Manifestations of Anomalous Dissipation in Dusty Plasma Systems
- Authors: Popel S.I.1
- 
							Affiliations: 
							- Space Research Institute, Russian Academy of Sciences
 
- Issue: Vol 49, No 1 (2023)
- Pages: 48-56
- Section: ПЫЛЕВАЯ ПЛАЗМА
- URL: https://journals.rcsi.science/0367-2921/article/view/139531
- DOI: https://doi.org/10.31857/S0367292122600856
- EDN: https://elibrary.ru/BGAYKS
- ID: 139531
Cite item
Full Text
Abstract
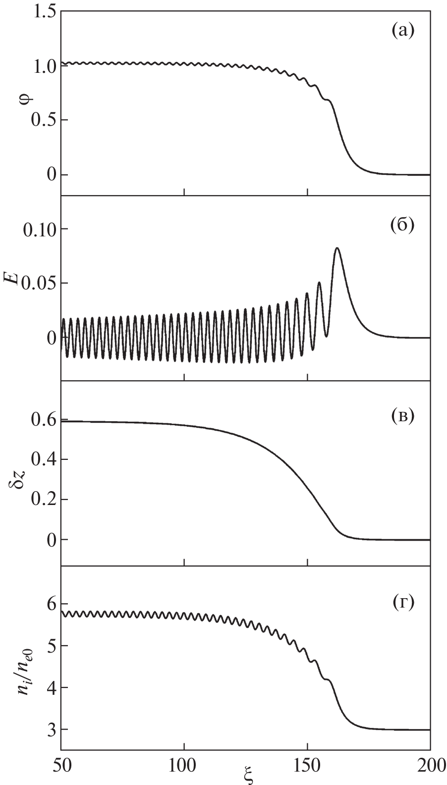
A brief review of studies on dusty plasmas, in which an important place is occupied by anomalous dissipation associated with dust particle charging, is given. It is noted that anomalous dissipation is one of the main features that distinguishes dusty plasma from ordinary (not containing charged dust particles) plasma. Particular attention is paid to the manifestations of anomalous dissipation in the dusty plasma system near the Moon and to nonlinear waves propagating in the dusty plasma. In the case of the plasma near the Moon, anomalous dissipation is associated exclusively with dust particle charging. Taking into account anomalous dissipation makes it possible to determine whether it is possible to use the approximation of levitating dust particles to describe the circumlunar dusty plasma, i.e., particles for which it can be considered that there is a balance between the electrostatic and gravitational forces acting on the particle or the manifestations of dynamic effects (e.g., oscillations of dust particle trajectories) are significant. When considering nonlinear waves, the processes of charging dust particles affect the shape of the nonlinear wave and lead to its deformation in the sense of breaking, e.g., the axisymmetric structure. As a result, the nonlinear wave acquires the characteristic features of a shock-wave structure. Absorption of ions by dust particles and Coulomb collisions between ions and dust particles lead to a decrease in the amplitude of the nonlinear perturbation. A condition for the existence of “weakly dissipative” solitons is obtained. It occurs that “weakly dissipative” solitons can exist as long as they are not yet very strongly deformed (in the sense of the violation of the axisymmetric structure). At the same time, their amplitude decreases. Manifestations of anomalous dissipation are important in the dusty plasma in the laboratory and in nature, e.g., in the vicinity of the Moon, atmosphereless bodies of the solar system, comets, etc.
Keywords
About the authors
S. I. Popel
Space Research Institute, Russian Academy of Sciences
							Author for correspondence.
							Email: izvekova@iki.rssi.ru
				                					                																			                												                								117997, Moscow, Russia						
References
- Dusty plasmas: physics, chemistry and technological impacts in plasma processing / ed. A. Bouchoule. N.Y.: John Wiley and Sons Inc., 1999. 408 p.
- Shukla P.K., Mamun A.A. Introduction to dusty plasmas physics. Bristol: IOP Publishing, 2002. 265 p.
- Vladimirov S.V., Ostrikov K., Samarian A.A. Physics and applications of complex plasmas. London: Imperial College Press, 2005. 500 p.
- Tsytovich V.N., Morfill G.E., Vladimirov S.V., Thomas H. Elementary physics of complex plasmas. Berlin: Springer-Verlag, 2008. 370 p.
- Попель С.И. Лекции по физике пылевой плазмы. М.: МФТИ, 2012. 160 с.
- Фортов В.Е., Батурин Ю.М., Морфилл Г.О., Петров О.Ф. Плазменный кристалл, Космические эксперименты. М.: Физматлит, 2015.
- Цытович В.Н. // УФН. 1997. Т. 167. С. 57.
- Цытович В.Н., Винтер Дж. // УФН. 1998. Т. 168. С. 899.
- Tsytovich V.N. // Austral. J. Phys. 1998. V. 51. P. 763.
- Merlino R.L., Goree J.A. // Phys. Today. 2004. № 7. P. 32.
- Popel S.I., Morfill G.E. // Ukrainian J. Phys. 2005. V. 50. P. 161.
- Vladimirov S.V., Ostrikov K. // Phys. Reports. 2004. V. 393. P. 175.
- Ostrikov K. // Rev. Mod. Phys. 2005. V. 77. P. 489.
- Нефедов А.П., Петров О.Ф., Фортов В.Е. // УФН. 1997. Т. 167. С. 1215.
- Фортов В.Е., Храпак А.Г., Храпак С.А., Молотков В.И., Петров О.Ф. // УФН. 2004. Т. 174. С. 495.
- Fortov V.E., Ivlev A.V., Khrapak S.A., Khrapak A.G., Morfill G.E. // Phys. Reports. 2005. V. 421. P. 1.
- Popel S.I., Kopnin S.I., Yu M.Y., Ma J.X., Huang F. // J. Phys. D: Applied Phys. 2011. V. 44. P. 174036.
- Popel S.I., Zelenyi L.M., Golub’ A.P., Dubinskii A.Yu. // Planet. Space Sci. 2018. V. 156. P. 71.
- Зеленый Л.М., Попель С.И., Захаров А.В. // Физика плазмы. 2020. Т. 46. С. 441.
- Tsytovich V.N., Havnes O. // Comm. Plasma Phys. Contr. Fusion. 1993. V. 15. P. 267.
- Benkadda S., Tsytovich V.N. // Phys. Plasmas. 1995. V. 2. P. 2970.
- Popel S.I., Yu M.Y., Tsytovich V.N. // Phys. Plasmas. 1996. V. 3. P. 4313.
- Попель С.И., Голубь А.П., Лосева Т.В. // Письма в ЖЭТФ. 2001. Т. 74. С. 396.
- Popel S.I., Gisko A.A. // Nonlin. Processes Geophys. 2006. V. 13. P. 223.
- Popel S.I., Golub’ A.P., Losseva T.V., Ivlev A.V., Khra-pak S.A., Morfill G. // Phys. Rev. E. 2003. V. 67. P. 056402.
- Popel S.I., Golub’ A.P., Kassem A.I., Zelenyi L.M. // Phys. Plasmas. 2022. V. 29. P. 013701.
- Попель С.И., Голубь А.П. // Письма в ЖЭТФ. 2022. Т. 115. С. 629.
- Норман Г.Э., Стегайлов В.В., Тимофеев А.В. // Физико-химическая кинетика в газовой динамике. 2011. Т. 11. http://chemphys.edu.ru/issues/2011-11/articles/179/.
- Vaulina O.S., Khrapak S.A., Petrov O.F., Nefedov A.P. // Phys. Rev. E 1999. V. 60. P. 5959.
- Ваулина О.С., Самарян А.А., Джеймс Б., Петров О.Ф., Фортов В.Е. // ЖЭТФ. 2003. Т. 123. С. 1179.
- Grard R.J.L., Tunaley J.K.E. // J. Geophys. Res. 1971. V. 76. P. 2498.
- Колесников Е.К., Мануйлов А.С. // Астрономич. ж. 1982. Т. 59. С. 996.
- Попель С.И., Голубь А.П., Извекова Ю.Н., Афо-нин В.В., Дольников Г.Г., Захаров А.В., Зеленый Л.М., Лисин Е.А., Петров О.Ф. // Письма в ЖЭТФ. 2014. Т. 99. С. 131.
- Colwell J.E., Robertson S.R., Horányi M., Wang X., Poppe A., Wheeler P. // J. Aerospace Engineering. 2009. V. 22. P. 2.
- Mishra S.K., Bhardwaj A. // Astrophys. J. 2019. V. 884. P. 5.
- Голубь А.П., Попель С.И. // Письма в ЖЭТФ. 2021. V. 113. P. 440.
- Лосева Т.В., Попель С.И., Голубь А.П. // Физика плазмы. 2012. Т. 38. С. 792.
- Лосева Т.В., Попель С.И., Голубь А.П. // Физика плазмы. 2020. Т. 46. С. 1007.
- Popel S.I., Golub’ A.P., Losseva T.V., Bingham R., Benkadda S. // Phys. Plasmas. 2001. V. 8. P. 1497.
- Popel S.I., Golub’ A.P., Losseva T.V., Bingham R. // Письма в ЖЭТФ. 2001. Т. 73. Р. 258.
- Benkadda S., Gabbai P., Tsytovich V.N., Verga A. // Phys. Rev. E. 1996. V. 53. P. 2717.
- Nakamura Y., Bailung H., Shukla P.K. // Phys. Rev. Lett. 1999. V. 83. P. 1602.
- Luo Q.-Z., D’Angelo N., Merlino R.L. // Phys. Plasmas. 1999. V. 6. P. 3455.
- Nakamura Y., Bailung H. // Rev. Scientific Instruments. 1999. V. 70. P. 2345.
- Лифшиц Е.М., Питаевский Л.П. // Физическая кинетика, Наука, Москва, 1979, стр. 182–185.
- Lieberman M.A., Lichtenberg A.J. // Principles of Plasma Discharges and Material Processing. N. Y.: Wiley, 1994. P. 454.
Supplementary files
 
				
			 
					 
						 
						 
						 
						 
				
 
  
  
  Email this article
			Email this article 




