Current distribution and ecological-phytocoenotic characteristic of the invasive species imratiens glаndulifеrа rоulе in the southern urals
- Authors: Abramova L.M.1, Golovanov Y.M.1
-
Affiliations:
- South-Ural Botanical Garden-Institute – Sub-division of the Ufa Federal Research Centre of the Russian Academy of Sciences
- Issue: No 6 (2024)
- Pages: 409-417
- Section: Articles
- URL: https://journals.rcsi.science/0367-0597/article/view/272912
- DOI: https://doi.org/10.31857/S0367059724060019
- EDN: https://elibrary.ru/VYYEII
- ID: 272912
Cite item
Abstract
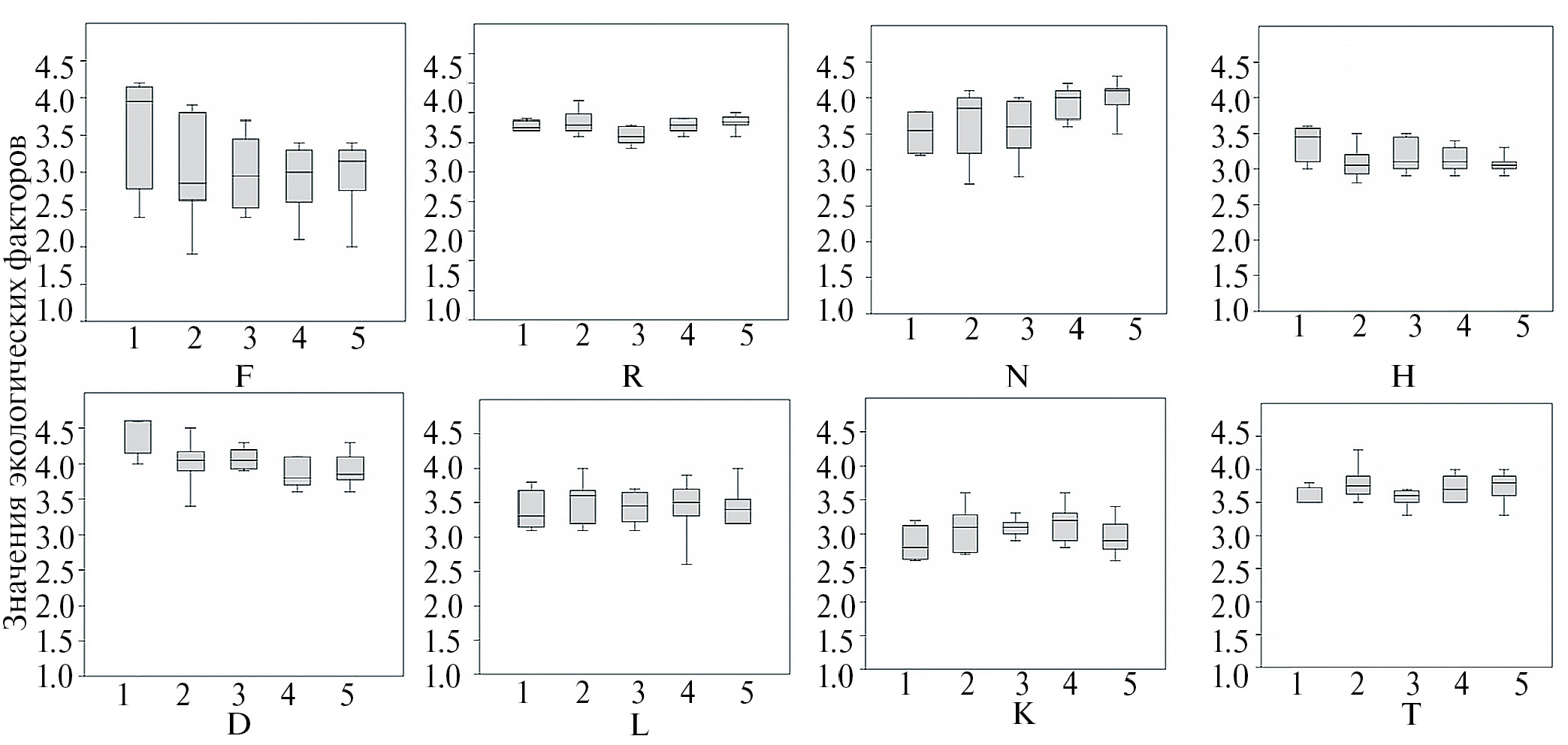
Abstract – The distribution of the invasive species Impatiens glandulifera in the Southern Urals (Republic of Bashkortostan) is considered. The species is wild from ornamental culture and actively naturalizes in shady coastal and anthropogenic ecotopes, mainly in forest-steppe and nemoral-forest zones of the Urals. Sixty-two localities of the species in 28 districts of the republic have been identified. Cenoses with its dominance have been described within the Epilobietea angustifolii class, association Calystegio sepium–Impatientetum glanduliferae, two subassociations C. s.–I. g. menthetosum longifolii and C. s.–I. g. arctietosum tomentosi and five variants. Using ecological scales, ecological preferences and leading factors influencing the differentiation of communities with the participation of species were determined: mechanical composition, structure, soil richness, moisture, and climate continentality.
Full Text
About the authors
L. M. Abramova
South-Ural Botanical Garden-Institute – Sub-division of the Ufa Federal Research Centre of the Russian Academy of Sciences
Author for correspondence.
Email: abramova571m@yandex.ru
Russian Federation, Ufa
Ya. M. Golovanov
South-Ural Botanical Garden-Institute – Sub-division of the Ufa Federal Research Centre of the Russian Academy of Sciences
Email: abramova571m@yandex.ru
Russian Federation, Ufa
References
- Hulme P.E. Biological invasions in Europe: drivers, pressures, states, impacts and responses // Biodiversity under threat. Cambridge, UK: Cambridge University Press. 2007. № 25. P. 96–103.
- Rejmánek M., Richardson D.M., Pyšek P. Plant invasions and invasibility of plant communities // Vegetation Ecology. 2013. Р. 387–424.
- Pergl J., Pyšek P., Essl F. et al. Need for routine tracking of biological invasions // Conservation Biology. 2020. V. 34. P. 1311–1314. doi: 10.1111/cobi.13445
- Дгебуадзе Ю.Ю. Чужеродные виды в Голарктике: некоторые результаты и перспективы исследований // Российский журн. биол. инвазий. 2014. № 1. С. 2–8.
- Веселкин Д.В., Дубровин Д.И., Коржиневская А.А. и др. Уровни вторжения чужеродных растений в местообитаниях разных типов на Среднем Урале // Экология. 2023. № 4. С. 261–270. doi: 10.31857/S0367059723040121
- Абрамова Л.М. Новые данные по биологическим инвазиям чужеродных видов в Республике Башкортостан // Вестник АН РБ. 2014. Т. 19. № 4. С. 16–27.
- Abramova L.M. Expansion of invasive alien plant species in the Republic of Bashkortostan, the South Urals: analysis of causes and ecological consequences // Russ. J. of Ecology. 2012. V. 43. № 5. P. 352–357.
- Abramova L.M., Golovanov Yа.M. Invasions of Alien Plant Species in the South Urals: Current State of the Problem // The Fourth International Scientific Conference Ecology and Geography of Plants and Plant Communities. KnE Life Sciences. 2018. P. 1–9. doi: 10.18502/kls.v4i7.3213
- Виноградова Ю.К., Майоров С.Р., Хорун Л.В. Черная книга флоры Средней России. М.: ГЕОС, 2009. 494 с.
- Эбель А.Л., Стрельникова Т.О., Куприянов А.Н. и др. Черная книга флоры Сибири. Новосибирск: Гео. 2016. 439 с.
- Vinogradova Y., Pergl J., Hejda M. et al. Invasive alien plants of Russia: insights from regional inventories // Biological Invasions. 2020. V. 20. № 8. P. 1931–1943. doi: 10.1007/s10530-018-1686-3
- Coakley S., Petti C. Impacts of the invasive Impatiens glandulifera: lessons learned from one of Europe’s top invasive species // Biology. 2021. V. 10. № 7. P. 1–14. doi: 10.3390/biology10070619
- Hejda M., Pyšek P. What is the impact of Impatiens glandulifera on species diversity of invaded riparian vegetation? // Biological Conservation. 2006. № 132. P. 143–152. doi: 10.1016/j.biocon.2006.03.025
- Tanner R., Gange A.C. Himalayan balsam, Impatiens glandulifera: its ecology, invasion and management // Weed Research. 2020. V. 60. № 1. P. 4–7. doi: 10.1111/wre.12401
- Pattison Z, Vallejo-Marin M., Willby N. Riverbanks as battlegrounds: why does the abundance of native and invasive plants vary // Ecosystems. 2019. V. 22. № 3. P. 578–586. doi: 10.1007/s10021-018-0288-3
- Lambdon P. W., Roy D. B., Pyšek P. et al. Alien flora of Europe: species diversity, temporal trends, geographical patterns and research needs // Preslia. 2008. V. 80. № 2. P. 101–149.
- Čuda J., Skalova H., Pyšek P. Spread of Impatiens glandulifera from riparian habitats to forests and its associated impacts: insights from a new invasion // Weed Research. 2020. V. 60. P. 8–15. doi: 10.1111/wre.12400
- Pyšek P., Prach K. Invasion dynamics of Impatiens glandulifera – a century of spreading reconstructed // Biological Conservation. 1995. V. 74. № 1. P. 41–48. doi: 10.1016/0006-3207(95)00013-T
- Andrews M., Maule H.G., Mistry A. et al. Extension growth of Impatiens glandulifera at low irradiance: importance of nitrate and potassium accumulation // Annals of Botany. 2005. V. 95. № 4. P. 641.
- Baležentienė L. Phytotoxicity and allelopathic impact of Impatiens glandulifera // Biologija. 2018. V. 64. № 2. P. 153–159. doi: 10.6001/biologija.v64i2.3738
- Power G., Sa´nchez Vilas J. Competition between the invasive Impatiens glandulifera and UK native species: the role of soil conditioning and pre-existing resident communities // Biological Invasions. 2020. V. 22. №4. P. 1–11. doi: 10.1007/s10530-020-02202-y
- Hulme P. Bremner E. Assessing the impact of Impatiens glandulifera on riparian habitats: partitioning diversity components following species removal // Journal of Applied Ecology. 2006. № 43. P. 43–50. doi: 10.1111/j.1365-2664.2005.01102.x
- Cockel C.P., Gurnell A.M., Gurnell J. Consequences of the physical management of an invasive alien plant for riparian plant species richness and diversity // River Research and Applications. 2014. V. 30. № 2. P. 217–229. doi: 10.1002/rra.2633
- Абрамова Л.М., Рогожникова Д.Р., Голованов Я.М. и др. К биологии инвазионного вида Impatiens glandulifera Rоуlе (Balsaminaceae) в Республике Башкортостан // Российский журн. биол. инвазий. 2023. Т. 16. № 2. С. 3–15. doi: 10.35885/1996-1499-16-2-03-15
- Виноградова Ю.К. Микроэволюция недотроги желёзконосной (Impatiens glandulifera Royle) в процессе формирования вторичного ареала // Бюл. Главного ботан. сада. 2008. № 194. С. 3–18.
- Конусова О.Л., Михайлова С.И., Прокопьев А.С. и др. Антофильный комплекс чужеродного растения недотроги желёзконосной Impatiens glandulifera Royle (Magnoliopsida: Balsaminaceae) на территории г. Томска // Российский журн. биол. инвазий. 2016. Т. 9. № 2. С. 60–71.
- Меньшакова М.Ю. Вариабельность морфологической структуры Impatiens glandulifera Royle в различных климатических условиях // Естественные и технические науки. 2011. № 4(54). С. 149–151.
- Шуйская Е.А., Антипина Г.С. Семенная продуктивность и стратегия инвазионного вида недотроги железистой (Impatiens glandulifera Royle) в Карелии // Естественные и технические науки. 2009. № 2(40). С. 97–98.
- Мулдашев А.А., Голованов Я.М., Абрамова Л.М. Конспект адвентивных видов Республики Башкортостан. Уфа: Башкирская энциклопедия, 2017. 168 с.
- Абрамова Л.М., Голованов Я.М., Мулдашев А.А. Черная книга флоры Республики Башкортостан. М.: Тов-во науч. изд. КМК, 2021. 174 с.
- Braun-Blanquet J. Pflanzensoziologie. Grundzuge der Vegetationskunde. 3. Aufl. Wien; New York: Springer-Verlag, 1964. 865 s. DOI: 9.907/978-3-7091-819-2
- Roleček J., Tichy L., Zeleny D. et al. Modified TWINSPAN classification in which the hierarchy respects cluster heterogeneity // J. Veg. Sci. 2009. V. 20. P. 596–602.
- Tichý L. JUICE, software for vegetation classification // J. Veg. Sci. 2002. V. 13. № 3. P. 451–453. DOI: 9.1010/j.1654-193.2002.tb02069.x
- Landolt E. Okologische Zeigerwerts zur Sweizer Flora // Veroff. Geobot. Inst. ETH. Zurich. 1977. Ht. 64. S. 1–208.
- Зверев А.А. Информационные технологии в исследованиях растительного покрова: учеб. пособ. Томск: ТМЛ-Пресс, 2007. 304 с.
- Ter Braak C.J.F., Šmilauer P. Reference manual and CanoDraw for Windows User’s guide: Software for Canonical Commuhity Ordination (version 4.5). USA, N.Y., Ithaca: Microcomputer Power, 2002. 500 p.
- Hammer Ø., Harper D.A.T., Ryan P.D. PAST: Paleontological statistics software package for education and data analysis // Palaeontol. Electron. 2001. V. 4. № 1. P. 1–9.
- Арепьева Л.А. Синантропная растительность города Курска. Курск: Курский гос. ун-т. 2015. 203 с.
- Булохов А.Д., Ивенкова И.М., Панасенко Н.Н. Антропогенная растительность Брянской области. Брянск: РИСО БГУ, 2020. 309 с.
- Vegetace České republiky 2. Ruderální, plevelová, skalní a suťová vegetace (Vegetation of the Czech Republic 2. Ruderal, Weed and scree vegetation) / Еd. Chytrý M. Academia, Praha, 2009. 520 p.
Supplementary files





