Plasma–Dust System in the Martian Ionosphere
- Authors: Reznichenko Y.S.1, Dubinskii A.Y.2, Popel S.I.2
-
Affiliations:
- Moscow Institute of Physics and Technology (National Research University)
- Space Research Institute, Russian Academy of Sciences
- Issue: Vol 49, No 1 (2023)
- Pages: 57-66
- Section: ПЫЛЕВАЯ ПЛАЗМА
- URL: https://journals.rcsi.science/0367-2921/article/view/139533
- DOI: https://doi.org/10.31857/S0367292122600960
- EDN: https://elibrary.ru/BGOCBM
- ID: 139533
Cite item
Full Text
Abstract
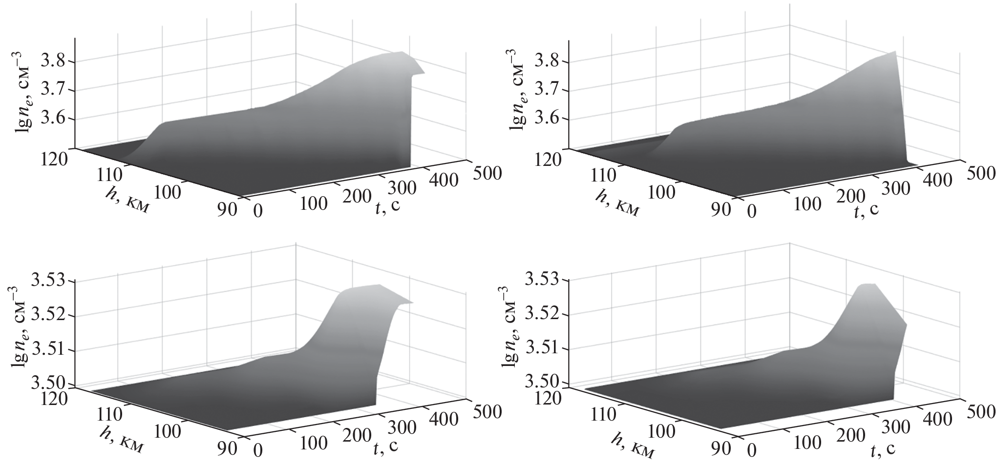
We present a theoretical model describing possible mechanism of formation and evolution of plasma–dust clouds observed in the Martian ionosphere by the Mars Science Laboratory Curiosity rover in March 2021. The model describes sedimentation of dust particles in the supersaturated carbon dioxide vapor, growth of dust seeds due to carbon dioxide nucleation, charging of dust particles, and changes in electron and ion number densities of the ionospheric plasma over time in particular. It is demonstrated that formation of the layered structure of the dust cloud the characteristic sedimentation time of which is on the order of several minutes can be illustrated within the framework of the proposed model. Characteristic size of the dust particles are calculated and found to be consistent with the results of the measurements. In addition, characteristic charges of dust particles in the presence and in the absence of the photoelectric effect are calculated. It is demonstrated that dust particles acquire negative charge in the absence of the photoelectric effect. Simultaneously, number densities of plasma electrons and ions decrease. In the presence of the photoelectric effect, particles containing metallic impurities carry a positive charge. In the process, number density of plasma electrons increases, while ion number density continues to decrease.
Keywords
About the authors
Yu. S. Reznichenko
Moscow Institute of Physics and Technology (National Research University)
Email: dvju@yandex.ru
141700, Dolgoprudny, Moscow oblast, Russia
A. Yu. Dubinskii
Space Research Institute, Russian Academy of Sciences
Email: popel@iki.rssi.ru
117997, Moscow, Russia
S. I. Popel
Space Research Institute, Russian Academy of Sciences
Author for correspondence.
Email: izvekova@iki.rssi.ru
117997, Moscow, Russia
References
- Shukla P.K., Mamun A.A. Introduction to Dusty Plasmas Physics. Bristol/Philadelphia: Institute of Physics Publishing, 2002.
- Tsytovich V.N., Morfill G.E., Vladimirov S.V., Thomas H. // Elementary Physics of Complex Plasmas. Berlin/Heidelberg: Springer, 2008.
- Fortov V.E., Ivlev A.V., Khrapak S.A., Khrapak A.G., Morfill G.E. // Phys. Reports. 2005. V. 421. P. 1.
- Popel S.I., Kopnin S.I., Yu M.Y., Ma J.X., Huang F. // J. Phys. D: Applied Phys. 2011. V. 44. P. 174036.
- Klumov B.A., Popel S.I., Bingham R. // Письма в ЖЭТФ. 2000. Т. 72. С. 524.
- Клумов Б.А., Морфилл Г.Е., Попель С.И. // ЖЭТФ. 2005. Т. 127. С. 171.
- Клумов Б.А., Морфилл Г.Е., Владимиров С.В. // Письма в ЖЭТФ. 2005. Т. 82. С. 714.
- von Zahn U., Baumgarten G., Berger U., Fiedler J., Hartogh P. // Atmos. Chem. Phys. 2004. V. 4. P. 2449.
- Cho J.Y.N., Röttger J. // J. Geophys. Res. 1997. V. 102. P. 2001.
- Gadsden M., Schröder W. Noctilucent Clouds. Berlin: Springer-Verlag, 1989.
- Montmessin F., Bertaux J.L., Quémerais E., Korablev O., Rannou P., Forget F., Perriera S., Fussend D., Lebonnoisc S., Rébéraca A. // Icarus. 2006. V. 183. P. 403.
- Montmessin F., Gondet B., Bibring J.P., Langevin Y., Drossart P., Forget F., Fouchet T. // J. Geophys. Res. 2007. V. 112. P. E11S90.
- Whiteway J.A., Komguem L., Dickinson C., Cook C., Illnicki M., Seabrook J., Popovici V., Duck T.J., Davy R., Taylor P.A., Pathak J., Fisher D., Carswell A.I., Daly M., Hipkin V., Zent A.P., Hecht M.H., Wood S.E., Tamppa-ri L.K., Renno N., Moores J.E., Lemmon M.T., Daerden F., Smith P. // Science. 2009. V. 325 (5936). P. 68.
- Hayne P.O., Paige D.A., Schofield J.T., Kass D.M., Kleinböhl A., Heavens N.G., McCleese D.J. // J. Geophys. Res. 2012. V. 117. P. E08014.
- https://www.newsru.com/hitech/30may2021/mars_clouds. html
- Дубинский А.Ю., Попель С.И. // Письма в ЖЭТФ. 2012. Т. 96. С. 22.
- Извекова Ю.Н., Попель С.И. // Физика плазмы. 2017. Т. 43. С. 1010.
- Дубинский А.Ю., Резниченко Ю.С., Попель С.И. // Физика плазмы. 2019. Т. 45. С. 913.
- Reznichenko Yu.S., Dubinskii A.Yu., Popel S.I. // J. Phys.: Conf. Ser. 2020. V. 1556. P. 012072.
- Forget F., Montmessin F., Bertaux J.L., González-Galindo F., Lebonnois S., Quémerais E., Reberac A., Dimarellis E., López-Valverde M.A. // J. Geophys. Res. 2009. V. 114. P. 01004.
- Fox J.L., Benna M., Mahaffy P.R., Jakosky B.M. // Geophys. Res. Lett. 2015. V. 42. P. 8977.
- Алтунин В.В. // Теплофизические свойства двуокиси углерода. М.: Издательство стандартов, 1975. С. 546.
- Patela M.R., Zarneckia J.C., Catlingb D.C. // Planet. Space Sci. 2002. V. 50. P. 915.
- Vicente-Retortillo Á., Valero F., Vázquez L., and Martí-nez G.M. // J. Space Weather Space Clim. 2015. V. 5. Art. A33.
- Bertaux J.-L., Korablev O., Perrier S., Quémerais E., Montmessin F., Leblanc F., Lebonnois S., Rannou P., Lefévre F., Forget F., Fedorova A., Dimarellis E., Rebe-rac A., Fonteyn D., Chaufray J.Y., Guibert S. // J. Geophys. Res. 2006. V. 111. Art. E10S90.
- Bertaux J.-L., Fonteyn D., Korablev O., Chassefiére E., Dimarellis E., Dubois J.-P., Hauchecorne A., Lefévre F., Cabane M., Rannou P., Levasseur-Regourd A.-C., Cernogora G., Quémerais E., Hermans C., Kockarts G., Lippens C., de Maziere M., Moreau D., Muller C., Neefs E., Simon P.-C., Forget F., Hourdin F., Talagrand O., Mo-roz V.-I., Rodin A., Sandel B., Stern A. // ESA Special Publication. 2004. V. 1240. P. 95.
- Delgado-Bonal A., Zorzano M.-P., Martín-Torres F.J. // Solar Energy. 2016. V. 134. P. 228.
- González-Galindo F. // Oxford Research Encyclopedia, Planetary Science. Oxford University Press, USA. 2020.
- Christou A., Vaubaillon J., Withers P., Hueso R., Kil-len R. // Earth and Planetary Astrophysics. Cambridge University Press. 2019. P. 119.
- Chen F.F. // Plasma Diagnostic Techniques / Eds. R.H. Huddlestone, S.L. Leonard. New York: Academic, 1965. Ch. 4.
- Barnes M.S., Keller J.H., Forster J.C., O’Neill J.A., Coultas D.K. // Phys. Rev. Lett. 1992. V. 68. P. 313.
Supplementary files










