Цифровая модель рентгеновского спектрографа скользящего падения и методики восстановления спектра в диапазоне 2–40 нм
- Авторы: Скобляков А.В.1, Колесников Д.С.1, Канцырев А.В.1, Голубев А.А.1,2, Рудской И.В.1, Грицук А.Н.3, Грабовский Е.В.3, Митрофанов К.Н.3, Олейник Г.М.3
-
Учреждения:
- Национальный исследовательский центр “Курчатовский институт”
- ЧУ “Наука и Инновации” Росатом
- Государственный научный центр Российской Федерации “Троицкий институт инновационных и термоядерных исследований”
- Выпуск: Том 49, № 6 (2023)
- Страницы: 558-575
- Раздел: ДИНАМИКА ПЛАЗМЫ
- URL: https://journals.rcsi.science/0367-2921/article/view/139558
- DOI: https://doi.org/10.31857/S0367292122601357
- EDN: https://elibrary.ru/WXGEOO
- ID: 139558
Цитировать
Полный текст
Аннотация
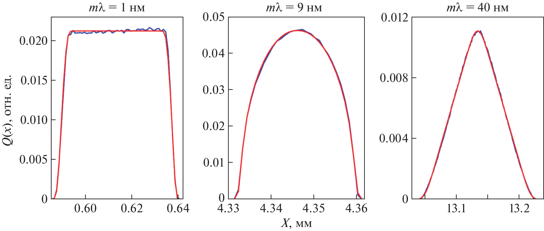
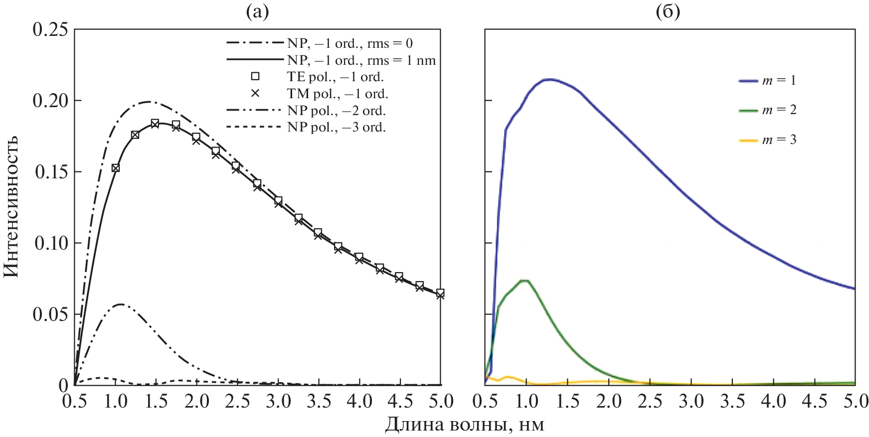
Разработана цифровая модель рентгеновского спектрографа скользящего падения и методик восстановления спектров мягкого рентгеновского излучения плазмы Z-пинча на установке Ангара-5-1 в области 2–40 нм. Основные проблемы, препятствующие достоверному качественному и количественному восстановлению исходных рентгеновских спектров Z-пинча, – наложение сигналов от разных порядков дифракции и сложный вид аппаратной функции прибора. Приведены две методики восстановления спектра. В первой методике разработана цифровая модель спектрографа в среде Монте-Карло моделирования Geant4, учитывающая геометрию эксперимента и процессы взаимодействия рентгеновского излучения с дифракционной решеткой. В модели с учетом конкретной формы профиля штриха дифракционной решетки и дифференциального метода решения задачи дифракции рассчитывается распределение интенсивности рентгеновского излучения в различные порядки дифракции в зависимости от длины волны. С использованием разработанной модели спектрографа выполнен расчет его аппаратной функции. Вторая методика не использует конкретную форму штриха решетки, а на основе анализа калибрационных спектрограмм строит дисперсионное соотношение и позволяет восстановить спектр. В конце работы приведено сравнение результатов восстановления по первой и второй методикам и показана достаточно высокая степень совпадения полученных по разным методикам спектров.
Об авторах
А. В. Скобляков
Национальный исследовательский центр “Курчатовский институт”
Email: dinAlt220@yandex.ru
Россия, Москва
Д. С. Колесников
Национальный исследовательский центр “Курчатовский институт”
Email: dinAlt220@yandex.ru
Россия, Москва
А. В. Канцырев
Национальный исследовательский центр “Курчатовский институт”
Email: dinAlt220@yandex.ru
Россия, Москва
А. А. Голубев
Национальный исследовательский центр “Курчатовский институт”; ЧУ “Наука и Инновации” Росатом
Email: dinAlt220@yandex.ru
Россия, Москва; Россия, Москва
И. В. Рудской
Национальный исследовательский центр “Курчатовский институт”
Email: dinAlt220@yandex.ru
Россия, Москва
А. Н. Грицук
Государственный научный центр Российской Федерации “Троицкий институт инновационных и термоядерных исследований”
Email: dinAlt220@yandex.ru
Россия, Москва
Е. В. Грабовский
Государственный научный центр Российской Федерации “Троицкий институт инновационных и термоядерных исследований”
Email: dinAlt220@yandex.ru
Россия, Москва
К. Н. Митрофанов
Государственный научный центр Российской Федерации “Троицкий институт инновационных и термоядерных исследований”
Email: dinAlt220@yandex.ru
Россия, Москва
Г. М. Олейник
Государственный научный центр Российской Федерации “Троицкий институт инновационных и термоядерных исследований”
Автор, ответственный за переписку.
Email: dinAlt220@yandex.ru
Россия, Москва
Список литературы
- Альбиков З.А., Велихов Е.П., Веретенников А.И., Глухих В.А., Грабовский Е.В., Грязнов Г.М., Гу-сев О.А., Жемчужников Г.М., Зайцев В.И., Золотовский О.А., Истомин Ю.А., Козлов О.В., Крашенинников И.С., Курочкин С.С., Латманизова Г.М., Матвеев В.В., Минеев Г.В., Михайлов В.Н., Недосеев С.Л., Олейник Г.М., Певчев В.П., Перлин А.С., Печер-ский О.П., Письменный В.Д., Рудаков Л.И., Смир-нов В.П., Царфин В.Я., Ямпольский И.Р. // Атомная энергия. 1990. Т. 68. С. 26.
- Шевелько А.П., Блисс Д.Е., Казаков Е.Д. // Физика плазмы. 2008. Т. 34. С. 1021.
- Митрофанов К.Н., Грабовский Е.В., Грицук А.Н., Лаухин Я.Н., Александров В.В., Олейник Г.М., Медовщиков С.Ф., Шевелько А.П. // Физика плазмы. 2013. Т. 39. С. 71.
- Gritsuk A.N., Aleksandrov V.V., Grabovskiy E.V., Mitrofanov K.N., Oleinik G.M., Sasorov P. V., Shevelko A.P. // J. Physics: Confer. Ser. 2019. V. 1238. P. 012053.
- Программа XrayDif для моделирования взаимодействия рентгеновского излучения с дифракционной решеткой” (свидетельство о государственной регистрации № 2021680765).
- Geant4: User’s Guide: For Application Developers. https://geant4-userdoc.web.cern.ch/UsersGuides/ForApplicationDeveloper/fo/BookForApplicationDevelopers.pdf.
- Petit R., Cadilhac M., Maystre D., Vincenct P., Nevie-re M., McPhedrad R.C., Derrick G.H., Botten L.C. Electromagnetic Theory of Gratings. Berlin–Heidelberg–New York: Springer-Verlag, 1980.
- Maystre D., Popov E. Gratings, Theory and Numeric Applications Ch. 7: Differential Theory of Periodic Structures, 2014.
- Neviere M., Popov E. Light Propagation in Periodic Media: Differential Theory and Design. CRC Press, 2002.
- X-Ray Optics Database. http://www.cxro.lbl.gov/.
- PCGrate software. https://www.pcgrate.com/.
- Goray L.I. // Proceed. SPIE. February 2004. https://doi.org/10.1117/12.505679
- ACM. https://www.ntmdt-si.com/products/atomic-force-microscopes/ntegra-ii.
- Geant4: Physics Reference Manual. https://geant4-userdoc.web.cern.ch/ UsersGuides/PhysicsReferenceManual/fo/PhysicsReferenceManual.pdf.
- Geant4: Physics List Guide. https://geant4-userdoc.web.cern.ch/UsersGuides/PhysicsListGuide/fo/PhysicsListGuide.pdf.
- Geant4: User’s Guide: For Toolkit Developers. https://geant4-userdoc.web.cern.ch/UsersGuides/ForToolkitDeveloper/fo/BookForToolkitDevelopers.pdf.
- CADMesh. https://github.com/christopherpoole/CADMesh.
- MKП. https://baspik.com/products/nauka/mkp46_12/.
- Малышев В.И. Введение в экспериментальную спектрометрию. М.: Наука, 1979.
- MATLAB. https://www.mathworks.com/products/matlab.html.
- Harte C.S., Higashiguchi T., Otsuka T., D’Arcy R., Kilbane D., O’Sullivan G. // J. Phys. B Atomic Molecular and Optical Physics. 2012. V. 45(20). P. 205002.
- Gritsuk A.N., Aleksandrov V.V., Grabovskiy E.V., Lau-khin Y., Mitrofanov K.N., Oleinik G.M., Volkov G.S., Frolov I.N., Shevel’ko A.P. // IEEE Transactions Plasma Sci. 2013. V. 41. P. 3184.
- Aleksandrov V.V., Branitski A.V., Gasilov V.A., Grabov-skiy E.V., Gritsuk A.N., Mitrofanov K.N., Olkhovs-kaya O.G., Sasorov P.V., Frolov I.N. // Plasma Phys. Control. Fusion. 2019. V. 61. P. 035009.
- Александров В.В., Браницкий А.В., Болдарев А.С., Гасилов В.А., Грабовский Е.В., Грицук А.Н., Митрофанов К.Н., Ольховская О.Г., Сасоров П.В. // Физика плазмы. 2021. Т. 47. С. 220.
- Александров В.В., Баско М.М., Браницкий А.В., Грабовский Е.В., Грицук А.Н., Митрофанов К.Н., Олейник Г.М., Сасоров П.В., Фролов И.Н. // Физика плазмы. 2021. Т. 47. С. 613.
- Митрофанов К.Н., Александров В.В., Браницкий А.В., Грабовский Е.В., Грицук А.Н., Олейник Г.М., Фро-лов И.Н. // Физика плазмы. 2021. Т. 47. С. 887.
- Mitrofanov K.N., Aleksandrov V.V., Branitski A.V., Grabovskiy E.V., Gritsuk A.N., Oleinik G.M., Frolov I.N., Samokhin A.A., Olkhovskaya O.G., Gasilov V.A. // Plasma Phys. Control. Fusion 2022. V. 64. P. 045007.
- Kologrivov A.A., Rupasov A.A., Sklizkov G.V. // Nuclear Inst. Methods Phys. Res. 2019. V. A916. P. 313.
Дополнительные файлы

























