Effect of weather conditions during post-diapause development of black-veined white aporia crataegi l. (lepidoptera: pieridae) on the variation of wing venation
- Authors: Solonkin I.А.1, Zakharova E.Y.1, Shkurikhin А.О.1
-
Affiliations:
- Institute of Plant and Animal Ecology, Ural Branch, Russian Academy of Sciences
- Issue: No 6 (2024)
- Pages: 470-482
- Section: Articles
- URL: https://journals.rcsi.science/0367-0597/article/view/272933
- DOI: https://doi.org/10.31857/S0367059724060072
- EDN: https://elibrary.ru/VYHDNK
- ID: 272933
Cite item
Abstract
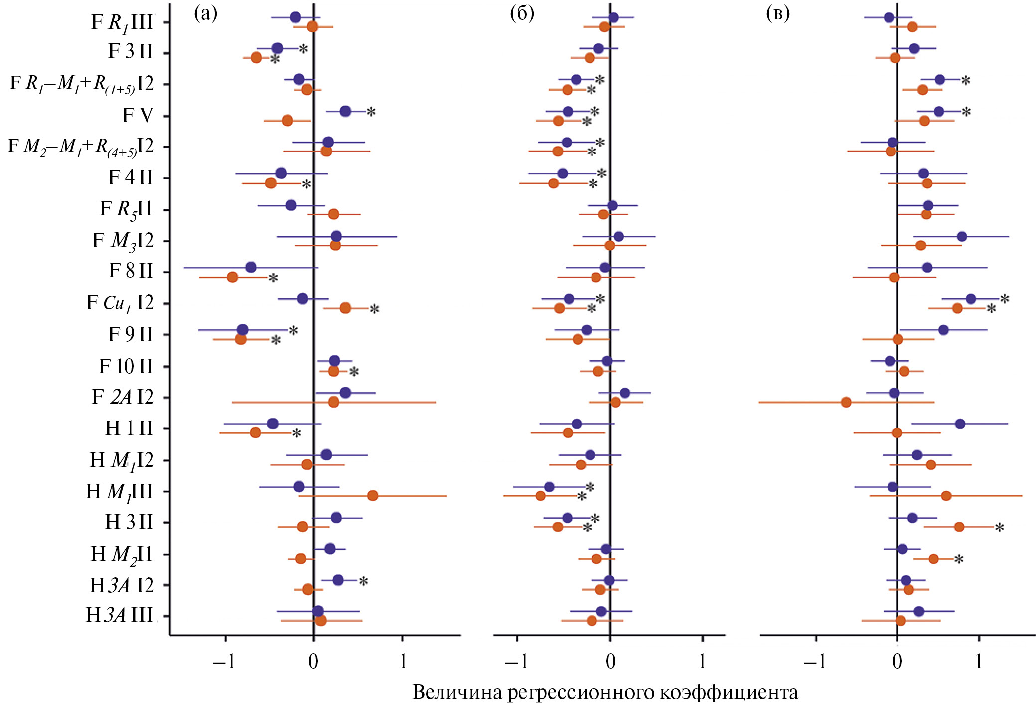
Abstract – The work studied the effects of air temperature and precipitation during the post-diapause development of preimaginal stages, as well as wing size, on the occurrence of deviations from normal wing venation in Aporia crataegi. Samples collected from a natural population in the southern Sverdlovsk region from 2013 to 2022 were analyzed. The occurrence of wing venation abnormalities was shown to be depend on weather conditions during the development of larvae and pupae in spring, as well as the size of the adults. Some variants were more frequent in years with cold and rainy springs, while the occurrence of others was not dependent on the weather. Certain wing venation abnormalities were more common in small adults, while others were more common in larger individuals. The results obtained indicate a variable degree of canalization and sensitivity of wing vein development in Aporia crataegi to the effects of environmental factors.
Full Text
About the authors
I. А. Solonkin
Institute of Plant and Animal Ecology, Ural Branch, Russian Academy of Sciences
Author for correspondence.
Email: igorsolonkin@yandex.ru
Russian Federation, Ekaterinburg
E. Yu. Zakharova
Institute of Plant and Animal Ecology, Ural Branch, Russian Academy of Sciences
Email: igorsolonkin@yandex.ru
Russian Federation, Ekaterinburg
А. О. Shkurikhin
Institute of Plant and Animal Ecology, Ural Branch, Russian Academy of Sciences
Email: igorsolonkin@yandex.ru
Russian Federation, Ekaterinburg
References
- Mirth C.K., Shingleton A.W. Coordinating development: how do animals integrate plastic and robust developmental processes? // Front. Cell Dev. Biol. 2019. V. 7. Art. 8.
- Alves A.N., Oliveira M.M., Koyama T. et al. Ecdysone coordinates plastic growth with robust pattern in the developing wing // eLife. 2022. V. 11. Art. e72666.
- Nijhout H.F., Grunert L.W. The cellular and physiological mechanism of wing-body scaling in Manduca sexta // Science. 2010. V. 330. № 6011. P. 1693–1695.
- Chauhan N., Shrivastava N.K., Agrawal N., Shakarad M.N. Wing patterning in faster developing Drosophila is associated with high ecdysone titer and wingless expression // Mech. Dev. 2020. V. 163. Art. 103626.
- Mirth C.K., Saunders T.E., Amourda C. Growing up in a changing world: environmental regulation of development in insects // Annu. Rev. Entomol. 2021. V. 66. P. 81–99.
- McKenna K.Z., Tao D., Nijhout H.F. Exploring the role of insulin signaling in relative growth: a case study on wing-body scaling in Lepidoptera // Integr. Comp. Biol. 2019. V. 59. № 5. P. 1324–1337.
- Brakefield P.M., Frankino W.A. Polyphenisms in Lepidoptera: Multidisciplinary approaches to studies of evolution and development // Phenotypic plasticity of insects: mechanisms and consequences / Eds. Whitman D.W., Ananthakrishnan T. N. Enfield: Science Publ., 2009. P. 337–368.
- Simpson S.J., Sword G.A., Lo N. Polyphenism in insects // Curr. Biol. 2011. V. 21. № 18. P. R738–R749.
- Richard G., Jaquiéry J., Le Trionnaire G. Contribution of epigenetic mechanisms in the regulation of environmentally-induced polyphenism in insects // Insects. 2021. V. 12. № 7. Art. 649.
- Frazier M.R., Harrison J.F., Kirkton S.D., Roberts S.P. Cold rearing improves cold-flight performance in Drosophila via changes in wing morphology // J. Exp. Biol. 2008. V. 211. № 13. P. 2116–2122.
- Fraimout A., Jacquemart P., Villarroel B. et al. Phenotypic plasticity of Drosophila suzukii wing to developmental temperature: implications for flight // J. Exp. Biol. 2018. V. 221. № 13. Art. jeb166868.
- Rohner P.T., Roy J., Schäfer M.A. et al. Does thermal plasticity align with local adaptation? An interspecific comparison of wing morphology in sepsid flies // J. Evolution. Biol. 2019. V. 32. № 5. P. 463–475.
- Solensky M.J., Larkin E. Temperature-induced variation in larval coloration in Danaus plexippus (Lepidoptera: Nymphalidae) // Ann. Entomol. Soc. Am. 2003. V. 96. № 3. P. 211–216.
- Stoehr A.M., Goux H. Seasonal phenotypic plasticity of wing melanisation in the cabbage white butterfly, Pieris rapae L. (Lepidoptera: Pieridae) // Ecol. Entomol. 2008. V. 33. № 1. P. 137–143.
- Sourakov A. Temperature-dependent phenotypic plasticity in wing pattern of Utetheisa ornatrix bella (Erebidae, Arctiinae) // Trop. Lepid. Res. 2015. V. 25. № 1. P. 34–45.
- Шмальгаузен И.И. Факторы эволюции: теория стабилизирующего отбора. М.: Наука, 1968. 452 c.
- Vermeulen A.C. Elaborating chironomid deformities as bioindicators of toxic sediment stress: the potential application of mixture toxicity concepts // Ann. Zool. Fennici. 1995. V. 32. P. 265–285.
- Imasheva A.G., Loeschcke V., Zhivotovsky L.A., Lazebny O.E. Effects of extreme temperatures on phenotypic variation and developmental stability in Drosophila melanogaster and Drosophila buzzatii // Biol. J. Linn. Soc. 1997. V. 61. № 1. P. 117–126.
- Polak M., Tomkins J.L. Developmental instability as phenodeviance in a secondary sexual trait increases sharply with thermal stress // J. Evolution. Biol. 2012. V. 25. № 2. P. 277–287.
- Zhu X., Xu X., Zhou S. et al. Low temperature exposure (20оC) during the sealed brood stage induces abnormal venation of honey bee wings // J. Apicult. Res. 2018. V. 57. № 3. P. 458–465.
- Yablokov A.V., Eatin V. J., Pritikina L.N. Variability of wing venation of the dragonfly // Beitrage zur Entomologie. 1970. V. 5. № 6. P. 503–526.
- Орлов Л.М. Жилкование крыла златоглазки Chrysopa adspersa Wesm. (Chrysopidae, Neuroptera) как модель микроэволюционных исследований // Журн. общ. биол. 1975. Т. 35. № 6. С. 902–913.
- Фролов А.Н. Влияние характера питания на изменчивость жилкования крыла у бабочек кукурузного мотылька // Экология. 1983. Т. 14. №1. С. 87–88.
- Козлов М.В. Функциональная морфология крыльев и изменчивость их жилкования у низших чешуекрылых (Lepidoptera: Micropterigidae – Tischeriidae) // Журн. общ. биол. 1987. Т. 48. № 2. С. 238–247.
- Perfil’eva K.S. Wing venation anomalies in sexual individuals of ants (Hymenoptera, Formicidae) with different strategies of mating behavior // Entomol. Rev. 2000. V. 80. № 9. С. 1181–1188.
- Łopuch S., Tofilski A. The relationship between asymmetry, size and unusual venation in honey bees (Apis mellifera) // Bull. Entomol. Res. 2016. V. 106. № 3. P. 304–313.
- Eligül H., Koca A.Ö., Kandemir İ. Forewing deformations in Turkish honey bee populations // Uludag Bee Journal. 2017. V. 17. № 2. P. 72–81.
- Солонкин И.А., Захарова Е.Ю., Шкурихин А.О., Ослина Т.С. Классификация и закономерности проявления нарушений жилкования крыльев белянок (Lepidoptera: Pieridae) на примере боярышницы Aporia crataegi L. // Евразиатский энтомол. журн. 2017. Т. 16. № 6. С. 579–589.
- Gülmez Y. Teratology in the solitary wasp family Sphecidae (Insecta: Hymenoptera) // Biologia. 2019. V. 74. № 10. P. 1349–1357.
- Can İ. Wing venation abnormalities in the solitary wasp family Crabronidae (Insecta: Hymenoptera) // J. Entomol. Res. Soc. 2022. V. 24. № 2. P. 219–232.
- Ross K.G., Robertson J.L. Developmental stability, heterozygosity, and fitness in two introduced fire ants (Solenopsis invicta and S. richteri) and their hybrid // Heredity. 1990. V. 64. № 1. P. 93–103.
- Clarke G.M. Patterns of developmental stability of Chrysopa perla L. (Neuroptera: Chrysopidae) in response to environmental pollution // Environ. Entomol. 1993. V. 22. № 6. P. 1362–1366.
- Smith D.R., Crespi B.J., Bookstein F.L. Fluctuating asymmetry in the honey bee, Apis mellifera: effects of ploidy and hybridization // J. Evolution. Biol. 1997. V. 10. № 4. P. 551–574.
- Padró J., Carreira V., Corio C. et al. Host alkaloids differentially affect developmental stability and wing vein canalization in cactophilic Drosophila buzzatii // J. Evolution. Biol. 2014. V. 27. № 12. P. 2781–2797.
- Solonkin I.A., Zakharova E.Yu., Shkurikhin A.O. Wing venation abnormalities in the black-veined white Aporia crataegi L. (Lepidoptera, Pieridae): insight in terms of modern phenetics // Entomol. Rev. 2021. V. 101. № 6. P. 778–791.
- Tammaru T., Esperk T. Growth allometry of immature insects: larvae do not grow exponentially // Funct. Ecol. 2007. V. 21. № 6. P. 1099–1105.
- Grunert L.W., Clarke J.W., Ahuja C. et al. A quantitative analysis of growth and size regulation in Manduca sexta: the physiological basis of variation in size and age at metamorphosis // PlOS One. 2015. V. 10. № 5. Art. e0127988.
- Nijhout H.F., Cinderella M., Grunert L.W. The development of wing shape in Lepidoptera: mitotic density, not orientation, is the primary determinant of shape // Evol. Dev. 2014. V. 16. № 2. P. 68–77.
- Solonkin I.A., Shkurikhin A.O., Oslina T.S., Zakharova E.Y. Changes in the body size of black-veined white, Aporia crataegi (Lepidoptera: Pieridae), recorded in a natural population in response to different spring weather conditions and at different phases of an outbreak // Eur. J. Entomol. 2021. V. 118. P. 214–224.
- Куликов П.В., Золотарева Н.В., Подгаевская Е.Н. Эндемичные растения Урала во флоре Свердловской области. Екатеринбург: Гощицкий, 2013. 610 с.
- Rohlf F.J. TpsDig Version 2.32. 2021. URL: http://sbmorphometrics.org
- Rohlf F.J. TpsUtil Version 1.81. 2021. URL: http://sbmorphometrics.org
- Погода и климат. URL: http://www.pogodaiklimat.ru/monitor.php?id=28440
- Blunck H., Wilbert H. Der Baumweißling Aporia crataegi (L.) (Lep., Pieridae) und sein Massenwechsel // Zeitschrift für angewandte Entomologie. 1962. V. 50. № 1/4. P. 166–221.
- Тураев Н.С. Паразиты и их роль в подавлении массового размножения боярышницы // Труды Свердловского СХИ. 1964. Т. 11. C. 331–335.
- Надзор, учет и прогноз массовых размножений хвое- и листогрызущих насекомых в лесах СССР / Ред. Ильинский А.И., Тропин И.В. М.: Лесная промышленность, 1965. 524 с.
- Бабенко З.С. Насекомые-фитофаги плодовых и ягодных растений лесной зоны Приобья. Томск: Изд-во Томского ун-та, 1982. 270 с.
- Осипенко Т.И. Листогрызущие чешуекрылые-вредители яблони (листовертки, боярышница) и биологическое обоснование мер борьбы с ними в условиях Центральной степи Украины: Автореф. дис… канд. биол. наук. Умань, 1984. 15 с.
- Brooks M.E., Kristensen K., van Benthem K.J. et al. glmmTMB: balances speed and flexibility among packages for zero-inflated generalized linear mixed modeling // The R Journal. 2017. V. 9. № 2. P. 378–400.
- Schielzeth H. Simple means to improve the interpretability of regression coefficients // Methods Ecol. Evol. 2010. V. 1. № 2. P. 103–113.
- Ver Hoef J.M., Boveng P.L. Quasi‐Poisson vs. negative binomial regression: how should we model overdispersed count data? // Ecology. 2007. V. 88. № 11. P. 2766–2772.
- Lindén A., Mäntyniemi S. Using the negative binomial distribution to model overdispersion in ecological count data // Ecology. 2011. V. 92. № 7. P. 1414–1421.
- Hartig F. DHARMa: Residual Diagnostics for Hierarchical (Multi-Level / Mixed) Regression Models. R package version 0.4.6. 2022. URL: https://CRAN.R-project.org/package=DHARMa
- Lenth R.V. Estimated Marginal Means, aka Least-Squares Means. R package version 1.8.8. 2023. URL: https://CRAN.R-project.org/package=emmeans
- Fox J., Weisberg S. An R Companion to Applied Regression. 2019. URL: https://socialsciences.mcmaster.ca/jfox/Books/Companion/
- R Core Team. R: A language and environment for statistical computing. Vienna: R Foundation for Statistical Computing. 2023. URL: https://www.R-project.org/
- Nijhout H.F., Laub E., Grunert L.W. Hormonal control of growth in the wing imaginal disks of Junonia coenia: the relative contributions of insulin and ecdysone // Development. 2018. V. 145. № 6. Art. dev160101.
- Шкурихин А.О., Захарова Е.Ю., Ослина Т.С., Солонкин И.А. Изменчивость морфофизиологических признаков самцов и самок Aporia crataegi L. (Lepidoptera: Pieridae) в зависимости от времени вылета имаго // Экология. 2018. № 4. С. 325–330. [Shkurikhin A.O., Zakharova E.Y., Oslina T.S., Solonkin I.A. Variation in morphophysiological traits of male and female Aporia crataegi L. (Lepidoptera: Pieridae) depending on the timing of adult emergence // Russ. J. of Ecology. 2018. V. 49. № 4. P. 356–361]. doi: 10.1134/S1067413618040124
- Arendt J.D. Adaptive intrinsic growth rates: an integration across taxa // Quart. Rev. Biol. 1997. V. 72. № 2. P. 149–177.
- De Block M., Campero M., Stoks R. Developmental costs of rapid growth in a damselfly // Ecol. Entomol. 2008. V. 33. № 2. P. 313–318.
- Yata O. Comparative morphology of the pupal forewing tracheation in some Japanese species of the family Pieridae (Lepidoptera) // Kontyû. 1981. V. 49. № 2. P. 245–257.
- Fischer K., Karl I. Exploring plastic and genetic responses to temperature variation using copper butterflies // Clim. Res. 2010. V. 43. № 1/2. P. 17–30.
- Gibbs M., Wiklund C., Van Dyck H. Temperature, rainfall and butterfly morphology: does life history theory match the observed pattern? // Ecography. 2011. V. 34. № 2. P. 336–344.
- Wilson R.J., Brooks S.J., Fenberg P.B. The influence of ecological and life history factors on ectothermic temperature–size responses: Analysis of three Lycaenidae butterflies (Lepidoptera) // Ecol. Evol. 2019. V. 9. № 18. P. 10305–10316.
- Whitman D.W., Agrawal A.A. What is phenotypic plasticity and why is it important // Phenotypic plasticity of insects: mechanisms and consequences / Eds. Whitman D.W., Ananthakrishnan T. N. Enfield: Science Publ., 2009. P. 1–63.
- Stearns S.C., Kaiser M., Kawecki T.J. The differential genetic and environmental canalization of fitness components in Drosophila melanogaster // J. Evolution. Biol. 1995. V. 8. № 5. P. 539–557.
Supplementary files







