Фрактальное броуновское движение коллоидных частиц в плазме
- Авторы: Косс К.Г.1,2, Лисина И.И.1,2, Васильев М.М.1,2, Алексеевская А.А.1, Кононов Е.А.1,2, Петров О.Ф.1,2
-
Учреждения:
- Объединенный институт высоких температур РАН
- Московский физико-технический институт
- Выпуск: Том 49, № 1 (2023)
- Страницы: 33-41
- Раздел: ПЫЛЕВАЯ ПЛАЗМА
- URL: https://journals.rcsi.science/0367-2921/article/view/139525
- DOI: https://doi.org/10.31857/S0367292122600972
- EDN: https://elibrary.ru/BFDZFB
- ID: 139525
Цитировать
Полный текст
Аннотация
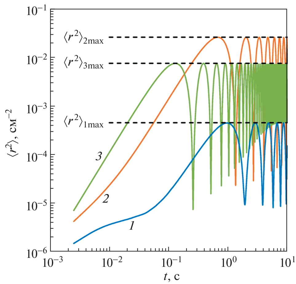
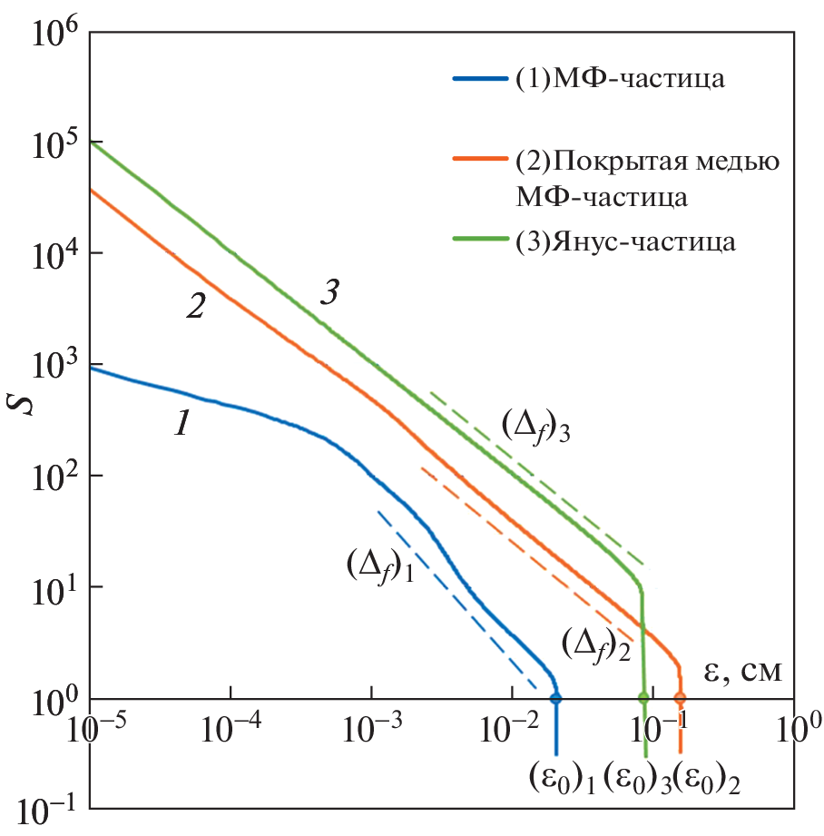
Проанализированы экспериментально полученные данные о движении одиночной коллоидной частицы в ловушке в приэлектродном слое плазмы ВЧ-разряда. Эксперимент проводился с коллоидами трех типов: непокрытые меламин-формальдегидные частицы, меламин-формальдегидные частицы с тонким медным покрытием и янус-частицы, частично покрытые железом. На коллоиды воздействовал плоский широкий лазерный пучок, позволяя визуализировать их и изменять их кинетическую энергию. Для анализа движения частиц были построены функции их динамической энтропии первого пересечения, найдена область локализации частиц и фрактальная размерность их траекторий. Полученные результаты свидетельствуют о значительном различии между коллоидами разных типов, а также об эволюции их движения с изменением кинетической энергии. Показано, что фрактальная размерность траекторий частиц всех типов является дробной и уменьшается с увеличением их кинетической энергии.
Об авторах
К. Г. Косс
Объединенный институт высоких температур РАН; Московский физико-технический институт
Email: Xeniya.Koss@gmail.com
Россия, Москва; Россия, Москва
И. И. Лисина
Объединенный институт высоких температур РАН; Московский физико-технический институт
Email: Xeniya.Koss@gmail.com
Россия, Москва; Россия, Москва
М. М. Васильев
Объединенный институт высоких температур РАН; Московский физико-технический институт
Email: Xeniya.Koss@gmail.com
Россия, Москва; Россия, Москва
А. А. Алексеевская
Объединенный институт высоких температур РАН
Email: Xeniya.Koss@gmail.com
Россия, Москва
Е. А. Кононов
Объединенный институт высоких температур РАН; Московский физико-технический институт
Email: Xeniya.Koss@gmail.com
Россия, Москва; Россия, Москва
О. Ф. Петров
Объединенный институт высоких температур РАН; Московский физико-технический институт
Автор, ответственный за переписку.
Email: Xeniya.Koss@gmail.com
Россия, Москва; Россия, Москва
Список литературы
- Bechinger C., Di Leonardo D., Löwen H., Reichhardt C., Volpe G., Volpe G. // Rev. Mod. Phys. 2016. V. 88. P. 045006.
- Sriram R. // Ann. Rev. Condensed Matter Phys. 2010. V. 1. P. 323.
- Schweitzer F. Brownian agents and active particles: Collective dynamics in the natural and social sciences. Heidelberg, Germany: Springer-Verlag, 2007.
- Friedrich B.M., Julicher F. // New J. Phys. 2008. V. 10(12). P. 123025.
- Sokolov A., Aranson I.S., Kessler J.O., Goldstein R.E. // Phys. Rev. Lett. 2007. V. 98(15). P. 158102–4.
- Drescher K., Goldstein R.E., Michel N., Polin M., Tu-val I. // Phys. Rev. Lett. 2010. V. 105(16). P. 168101.
- Kareiva P.M., Shigesada N. // Oecologia. 1983. V. 56(2–3). P. 234.
- Devereux H.L., Twomey C.R., Turner M.S., Thutupal-li S. // J. Royal Soc. Interface. 2021. V. 18. P. 20210114.
- Bartumeus F., da Luz M.G.E., Viswanathan G.M., Catalan J. // Ecology. 2005. V. 86(11). P. 3078.
- Humphries N.E., Queiroz N., Dyer J.R.M., Pade N.G., Musyl M.K., Schaefer K.M., Fuller D.W., Brunnschwei-ler J.M., Doyle T.K., Houghton J.D.R., Hays G.C., Jones C.S., Noble L.R., Wearmouth V.J., Southall E.J., Sims D.W. // Nature. 2010. 465(7301) P. 1066.
- Kummel F., ten Hagen B., Wittkowski R., Buttinoni I., Eichhorn R., Volpe G., Löwen H., Bechinger C. // Phys. Rev. Lett. 2013. V. 110. P. 198302.
- Kurzthaler C., Devailly C., Arlt J., Franosch T., Poon W.C., Martinez V.A., Brown A.T. // Phys. Rev. Lett. 2018. V. 121. P. 078001.
- Ismagilov R.F., Schwartz A., Bowden N., Whitesides G.M. // Angew. Chem. Int. Ed. 2002. V. 41. P. 652.
- Howse J.R., Jones R.A.L., Ryan A.J., Gough T., Vafabakhsh R., Golestanian R. // Phys. Rev. Lett. 2007. V. 99. P. 048102.
- Liebchen B., Löwen H. // Acc. Chem. Res. 2018. V. 51(12). P. 2982.
- Weber C.A., Hanke T., Deseigne J., Léonard S., Dau-chot O., Frey E., Chaté H. // Phys. Rev. Lett. 2013. V. 110. P. 208001.
- Scholz C., Engel M., Pöschel T. // Nature Commun. 2018. V. 9. 931.
- Patterson G.A., Fierens P.I., Jimka F.S., König P., Garcimartín A., Zuriguel I., Pugnaloni L.A., Parisi D.R. // Phys. Rev. Lett. 2017. V. 119. P. 248301.
- Scholz C., Jahanshahi S., Ldov A., Löwen H. // Nature Commun. 2018. V. 9. P. 5156.
- Palacci J., Sacanna S., Steinberg A.P., Pine D.J., Chaikin P.M. // Science. 2013. V. 339. P. 936.
- Caprini L., Marconi U.M.B., Puglisi A. // Phys. Rev. Lett. 2020. V. 124 (7). P. 078001.
- Caporusso C.B., Digregorio P., Levis D., Cugliandolo L.F., Gonnella G. // Phys. Rev. Lett. 2020. V. 125 (17). P. 178004.
- Kaiser A., Wensink H.H., Löwen H. // Phys. Rev. Lett. 2012. V. 108. P. 268307.
- Mijalkov M., Volpe G. // Soft Matter. 2013. V. 9. P. 6376.
- Grünwald M., Tricard S., Whitesides G.M., Geissler P.L. // Soft Matter. 2016. V. 12(5). P. 1517.
- Hu J., Zhou S., Sun Y., Fang X., Wu L. // Chem. Soc. Rev. 2012. V. 41 (11). P. 4356.
- Walther A., Mueller A.H.E. // Chem. Rev. 2013. V. 113 (7). P. 5194.
- Su H., Hurd Price C.-A., Jing L., Tian Q., Liu J., Qian K. // Materials Today Bio. 2019. V. 4. P. 100033.
- Koss X.G., Kononov E.A., Lisina I.I., Vasiliev M.M., Petrov O.F. // Molecules. 2022. V. 27. P. 1614.
- Petrov O.F., Statsenko K.B., Vasiliev M.M. // Sci. Rep. 2022. V. 12. P. 8618.
- Косс К.Г., Петров О.Ф., Мясников М.И., Стацен-ко К.Б., Васильев М.М. // ЖЭТФ. 2016. Т. 150. С. 111.
- Koss X.G., Petrov O.F., Statsenko K.B., Vasiliev M.M. // European Phys. Lett. 2018. V. 124. P. 45001.
- Petrov O.F., Boltnev R.E., Vasiliev M.M. // Sci. Rep. 2022. V. 12. P. 6085.
- Lisin E.A., Kononov E.A., Sametov E.A., Vasiliev M.M., Petrov O.F. // Molecules. 2021. V. 26. P. 7535.
- Löwen H. // J. Chem. Phys. 2020. V. 152. P. 040901.
- Mukundarajan H., Bardon T. C., Kim D. H., Prakash M. // J. Exp. Biol. 2016. V. 219. P. 752.
- Lisin E.A., Vaulina O.S., Lisina I.I., Petrov O.F. // Phys. Chem. Chem. Phys. 2021. V. 23. P. 16248.
- Nosenko V., Luoni F., Kaouk A., Rubin-Zuzic M., Tho-mas H. // Phys. Rev. Res. 2020. V. 2. P. 033226.
- Arkar K., Vasiliev M.M., Petrov O.F., Kononov E.A., Trukhachev F.M. // Molecules. 2021. V. 26(3). P. 561.
- Lloyd S. // IEEE Control Systems Magazine. 2001. V. 21(4). P. 7.
- Azua-Bustos A., Vega-Martínez C. // Internat. J. Astrobiology. 2013. V. 12. P. 314.
- Gaspard P., Wang X.-J. // Phys. Rep. 1993. V. 235. P. 291.
- Allegrini P., Douglas J.F., Glotzer S.C. // Phys. Rev. E. 1999. V. 60. P. 5714.
- https://microparticles.de/
- Kononov E.A., Vasiliev M.M., Vasilieva E.V., Petrov O.F. // Nanomaterials. 2021. V. 11. P. 2931.
- Schmidt C., Piel A. // Phys. Rev. E. 2015. V. 92(4). P. 043106.
- Ваулина О.С., Лисин Е.А., Гавриков А.В., Петров О.Ф., Фортов В.Е. // ЖЭТФ. 2010. Т. 137. С. 751.
- Feng Y., Goree J., Liu B. // Rev. Sci. Instruments. 2011. V. 82(5). P. 053707.
- Du C.-R., Nosenko V., Thomas H.M., Müller A., Lipaev A.M., Molotkov V.I., Fortov V.E., Ivlev A.V. // New J. Phys. 2017. V. 19. P. 073015.
- Dellago Ch., Posch H.A. // Physica A. 1996. V. 230. P. 364.
- Mandelbrot B.B. The fractal geometry of nature. San Francisco: W.H. Freeman and co., 1982.
- Uhlenbeck G.E., Ornstein L.S. // Phys. Rev. 1930. V. 36(5). P. 823.
- Фортов В.Е., Петров О.Ф., Ваулина О.С., Косс К.Г. // Письма ЖЭТФ. 2013. Т. 97. С. 366.
Дополнительные файлы











