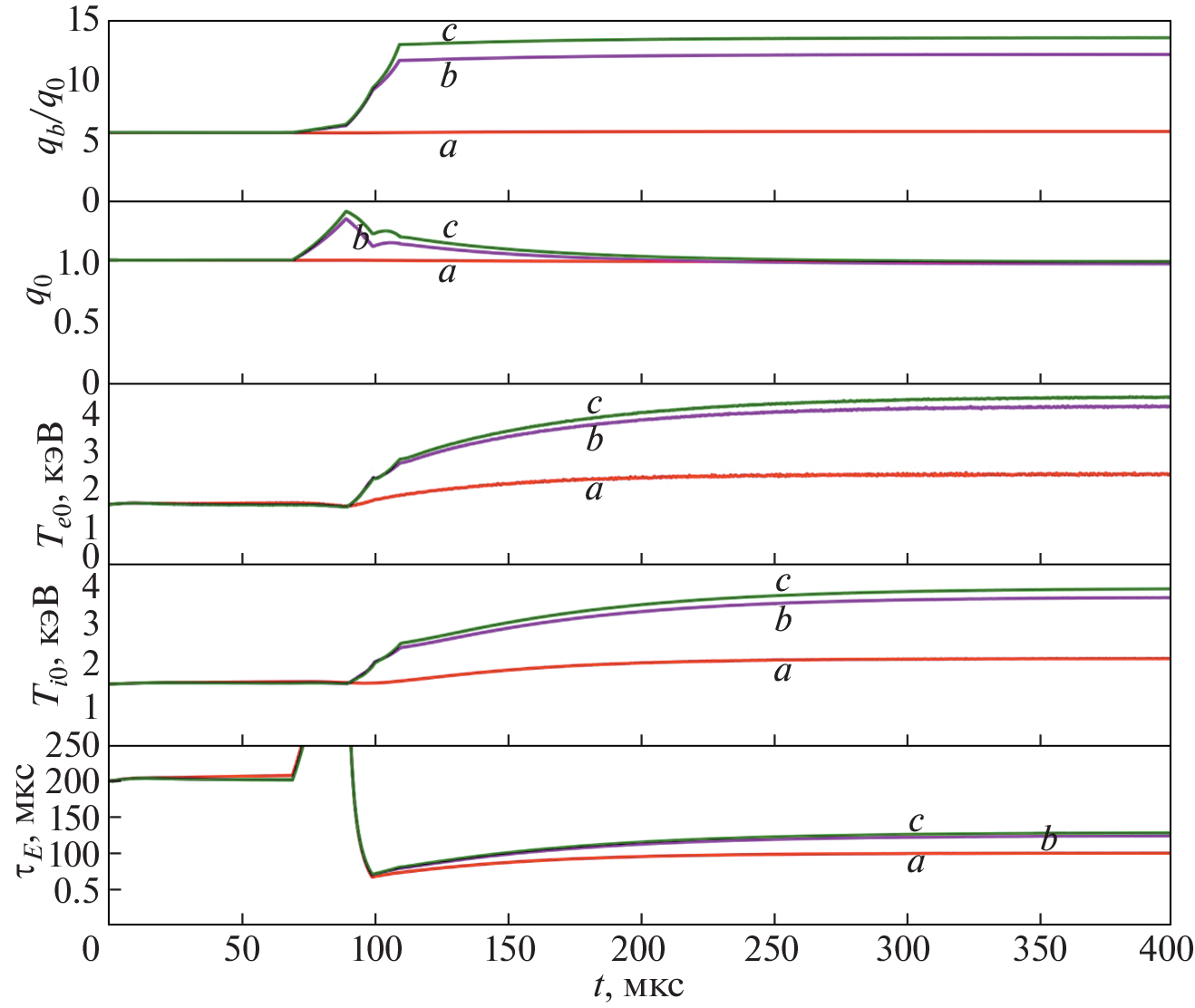
Рассмотрена теоретическая модель усиления пикированности радиального распределения тепловой энергии плазмы и повышения времени ее удержания за счет формирования профилей тока, обеспечивающих повышенную величину коэффициента запаса устойчивости \({{q}_{b}}\) на внешней границе плазмы. Развита модель формирования и стационарного поддержания пикированных профилей плотности тока, обеспечивающих поддержание равновесных состояний плазменного шнура с повышенной величиной \({{q}_{b}}\) и сохранением \({{q}_{0}} \approx 1\) на магнитной оси. Модель основана на значительном снижении тока \({{I}_{{ind}}}\), поддерживаемого индуктором, при одновременном включении центрального ЭЦР-нагрева и электрон-циклотронной генерации тока ECCD. Путем компьютерного моделирования самосогласованной эволюции турбулентной плазмы в условиях токамаков Т-10 и Т-15МД, показано, что в сценариях разрядов с трех-четырех кратным снижением тока \({{I}_{{ind}}}\), на ЭЦР-стадии разряда достигается примерно двухкратное повышение температур электронов и ионов в центре шнура по сравнению со стандартными разрядами с той же мощностью нагрева.
Об авторах
В. П. Пастухов
НИЦ “Курчатовский институт”
Email: Pastukhov_VP@nrcki.ru
Россия, Москва
Д. В. Смирнов
НИЦ “Курчатовский институт”
Email: Pastukhov_VP@nrcki.ru
Россия, Москва
Н. В. Чудин
НИЦ “Курчатовский институт”
Автор, ответственный за переписку.
Email: Pastukhov_VP@nrcki.ru
Россия, Москва
Список литературы
- ITER Physics Basis Editors // Nucl. Fusion. 1999. V. 39. P. 2137.
- Пастухов В.П., Смирнов Д.В. // Письма в ЖЭТФ. 2021. Т. 114. С. 242.
- Coppi B. // Comments Plasma Phys. Control. Fusion. 1980. V. 5. P. 261.
- Esiptchuk Yu.V., Razumova K.A. // Plasma Phys. Control. Fusion. 1986. V. 28. P. 1253.
- Razumova K.A., Andreev V.F., Donnґe A.J.H., Hoge-weij G.M.D., Lysenko S.E., Shelukhin D.A., Spak-man G.W., Vershkov V.A., Zhuravlev V.A. // Plasma Phys. Control. Fusion. 2006. V. 48. P. 1373.
- Razumova K.A., Andreev V.F., Dnestrovskij A.Yu., Kis-lov A.Ya., Kirneva N.A., Lysenko S.E., Pavlov Yu.D., Poznyak V.I., Shafranov T.V., Trukhina E.V., Zhuravlev V.A., Donne A.J.H., Hogeweij G.M.D., the T-10 team and the RTP team // Plasma Phys. Control. Fusion. 2008. V. 50. P. 105004.
- Razumova K.A., Andreev V.F., Kislov A.Ya., Kirneva N.A., Lysenko S.E., Pavlov Yu.D., Shafranov T.V., the T‑10 Team, Donne A.J.H., Hogeweij G.M.D., Spakman G.W., Jaspers R., the TEXTOR team, Kantor M., Walsh M. // Nuclear Fusion. 2009. V. 49. P. 065011.
- Biscamp D. // Comments Plasma Phys. Control. Fusion. 1986. V. 10. P. 165.
- Кадомцев Б.Б. // Физика плазмы. 1987. Т. 13. С. 771.
- Днестровский Ю.Н., Днестровский А.Ю., Лысен-ко С.Е., Черкасов С.В., Уолш М.Д. // Физика плазмы. 2004. Т. 30. С. 3.
- Днестровский Ю.Н., Днестровский А.Ю., Лысен-ко С.Е. // Физика плазмы. 2005. Т. 31. С. 579.
- Яньков В.В. // Письма в ЖЭТФ. 1994. Т. 60. С. 169.
- Yankov V.V., Nycander J. // Phys. Plasmas. 1997. V. 4. P. 2907.
- Sarazin Y., Grandgirard V., Abitebou J., Allfrey S., Gar-bet X., Ghendrih Ph., Latu G., Strugarek A., Dif-Pradalier G., Diamond P.H., Ku S., Chang C.S., McMillan T., Tran M., Villard L., Jolliet S., Bottino A., Ange-lino P. // Nuclear Fusion. 2011. V. 51. P. 103023
- Murakami M., Park J.M., Giruzzi G., Garcia J., Bonoli P., Budny R.V., Doyle E.J., Fukuyama A., Hayashi N., Honda M., Hubbard A., Ide S., Imbeaux F., Jaeger E.F., Luce T.C., Na Y.S., Oikawa T., Osborne T.H., Parail V., Polevo A.I., Prater R., Sips A.C.C., Snipes J., John H.E.St., Snyder P.B., Voitsekhovitch I. // Nuclear Fusion. 2011. V. 51. P. 103006.
- Scott B.D. // Plasma Phys. Control. Fusion. 2006. V. 48. P. B277.
- Idomura Y., Urano H., Aiba N., Tokuda S. // Nuclear Fusion. 2009. V. 49. P. 065029.
- Pastukhov V.P., Chudin N.V. // Proc. 22-nd IAEA Fusion Energy Conf. Geneva, Switzerland, 2008. Report TH/P8-26.
- Пастухов В.П., Чудин Н.В. // Письма в ЖЭТФ 2009. Т. 90. С. 722.
- Pastukhov V.P., Chudin N.V. // Proc. 23-nd IAEA Fusion Energy Conf. Daejeon, Republic of Korea, 2010. Report THC/P4-22.
- Pastukhov V.P., Chudin N.V., Smirnov D.V. // Plasma Phys. Control. Fusion. 2011. V. 53. P. 054015.
- Пастухов В.П., Смирнов Д.В. // Физика плазмы. 2016. Т. 42. С. 307.
- Пастухов В.П., Кирнева Н.А., Смирнов Д.В. // Физика плазмы. 2019. Т. 45. С. 1072.
- Shoucri M.M., Shkarofsky I.P., Pacher G.W., Pacher H.D., Kalnavarns J., Couture P., Decoste R., Gregory B.C., Haddad E., Janicki C., Lachambre J.-L., LeClair G., Richard N., Simm C., Onge M.St., Whyte D., Tokamak de Varennes Team // Nuclear Fusion. 1990. V. 30. P. 2563.
- Sakharov N.V., Akatova T.Yu., Askinazi L.G., Afana-siev W.I., Bulanin V.V., Golant V.E., Goncharov S.G., Krikunov S.V., Korneev D.O., Korotkov A.A., Lipin B.M., Minaev V.B., Podushnikova K.A., Razdobarin G.T., Rozhdestvensky V.V., Semenov V.V., Tukachinsky A.S., Chemyshev F.V. and Yaroshevich S.P. // Plasma Phys. Control. Fusion. 1993. V. 35. P. 411418.
- Kurskiev G.S., Gusev V.K., Sakharov N.V., Balachen-kov I.M., Bakharev N.N.,Bulanin V.V., Chernyshev F.V., Kavin A.A., Kiselev E.O., Khromov1 N.A., Minaev V.B., Miroshnikov I.V., Patrov M.I., Petrov A.V., Petrov Yu.V., Shchegolev P.B., Telnova A.Yu., Tokarev V.A., Tols-tyakov S.Yu., Tukhmeneva E.A., Varfolomeev V.I., Yashin A.Yu., Zhiltsov N.S. // Nucl. Fusion. 2021. V. 61. P. 064001.
- Sabbagh S.A., Gross R.A., Mauel M.E., Navratil G.A., Bell M.G., Bell R., Bitter M., Bretz N.L., Budny R.V., Bush C.E., Chance M.S., Efthimion P.C., Fredrickson E.D., Hatcher R., Hawryluk R.J., Hirshman S.P., Janos A.C., Jardin S.C., Jassby D.L., Manickam J., McCune D.C., McGuire K.M., Medley S.S., Mueller D., Nagayama Y., Owens D.K., Okabayashi M., Park H.K., Ramsey A.T., Stratton B.C., Synakowski E.J., Taylor G., Wieland R.M., Zarnstorff M.C., Kesner J., Marmar E.S., Terry J.L. // Phys. Fluids B. 1991. V. 3. P. 2277.
- Nave M.F.F., Lomas P.J., Huysmans G.T.A., Alper B., Borba D., De Esch B., Gowers C.W., Guo H.Y., Jones T.T.C., Keilhacker M., Parail V.V., Rimini F.G., Schunke B., Smeulders P., Thomas P.R. // Nuclear Fusion. 1999. V. 39. P. 1567
- Mirnov S.V. // Nuclear Fusion. 1969. V. 9. P. 57.
- Захаров Л.Е., Шафранов В.Д. // Вопросы теории плазмы / Под ред. Леонтовича М.А. и Кадомце-ва Б.Б. Вып. 11. М.: Энергоатомиздат. 1982. С. 118.
- Pereverzev G.V., Yushmanov P.N. // Max-Planck-Institut für Plasmaphysik, ID 282186, http://edoc.mpg.de/282186.
- Sautera O., Angioni C. // Phys. Plasmas. 1999. V. 6. P. 2834
- Ivanov A.A., Khayrutdinov R.R., Medvedev S.Yu., Poshe-khonov Yu.Yu. // Max-Planck-Institut für Plasmaphysik, ID 282186, http://edoc.mpg.de/282186.
- Днестровский А.Ю., Пастухов В.П., Чудин Н.В. // Физика плазмы. 2017. Т. 43. С. 325.
- Azizov E.A., Leonov V.M., Panasenkov A.A., Tilinin G.N., Khvostenko P.P. // Transactions of Fusion Science & Technology. 2011. V. 6. № 1T. P. 180.
- Днестровский Ю.Н., Данилов А.В., Днестров-ский А.Ю., Лысенко С.Е., Сушков А.В.,Черкасов С.В. // ВАНТ. Сер. Термоядерный синтез. 2013. Т. 36. С. 45.
- Dnestrovskij Yu.N. // Plasma Phys. Controlled Fusion. 2021. V. 63. P. 055012.
- Alikaev V.V., Bagdasarov A.A., Bjrshegovskij A.A., Dremin M.M., Gorelov Yu.A., Esipchuk Yu.V., Kislov A.Ya., Kislov D.A., Lysenko S.E., Notkin G.E., Parail V.V., Rasumova K.A., Roj I.N., Trukhin V.M., Vasin N.L. // N-uclear Fusion. 1992. V. 32. P. 1811.
Дополнительные файлы














