Дикие животные и автотранспорт: анализ развития конфликта на примере свердловской области
- Авторы: Корытин Н.С.1, Марков Н.И.1, Кузнецов А.К.2, Бергман И.Е.1
-
Учреждения:
- Институт экологии растений и животных УрО РАН
- Департамент по охране, контролю и регулированию использования животного мира Свердловской области
- Выпуск: № 6 (2024)
- Страницы: 446-456
- Раздел: Статьи
- URL: https://journals.rcsi.science/0367-0597/article/view/272926
- DOI: https://doi.org/10.31857/S0367059724060058
- EDN: https://elibrary.ru/VYNXIV
- ID: 272926
Цитировать
Аннотация
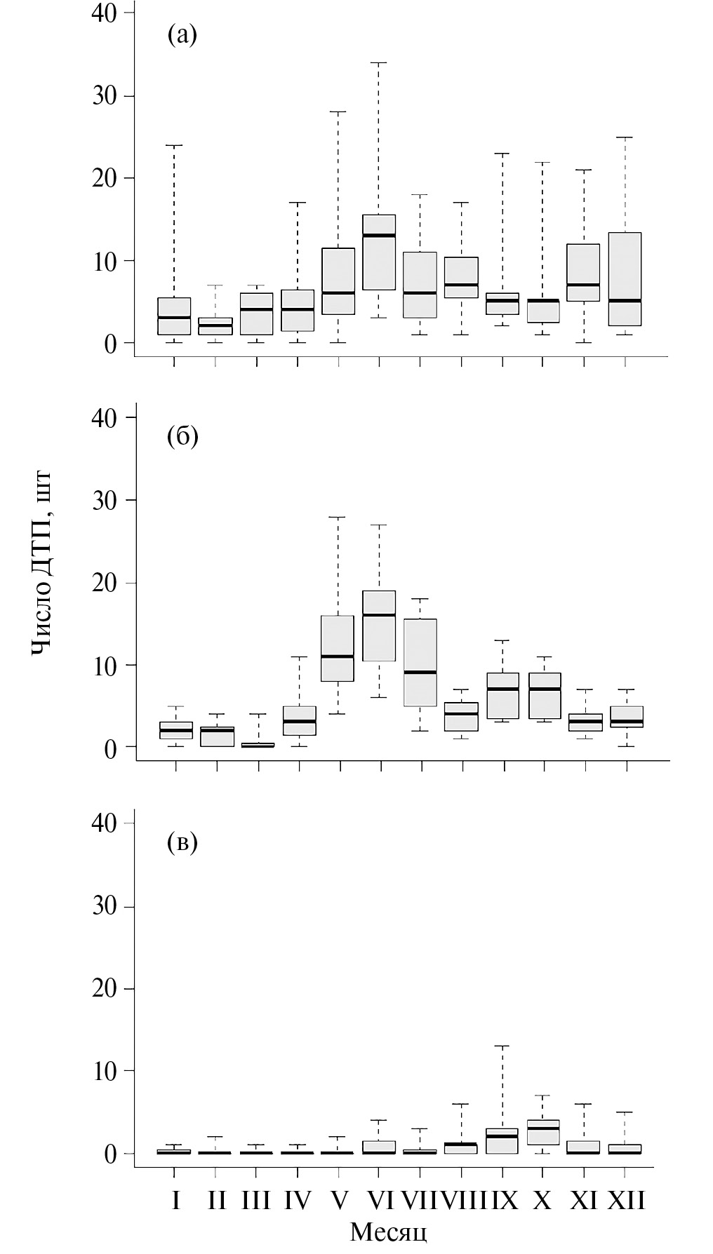
Проанализирована динамика числа дорожно-транспортных происшествий с дикими животными в Свердловской области за период с 2012 г. по 2022 г. Видовой состав жертв резко смещен в сторону парнокопытных млекопитающих. Рост числа столкновений с косулей и лосем происходит быстрее увеличения численности видов в среднем в 3.1 раза. Сезонный пик происшествий приходится на май–июль у лося и сибирской косули, на сентябрь–октябрь – у кабана. Выявлена сильная связь между числом инцидентов на дорогах, численностью косули и лося и плотностью автомобилей на дорогах. Скорость увеличения численности животных составляет 31% и 33% (для косули и лося соответственно) от скорости роста числа аварий, тогда как скорость роста плотности автомобилей на дорогах составляет 7–10%. Высказано предположение, что влияние прироста численности животных на изменение числа происшествий выше, чем влияние изменения интенсивности движения транспорта.
Ключевые слова
Полный текст
Об авторах
Н. С. Корытин
Институт экологии растений и животных УрО РАН
Автор, ответственный за переписку.
Email: nsk@ipae.uran.ru
Россия, Екатеринбург
Н. И. Марков
Институт экологии растений и животных УрО РАН
Email: nsk@ipae.uran.ru
Россия, Екатеринбург
А. К. Кузнецов
Департамент по охране, контролю и регулированию использования животного мира Свердловской области
Email: nsk@ipae.uran.ru
Россия, Екатеринбург
И. Е. Бергман
Институт экологии растений и животных УрО РАН
Email: nsk@ipae.uran.ru
Россия, Екатеринбург
Список литературы
- Наумов Н.П. Экология животных. М.: Высшая школа, 1963. 618 с.
- Алтухов Ю.П., Салменкова Е.А., Курбатова О.Л. и др. Динамика популяционных генофондов при антропогенных воздействиях / Под ред. Алтухова Ю.П. М.: Наука, 2004. 619 с. http://www.mce.biophys.msu.ru/eng/books/publisher32000/book38256/
- Хански И. Ускользающий мир: Экологические последствия утраты местообитаний. М.: Тов-во научн. изд. КМК, 2010. 340 с.
- Cardinale B.J., Duffy J.E., Gonzalez A. et al. Biodiversity loss and its impact // Nature. 2012. V. 486. P. 59–67. https://doi.org/10.1038/nature11148
- Gunson K.E., Mountrakis G., Quackenbush L.J. Spatial wildlife-vehicle collision models: A review of current work and its application to transportation mitigation projects // J. Environ. Manag. 2011. V. 92. № 4. P. 1074–1082. https://doi.org/10.1016/j.jenvman.2010.11.027
- Jägerbrand A.K., Antonson H. Driving behaviour responses to a moose encounter, automatic speedcamera, wildlife warning sign and radio message determinedin a factorial simulator study // Accid. Anal. Preven. 2016. V. 86. P. 229–238. https://doi.org/10.1016/j.aap.2015.11.004
- Niemi M., Rolandsen C.M, Neumann W. et al. Temporal patterns of moose-vehicle collisions with and without personal injuries // Accid. Anal. Preven. 2017. V. 98. P. 167–173. https://doi.org/10.1016/j.aap.2016.09.024
- Santos R.A., Mota-Ferreira M., Aguiar L.M. et al. Predicting wildlife road-crossing probability from roadkill data using occupancy-detection models // Sci. Total Environ. 2018. V. 642. P. 629–637. https://doi.org/10.1016/j.scitotenv.2018.06.107
- Bartonička T., Andrášik R., Dul’a M. et al. Identification of local factors causing clustering of animal-vehicle collisions // J. Wildl. Manag. 2018. V. 82. № 5. P. 940–947. https://doi.org/10.1002/jwmg.21467
- Bíl M., Andrášik R., Duľa M., Sedoník J. On reliable identification of factors influencing wildlife-vehicle collisions along roads // J. Environ. Manag. 2019. V. 237. P. 297–304. https://doi.org/10.1016/j.jenvman.2019.02.076
- Bíl M., Kubeček J., Andrášik R. Ungulate-vehicle collision risk and traffic volume on roads // Eur. J. Wildl. Res. 2020. V. 66. № 59. P. 1‒10. https://doi.org/10.1007/s10344-020-01397-8
- Pagany R. Wildlife-vehicle collisions ‒ Influencing factors, data collection and research methods // Biol. Conserv. 2020. V. 251. P. 1‒26. https://doi.org/10.1016/j.biocon.2020.108758
- Fernández-López J., Blanco-Aguiar J.A., Vicente J. et al. Can we model distribution of population abundance from wildlife-vehicles collision data? // Ecography. 2022. V. 2022. № 5. P. 1‒11. https://doi.org/10.1111/ecog.06113
- Gurumurthy K.M., Bansal P., Kockelman K.M. et al. Modelling animal-vehicle collision counts across large networks using a bayesian hierarchical model with time-varying parameters // Anal. Methods Accid. Res. 2022. V. 36. P. 1–19. https://doi.org/10.1016/j.amar.2022.100231
- Krukowicz T., Firlag K., Chrobot P. Spatiotemporal analysis of road crashes with animals in Poland // Sustainability. 2022. V. 14. № 3. P. 1–31. https://doi.org/10.3390/su14031253
- Perez-Guerra J., Gonzalez-Velez J., Murillo-Escobar J. et al. Prediction of areas with high risk of roadkill wildlife applying maximum entropy approach and environmental features: East Antioquia, Colombia // Landscape and Ecological Engineering. 2024. V. 20. P. 75–88. https://doi.org/10.1007/s11355-023-00581-7
- Laube P., Ratnaweera N., Wróbel A. et al. Analysing and predicting wildlife-vehicle collision hotspots for the Swiss Road Network // Landscape Ecology. 2023. V. 38. P. 1765–1783. https://doi.org/10.1007/s10980-023-01655-5
- Ирхина Е.С. Совершенствование системы природоохранных мероприятий на путях миграции лосей (на примере Ленинградской области): Вып. квалификац. работа магистра. СПб: СПбГУ, 2017. 50 с. https://core.ac.uk/download/pdf/217180794.pdf
- Селезнева А.В., Карев С.В. Решение проблемы дорожно-транспортных происшествий с участием диких животных // Научное обозрение. Педагогические науки. 2019. № 2‒3. С. 78‒82. https://www.elibrary.ru/item.asp?id=38214494
- Бобышев М.В., Чураев А.Ю., Спасик С.Е. Анализ причин дорожно-транспортных происшествий с участием лосей на территории Рузского района Московской области в 2015‒2020 гг. // Вестник РГАЗУ. 2020. № 34 (39). С. 20–27. https://www.elibrary.ru/item.asp?id=44244158
- Просеков А.Ю. Анализ дорожно-транспортных происшествий с участием косули и лося в Кузбассе // Охрана и рациональное использование животных и растительных ресурсов: Мат-лы междун. научно-практич. конф., приуроченной к 120-летию со дня рождения проф. В.Н. Скалона, в рамках ХII междун. научно-практич. конференции “Климат, экология, сельское хозяйство Евразии”. Ч. I. Молодежный, 2023. С. 195‒200. https://www.elibrary.ru/item.asp?id=54065075
- Селезнева А.В., Григорьева Т.Ю. Оценка эффективности мероприятий по снижению количества ДТП с участием диких животных // European J. of Natural History. 2020. № 2. P. 90–95. https://www.elibrary.ru/item.asp?id=42564365
- Конева О.В., Демидов Д.В. Состояние аварийности, связанной с наездом автотранспортных средств на диких животных по территории Свердловской области // Научное творчество молодежи – лесному комплексу России: Мат-лы XIX Всероссийской (национальной) научно-технич. конф. студентов и аспирантов. Ответственный за выпуск Малютина Л. В. Екатеринбург, 2023. С. 732–736.
- Ермолова М.В., Трошина Е.И. Количество дорожно-транспортных происшествий с пострадавшими по субъектам Российской Федерации (Электронный ресурс). https://rosstat.gov.ru/storage/mediabank/postrad.xls (дата обращения 30.08.2023).
- Neumann W., Ericsson G., Dettki H. et al. Difference in spatiotemporal patterns of wildlife road-crossings and wildlife-vehicle collisions // Biol. Conserv. 2012. V. 145. № 1. P. 70‒78. https://doi.org/10.1016/j.biocon.2011.10.011
- Млекопитающие Свердловской области: Cправочник-определитель / В.Н. Большаков и др. Екатеринбург: Екатеринбург, 2000. 240 с.
- Волкова И.Н. Проблемы и перспективы территориальной организации и территориального планирования региональной транспортной системы (на примере Свердловской области) // Вестник Удмуртского ун-та. Сер.: Биология и науки о Земле. 2022. Т. 32. Вып. 2. С. 192‒203.
- Трошина Е.И. Протяженность и характеристики автомобильных дорог общего пользования по субъектам Российской Федерации. https://rosstat.gov.ru›storage/mediabank/prot_avto_dor (дата обращения 30.08.2023).
- Ермолова М.В., Жукова А.В. Наличие транспортных средств по Российской Федерации. https://rosstat.gov.ru/statistics/transport (дата обращения 30.08.2023).
- Витрина статистических данных: численность постоянного населения в среднем за год (Электронный ресурс). https://showdata.gks.ru/report/278930/
- Коли Г. Анализ популяций позвоночных. М.: Мир, 1979. 362 с.
- R Core Team. R: a language and environment for statistical computing. https://www.R-project.org/. (дата обращения 01.09.2023).
- Signorell A., Aho K., Alfons A. et al. DescTools: Tools for descriptive statistics. R package version 0.99.23. https://andrisignorell.github.io/DescTools/ (дата обращения 01.09.2023).
- Bruinderink Groot G.W.T.A., Hazebroek E. Ungulate traffic collisions in Europe // Conservation Biology. 1996. V. 10. № 4. P. 1059–1067. https://doi.org/10.1046/j.1523-1739.1996.10041059.x
- Seiler A. Trends and spatial patterns in ungulate-vehicle collisions in Sweden // Wildl. Biol. 2004. V. 10. № 4. P. 301‒313. https://doi.org/10.2981/wlb.2004.036
- Cserkecz T., Farkas J. Annual trends in the number of wildlife-vehicle collisions on the main linear transport corridors (highway and railway) of Hungary // North-West. J. Zool. 2015. V.11. № 1. P. 41–50. https://biozoojournals.ro/nwjz/content/v11n1/nwjz_141707_Cserkesz.pdf
- Raymond S., Spencer M., Chadwick E.A. et al. The impact of the COVID-19 lockdowns on wildlife-vehicle collisions in the UK // J. Anim. Ecol. 2023. V. 92. P. 1244–1255. https://doi.org/10.1111/1365-2656.13913
- Grilo C., Koroleva E., Andrášik R. et al. Roadkill risk and population vulnerability in European birds and mammals // Front. Ecol. Environ. 2020. V. 18. № 6. P. 323–328. https://doi.org/10.1002/fee.2216
- Raymond S., Schwartz A.L.W., Thomas R.J. et al. Temporal patterns of wildlife roadkill in the UK // PLoS ONE. 2021. V. 16. № 10. Art. e0258083. https://doi.org/10.1371/journal.pone.0258083
- Vance J.A., Smith W.H., Smith G.L. Species composition and temporal patterns of wildlife-vehicle collisions in southwest Virginia, USA // Human-Wildlife Interactions. 2018. V. 12. № 3. https://doi.org/10.26077/6a2c-cj16
- Lavsund S., Sandegren F. Moose-vehicle relations in Sweden: a review // Alces: A Journal Devoted to the Biology and Management of Moose. 1991. V. 27. P. 118‒126. https://www.alcesjournal.org/index.php/alces/article/view/1109
- Madsen A.B., Strandgaard H., Prang A. Factors causing traffic killings of roe deer Capreolus capreolus in Denmark // Wildl. Biol. 2002. V. 8. № 1. P. 55–61.https://doi.org/10.2981/wlb.2002.008
- Putzu N., Bonetto D., Civallero V. et al. Temporal patterns of ungulate-vehicle collisions in a subalpine Italian region // Ital. J. Zool. 2014. V. 81. № 3. P. 463–470.https://doi.org/10.1080/11250003.2014.945974
- Grilo C., Bissonette J.A., Santos-Reis M. Spatial-temporal patterns in Mediterranean carnivore road casualties: Consequences for mitigation // Biol. Conser. 2009. V. 142. № 2. P. 301‒313. https://doi.org/10.1016/j.biocon.2008.10.026
- Neumann W., Ericsson G., Dettki H. et al. Difference in spatiotemporal patterns of wildlife road-crossings and wildlife-vehicle collisions // Biol. Conserv. 2012. V. 145. № 1. P. 70‒78. https://doi.org/10.1016/j.biocon.2011.10.011
- Mastro L.L., Conover M.R., Frey S.N. Factors influencing a motorist’s ability to detect deer at night // Landsc. Urban Plann. 2010. V. 94. № 3‒4. P. 250‒254. https://doi.org/10.1016/j.landurbplan.2009.10.010
- Rodgers A.R., Robins P.J. Moose detection distances on highways at night // Alces: A Journal Devoted to the Biology and Management of Moose. 2006. V. 42. P. 75‒87. https://alcesjournal.org/index.php/alces/article/view/389
- Vrkljan J., Hozjan D., Barić D. et al. Temporal patterns of vehicle collisions with roe deer and wild boar in the Dinaric Area // Croat. J. For. Eng. 2020. V. 41. № 2. P. 347–358. https://hrcak.srce.hr/240283
- Psiropoulos J.L., Howe E., Mayer J.J. et. al. Characterization of recent wild pig-vehicle collisions in Georgia, USA // Mamm. Res. 2024. V. 69. P. 131–144. https://doi.org/10.1007/s13364-023-00724-z
- Печатнова Е.В., Подрезова А.Ю. Выявление основных особенностей аварийности, связанной с наездами на животных // Вестник КемРИПК. 2019. № 1. С. 103–107. https://www.elibrary.ru/download/elibrary_39158302 _44134194.pdf
- Shepherd B.J., Houck J., Lyon C. On the road again: A study valuing wildlife crossings for wetland mitigation on State Road 40 in Volusia County, Florida // Ecosphere. 2023. V. 14. № 6. Art. e4566. https://doi.org/10.1002/ecs2.4566
- Clevenger A.P., Waltho N. Factors influencing the effectiveness of wildlifeunderpasses in Banff National Park, Alberta, Canada // Conserv. Biol. 2000. V. 14. № 1. P. 47‒56. https://doi.org/10.1046/j.1523-1739.2000.00099-085.x
- Foster M.L., Humphrey S.R. Use of highway underpasses by Florida panthers and other wildlife // Wildl. Soc. Bull. 1995. V. 23. № 1. P. 95‒100. https://www.jstor.org/stable/3783202
- Dodd N.L., Gagnon J.W., Manzo A.L. et. al. Video surveillance to assess highway underpass use by elk in Arizona // J. Wildl. Manag. 2007. V. 71. № 2. P. 637‒645. https://doi.org/10.2193/2006-340
- Mata C., Hervas I., Herranz J. et al. Are motorway wildlife passages worth building? Vertebrate use of road-crossing structures on a Spanish motorway // J. Environ. Manag. 2008. V. 88. № 3. P. 407‒415. https://doi.org/10.1016/j.jenvman.2007.03.014
- Dodd C.K., Barichivich W.J., Smith L.L. Effectiveness of a barrier wall and culverts in reducing wildlife mortality on a heavily traveled highway in Florida // Biol Conserv. 2004. V. 118. № 5. P. 619‒631. https://doi.org/10.1016/j.biocon.2003.10.011
- Romin L.A., Bissonette J.A. Deer-vehicle collisions: status of state monitoring activities and mitigation efforts // Wildl. Soc. Bull. 1996. V. 24. № 2. P. 276‒283. https://www.jstor.org/stable/3783118
- D’Angelo G.J., D’Angelo J.G., Gallagher G.R. et al. Evaluation of wildlife warning reflectors for altering white-tailed deerbehavior along roadways // Wildl. Soc. Bull. 2006. V. 34. № 4. P. 1175‒1183. https://doi.org/10.2193/0091-7648(2006)34[1175:EOWWRF]2.0.CO;2
- Huijser M.P., McGowen P., Fuller J. et al. Wildlife-vehicle Collision Reduction Study. Report to U.S.Congress. U.S. Department of Transportation. Federal Highway Administration. 2007. Washington, D.C. p. 232. https://wafwa.org/wp-content/uploads/2021/04/2007-Report-to-Congress.pdf
Дополнительные файлы










