Horizontal pattern of trees in the cenopopulation of Larix gmelinii (Rupr.) Rupr. in the forest tundra ecotone on the Taimyr Peninsula
- Authors: Bondarev A.I.1, Secretenko O.P.1
-
Affiliations:
- Forest Institute, Federal Research Center Krasnoyarsk Scientific Center, Siberian Branch, Russian Academy of Sciences
- Issue: No 1 (2024)
- Pages: 22-33
- Section: Articles
- URL: https://journals.rcsi.science/0367-0597/article/view/259433
- DOI: https://doi.org/10.31857/S0367059724010035
- EDN: https://elibrary.ru/XCJDLF
- ID: 259433
Cite item
Full Text
Abstract
The features of the horizontal spatial structure of multi-aged open forests of Gmelin larch (Larix gmelinii (Rupr.) Rupr.), forming the northern limit of tree vegetation in the forest-tundra ecotone in the eastern part of the Taimyr Peninsula, are considered. It was found that all studied tree stands are characterized by a mosaic structure, in which areas occupied by woody vegetation alternate with open spaces, the area of which ranges from 37 to 50%. In all cases, the composition of the tree layer includes both single trees and their aggregations (biogroups), share of which varies from 17 to 32%. Pair aggregation of trees predominates in biogroups, amounting to 83%. The predominance of the random nature of the location of trees in the formation of the horizontal pattern has been snown, but the specific type of spatial distribution is also determined by the stage of ontogenesis in which the cenopopulation is located.
Full Text
Переходная зона между северотаежными лесами и арктическими тундрами формирует своеобразный биом, в котором отдельные лесные массивы и участки лесной растительности проникают далеко на север, достигая в зоне Российской Арктики на полуострове Таймыр широты 72.57° с. ш. [1], в то время как, например, на американском континенте северная граница распространения лесной растительности расположена существенно южнее и ограничена 680 с.ш. [2].
Лесотундровый экотон (ЛТЭ), или в английской аббревиатуре FТЕ (forest-tundra ecotone [3] либо TTE (taiga-tundra ecotone) [4, 5], простирается на 13 400 км в пределах арктической зоны Евразии, Скандинавии и Северной Америки [6]. Площадь, занимаемая собственно лесной древесной растительностью в пределах этой зоны, оценивается в 1.9 млн км2 [4]. Внимание к изучению ЛТЭ существенно возросло в последние годы, в первую очередь в связи с возможным влиянием климатических изменений, которые в Арктике проявляются в наибольшей степени [7, 8].
Характер растительности ЛТЭ определяется широким спектром разномасштабных факторов [9]. На локальном уровне они включают сочетание гидрологических условий, распространения и глубины сезонного оттаивания вечной мерзлоты, рельефа, геоморфологии, нарушенности территории и пр. [9–15]. Гетерогенность влияния различных факторов определяет структуру древесной растительности, которая на популяционном уровне может быть представлена различными типами: диффузным распределением деревьев в пределах отдельных лесных массивов, прерывистым характером их самих на контакте с тундровыми пространствами, отдельными лесными массивами (островами), а также отдельными полустланиковыми и стланиковыми агрегациями, расположенными среди тундровой растительности [5, 16].
Изучение горизонтальной структуры древостоя позволяет судить о характере конкурентных отношений между особями, а также о степени воздействия факторов внешней среды как на отдельный организм, так и на их совокупность. Специфика структуры редколесий севера заключается в редкостойном характере произрастания, небольших размерах отдельных деревьев, в первую очередь по высоте [17], что до минимума сводит световую конкуренцию и лимитирует последнюю конкуренцией за почвенную влагу и минеральное питание, доступность которых существенно ограничивается наличием подстилающих вечномерзлых грунтов и коротким вегетационным периодом.
В этих условиях фактор самоизреживания древостоев в результате световой конкуренции в процессе роста и развития перестает быть доминирующим в формировании горизонтальной структуры, и особенности пространственного расположения деревьев в большей степени зависят от распространения семян и выживаемости молодых особей. В свою очередь редкостойный характер древесного яруса обеспечивает потенциальную возможность постоянного поступления новых экземпляров в древостой, создавая условия для формирования разновозрастной его структуры. Очевидно, что в таких условиях распределение деревьев по площади должно стремиться к случайному, что и было принято в качестве проверяемой гипотезы.
Многие исследователи древесной растительности ЛТЭ отмечают групповой характер расположения деревьев, формирующих, особенно на границе с тундровыми ассоциациями, своеобразные агрегации (биогруппы), состоящие из двух и более стволов [1, 18–21 и др.]. Однако за пределами рассмотрения остаются вопросы: а) какова доля биогрупп и их количественный состав в структуре ценопопуляции; б) каков тип пространственной структуры и какое влияние на него оказывают группы и отдельно стоящие деревья; в) какова степень «заполняемости» деревьями пространства; г) существует ли связь между морфометрическими характеристиками древостоя и показателями, характеризующими степень их агрегированности?
Выяснению этих вопросов и посвящена настоящая работа.
ОБЪЕКТЫ И МЕТОДИКА
Характеристика экспериментальных объектов
Исследования проводили на полуострове Таймыр на территории Таймырского государственного биосферного заповедника в нижнем течении р. Лукунской (72.45˚–72.53˚ с. ш. и 105˚–105.37˚ в. д.) В геологическом плане территория представляет собой флювио-гляциально-аллювиальную террасу р. Хатанги, сложенную песками и супесями со значительными линзами торфов мощностью до 5–7 м, с преобладающими абсолютными отметками 25–40 м. На территории повсеместно развиты криогенные процессы и формы рельефа, встречается значительное количество термокарстовых озер [20].
Климат по данным метеостанции Хатанга 1, расположенной в 110 км в юго-западном направлении, характеризуется исключительной суровостью. Среднемноголетняя температура воздуха за период инструментальных измерений с 1906 г. по 2022 г. составляет –12.4°C, а абсолютный минимум достигает –59°C. Средняя положительная температура воздуха наблюдается в период с июня по сентябрь, но в течение всего периода возможны отрицательные температуры. Наиболее теплый месяц – июль со средней температурой +12.5°C, среднегодовое количество осадков – 280 мм. Устойчивый снежный покров устанавливается в сентябре и сходит в июне, его максимальная глубина может достигать в отдельные годы 83 см, но обычно не превышает 44 см.
Изучаемые древостои представлены монодоминантными разновозрастными лиственничными редколесьями и рединами [22] из лиственницы Гмелина (Larix gmelinii (Rupr.) Rupr.). В географическом аспекте популяция образует северную границу распространения лесной растительности в лесотундровом экотоне на правобережье р. Хатанги [1, 20, 23]. На ценотическом уровне ЛТЭ в пределах рассматриваемой территории представлен сложной мозаикой из лесотундровых и озерно-болотных комплексов (рис. 1).
Рис. 1. Фрагмент космического снимка (https://www.google.com/intl/ru/earth/ versions/#earth-pro) центральной части участка Лукунский: серо-зеленым цветом представлена лесная растительность, светло-желтым – тундровая растительность, черным – водные объекты, зеленым – элементы гидросети, кружками красного цвета отмечены места расположения пробных площадей.
Лесная растительность приурочена к плакорным пространствам, занимая повышенные элементы рельефа и пологие склоны. Преобладающим типом почв под лесной растительностью являются криоземы (мерзлотно-таежные неоглеенные почвы), различающиеся по мощности и степени оторфованности верхних горизонтов, а также насыщенности их растительными остатками. Широко распространены проявления криогенных процессов, обусловленных сезонным протаиванием вечной мерзлоты. Типологическая структура не отличается большим разнообразием. Повсеместно преобладают кустарничково-травяные фитоценозы с различным сочетанием и долей участия в травяно-кустарничковом ярусе: Betula exilis Sukaczev, Salix hastata L., Vaccinium uliginosum L., Ledum decumbens (Aiton) Lodd. ex Steud., Cassiope tetragona (L.) D. Don, Dryas punctata Juz, Carex arctisibirica (Jurtsev) Czerep., Eriophorum vaginatum L. и др. высотой 25–40 см с проективным покрытием 30–50% и хорошо развитым мохово-лишайниковым ярусом из Tomentypnum nitens (Hedw.) Loeske, Hylocomium splendens (Hedw.) Brunch et al., Aulacomnium turgidum (Wahlenb.) Schwägr., Cetraria islandica (L.) Ach., Cladonia rangiferina (L.) F. H. Wigg., C. stellaris (Opiz) Pouzar et Vězda, Dactylina arctica (Hook. F.) Nyl. и др. с проективным покрытием 50–90%. Кустарниковый ярус отсутствует, хотя встречаются отдельные экземпляры Duschekia fruticosa (Rupr.) Pouzar высотой 1.5–2.5 м [20].
Горизонтальную структуру исследовали на 10 постоянных пробных площадях (ПП), заложенных в 1990 г. (табл. 1), последний этап инвентаризации проведен в 2021 г.
Таблица 1. Характеристика древесного яруса ценопопуляции Larix gmelinii по данным измерений на пробных площадях
№ ПП | Размер ПП, м × м | Число стволов, экз/га | Возраст*, лет | Диаметр*, см | Высота*, м | Сумма площадей сечений, м2/га | Сомкнутость полога, % | Запас стволовой древесины, м3/га |
11 | 50 × 50 | 592 | 199 43–407 | 11.5 2.5–27.2 | 6.5 2.6–11.1 | 7.07 | 34 | 24.8 |
12 | 100 × 50 | 436 | 207 47–431 | 9.9 2.3–22.9 | 5.3 2.1–9.0 | 3.93 | 19 | 11.4 |
13 | 100 × 50 | 318 | 208 48–391 | 8.1 2.3–18.0 | 4.5 2.0–8.2 | 1.97 | 12 | 5.2 |
14 | 100 × 50 | 468 | 69 27–220 | 6.5 1.9–19.9 | 4.4 2.1–8.8 | 2.24 | 20 | 6.4 |
15 | 100 × 50 | 570 | 186 40–378 | 8.5 2.0–19.3 | 4.9 1.9–9.0 | 3.85 | 26 | 11.1 |
16 | 100 × 100 | 137 | 150 40–407 | 8.9 2.1–19.7 | 4.8 1.8–8.8 | 1.07 | 9 | 3.1 |
17 | 100 × 50 | 334 | 139 49–321 | 8.9 2.2–19.4 | 5.1 1.6–9.9 | 2.46 | 14 | 7.3 |
18 | 100 × 50 | 326 | 164 48–365 | 10.5 2.2–20.5 | 6.3 1.5–9.2 | 3.35 | 17 | 10.8 |
19 | 100 × 100 | 318 | 113 33–214 | 6.9 1.8–19.4 | 4.4 1.7–10.1 | 1.55 | 10 | 4.9 |
20 | 100 × 50 | 346 | 156 51–402 | 9.3 2.2–18.8 | 5.0 1.7–9.1 | 2.74 | 16 | 7.8 |
* В числителе приведены среднеарифметические значения, в знаменателе – интервал морфометрических параметров.
Характерной особенностью изучаемой популяции является ее разновозрастность [24]. Средний возраст определяется соотношением деревьев, находящихся на различных стадиях онтогенеза, и отражает процесс генезиса отдельных древостоев. Наиболее старые древостои характеризуют близкую к климаксовой стадию, в которой преобладают старовозрастные деревья с минимальной долей молодого поколения (ПП 11, 15). Молодые, напротив, отражают процесс активного формирования древостоя с преобладанием молодых экземпляров (ПП 14). Большая же часть исследованной популяции представлена промежуточными стадиями онтогенеза.
Методика исследований
Пробные площади закладывали с помощью стандартных методик [25, 26]. Для анализа горизонтальной структуры древостоя использовали метод квадратов (учетных ячеек) [27]. Принципиальными требованиями для этого метода являются: отсутствие перекрытия отдельных ячеек и постоянство их площади. Размер ячеек различался по пробным площадям и определялся условной площадью, приходящейся на одно дерево [28, 29], по выражению
, (1)
где Si – площадь учетной ячейки, м2; S – площадь пробной площади, м2; N – количество отдельных экземпляров (деревьев), экз/га.
После определения размера элементарной площадки вычисляли ее стороны и производили разбивку пробной площади регулярной сеткой ячеек в соответствии с установленными размерами. На каждой элементарной площадке подсчитывали количество отдельно стоящих деревьев, а также отдельных групп и составляющих их экземпляров.
Для каждой учетной ячейки определяли несколько показателей, характеризующих число особей и характер их агрегированности: а) общее количество как одиночных деревьев, так и входящих в состав отдельных групп; б) количество отдельных групп; в) количество экземпляров в каждой группе. К группе относили агрегацию особей в количестве 2 экз. и более. Диагностическим признаком группы являлось наличие кратно меньшего расстояния между отдельными экземплярами в группе, по сравнению с расстоянием между отдельно стоящими деревьями или их агрегациями, либо наличие общего основания, из которого росли два ствола и более. Среднее расстояние между особями определяли путем возведения выражения (1) в степень ½ [30].
Для оценки типа горизонтального размещения деревьев использовали индекс дисперсии Морисита (Iδ) [31–33]: значения индекса больше единицы характерны для групповых распределений и меньше единицы – для равномерных, в случае Iδ=1 распределение является случайным (рис. 2). Расчет индексов выполняли в двух вариантах. В первом варианте в ячейках подсчитывали количество деревьев независимо от того, были ли деревья одиночно стоящими или принадлежали агрегации (группе) деревьев. При втором варианте каждая отдельная агрегация деревьев (группа) выступала в качестве одного учетного экземпляра, наряду с отдельно стоящими деревьями, которые в данном случае рассматривались как группа, состоящая из одного дерева. Сравнение результатов этих вариантов расчета индексов позволяет сделать предположения о том, существуют ли иные механизмы и масштабы взаимодействия деревьев, помимо образования естественных биогрупп.
Рис. 2. Группировка пробных площадей (11–20) по типам пространственной структуры: а – групповое расположение деревьев, б – переходный тип от группового к случайному, в – случайное. Линии характеризуют изменение индекса Морисита в зависимости от размера ячейки.
Расчет индексов дисперсии Морисита при переменных размерах ячеек и оценку зависимости Iδ от морфометрических показателей древостоя выполняли в приложении Excel пакета офисных программ Microsoft Office. Для дополнительных вычислений, например, моделирования однородного пуассоновского распределения, использовали скрипты, написанные с помощью языка программирования R [34].
РЕЗУЛЬТАТЫ
Характеристика пространственного расположения деревьев на пробных площадях
В процессе измерений фиксировали степень агрегированности деревьев путем учета отдельных групп и количества составляющих их деревьев (табл. 2). Среднее расстояние между особями оказалось достаточно стабильным – 5.4±1.2 м, и лишь в случае редины (ПП 16) значение оказалось существенно выше – 8.5 м. Все исследуемые древостои имеют сложную горизонтальную структуру, включающую как отдельно стоящие деревья, так и их группы, состоящие из различного числа особей (от 2 до 5). Степень агрегированности, определяемая как доля деревьев, составляющих группы в общем количестве особей, колеблется от 17 до 32%. В составе групп во всех случаях преобладает парная агрегация деревьев – 83%.
Таблица 2. Характеристика агрегированности деревьев на пробных площадях
№ ПП | Среднее расстояние между особями, м | Доля стволов в группах,% | Количество отдельных групп | ||||
итого, шт./га | в том числе по числу входящих экземпляров, % | ||||||
2 | 3 | 4 | 5 | ||||
11 | 4.1 | 20 | 48 | 75 | 8 | 17 | |
12 | 4.8 | 17 | 30 | 73 | 13 | 7 | 7 |
13 | 5.6 | 24 | 36 | 89 | 11 | ||
14 | 4.6 | 32 | 66 | 79 | 15 | 6 | |
15 | 4.2 | 19 | 52 | 92 | 8 | ||
16 | 8.5 | 31 | 18 | 83 | 11 | 6 | |
17 | 5.5 | 22 | 44 | 91 | 9 | ||
18 | 5.6 | 20 | 30 | 80 | 20 | ||
19 | 5.6 | 19 | 26 | 73 | 19 | 8 | |
20 | 5.4 | 17 | 28 | 93 | 7 | ||
Среднее значение | 5.4 | 22 | 42 | 83 | 12 | ||
Среднеквадратическое отклонение | 1.2 | 5.4 | 12.3 | 7.9 | 4.6 | ||
Размеры учетных ячеек, рассчитанные по уравнению (1), варьируют в достаточно широких пределах – от 17 до 72 м2 (табл. 3); их заполняемость по отдельным пробным площадям приведена в Приложении 1, доступном в эл. версии.
Таблица 3. Распределение ячеек по числу расположенных на них деревьев
№ ПП | Размер ячейки, м2 | Доля ячеек с количеством деревьев, % | |||||
0 | 1 | 2 | 3 | 4 | 5 | ||
11 | 17 | 38 | 37 | 15 | 6 | 3 | 1 |
12 | 23 | 45 | 34 | 14 | 5 | 1 | 1 |
13 | 31 | 38 | 38 | 15 | 8 | 1 | |
14 | 21 | 42 | 32 | 16 | 6 | 2 | |
15 | 18 | 39 | 35 | 20 | 5 | 1 | 1 |
16 | 72 | 44 | 37 | 13 | 2 | 4 | |
17 | 30 | 40 | 35 | 15 | 7 | 3 | |
18 | 31 | 42 | 34 | 19 | 3 | 3 | |
19 | 31 | 42 | 32 | 15 | 7 | 2 | 2 |
20 | 29 | 39 | 32 | 22 | 5 | 1 | 1 |
Среднее значение | 41 | 35 | 16 | 5 | 2 | 1 | |
Среднеквадратическое отклонение | 2.3 | 2.2 | 2.9 | 1.9 | 1.2 | 0.9 | |
Расчет индекса дисперсии Морисита
Проверку соответствия предположения об однородном независимом расположении объектов данным наблюдений выполняли на основе рассчитанных значений индекса Iδ (табл. 4). Результаты расчета индекса Iδ для общего количества деревьев без учета их агрегированности приведены на рис. 2. Для трех древостоев установлено групповое расположение деревьев, при котором значение Iδ>1, для пяти – случайное и для оставшихся двух характер распределения носит переходный характер – от случайного к групповому. По мере увеличения размера ячейки значение Iδ → 1.
Таблица 4. Результаты расчета индекса Iδ
№ ПП | Число ячеек, шт. | Количество экземпляров на пробной площади, шт. | Значение индекса Iδ | ||
без учета агрегации | с учетом агрегацииа | без учета агрегации | с учетом агрегации | ||
11 | 144 | 147 | 127 | 1.21** | 0.92 |
12 | 242 | 217 | 163 | 1.36*** | 0.89 |
13 | 162 | 159 | 141 | 1.01 | 0.80 |
14 | 231 | 233 | 168 | 1.48*** | 0.96 |
15 | 288 | 282 | 141 | 1.05 | 0.80 |
16 | 156 | 133 | 115 | 1.17 | 0.74* |
17 | 162 | 161 | 139 | 1.13 | 0.84 |
18 | 162 | 156 | 143 | 1.14 | 0.89 |
19 | 324 | 333 | 292 | 1.41*** | 1.16** |
20 | 171 | 170 | 152 | 1.00 | 0.88 |
Примечание. а – учтены одиночные экземпляры и отдельные группы. Уровень значимости: * – 0.05, **– 0.01, *** – 0.001.
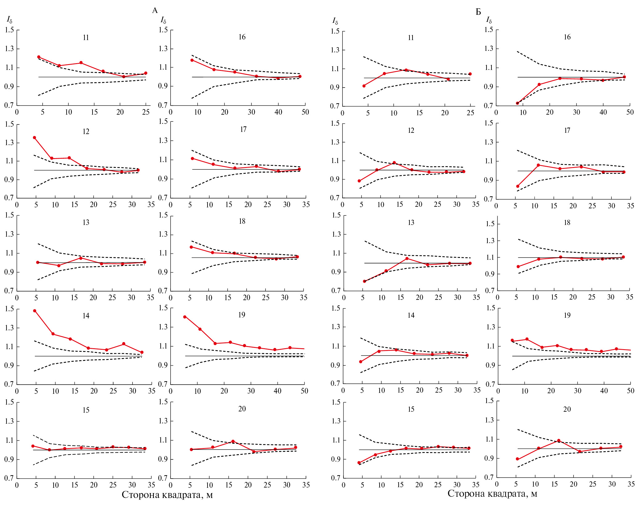
На рис. 3А приведены результаты проверки нулевой гипотезы моделированием однородного пуассоновского процесса для отдельных деревьев. Для ПП 14, 19, в меньшей степени для ПП 12 характерен «выход» графика изменения Iδ в зависимости от размера ячейки за пределы пуассоновского процесса или области принятия нулевой гипотезы [10], особенно при небольших размерах ячеек, что свидетельствует об агрегированном характере горизонтальной структуры. Учет агрегаций деревьев (рис. 3Б) существенно меняет картину. Значение Iδ становится меньше 1, хотя достоверно от нее не отличается. Групповое распределение сохраняется только для ПП 19. Для большинства же пробных площадей сохраняется случайный тип пространственного распределения (ПП 11, 12, 14, 19, 20), но в то же время для некоторых (ПП 13, 15, 16) отмечается переходный тип от случайного к равномерному.
Рис. 3. Проверка гипотезы о случайном расположении деревьев моделированием однородного пуассоновского процесса: A – для отдельных деревьев, Б – для агрегаций деревьев. Цифрами указаны номера пробных площадей. Сплошная красная линия отражает изменение индекса Морисита в зависимости от размера квадрата, огибающие пунктирные линии ограничивают зону моделирования для различных уровней пуассоновского процесса.
Анализ связи индекса дисперсии Морисита с морфометрическими характеристиками древостоев
Для выявления возможных факторов, определяющих характер горизонтальной структуры, расcчитывали соотношение Iδ с морфометрическими характеристиками: диаметром, высотой, возрастом, сомкнутостью полога, количеством экземпляров (густотой) и запасом стволовой древесины, а также долей участия отдельных групп в структуре древостоя. Анализ проводился в двух вариантах: в первом случае – для Iδ, вычисленного без учета агрегации деревьев в группы, во втором – с учетом группировки деревьев.
Без учета агрегации деревьев (рис. 4) положительная связь, при которой отмечается увеличение анализируемого показателя с ростом значения Iδ, выявлена с долей участия отдельных групп деревьев и густотой. Для среднего диаметра, высоты и возраста тренд отрицателен. В случае сомкнутости полога и объема стволовой древесины тренды менее выражены, поскольку данные характеристики тесно связаны с рассмотренными выше, тренды изменения которых имеют разнонаправленный характер.
Рис. 4. Соотношение индекса дисперсии Морисита (Iδ) и морфометрических показателей: а – с количеством агрегаций в структуре древостоя, б – со средним возрастом, в – со средним диаметром, г – со средней высотой, д – с сомкнутостью полога, е – с количеством деревьев, ж – с запасом стволовой древесины. Пунктиром показана линия линейного тренда.
В целом агрегированный тип горизонтальной структуры характерен для более молодых древостоев, с большим участием отдельных групп деревьев, более сомкнутых, имеющих большую густоту и меньшие значения средней высоты и диаметра. И напротив, случайный характер распределения в большей степени присущ разреженным древостоям с преобладанием старовозрастных крупных деревьев.
При включении в анализ агрегации деревьев картина принципиально не меняется, за исключением соотношения Iδ с долей отдельных групп, где тенденция изменяется на противоположную, т. е. значение Iδ возрастает по мере уменьшения доли отдельных групп в составе древостоя. Впрочем, для обоих вариантов зависимости оказались незначимыми (p > 0.05), а значение Iδ соответствует случайному расположению деревьев.
ОБСУЖДЕНИЕ РЕЗУЛЬТАТОВ
А.В. Кнорре [19], характеризуя особенности древесной растительности участка Ары-Мас, выделяет достаточно много типов пространственного размещения деревьев, которые можно свести к нескольким группам: а) относительно равномерное с незначительным участием групп деревьев; б) смешанное (равномерное и неравномерное) с участием как отдельных деревьев, так и их групп, в составе которых обычно от 2 до 7 стволиков; в) групповое из 20–50 деревьев, разделенных не занятыми древесной растительностью пространствами; г) групповое (куртинное) с преобладанием групп деревьев, объединенных в куртины с количеством стволиков от 2 до 15 (40) экз. Последняя группа чаще характерна для редин, в то время как все остальные группы представлены в редколесьях.
Большинство исследователей в качестве характерной особенности древесной растительности в лесотундровом экотоне Таймыра отмечают наличие группового расположения деревьев [1, 18–20, 35 и др]. При этом количественные оценки численности отдельных биогрупп варьируют в достаточно широких пределах – от 2–4 [1, 18] до 20–50 [1, 19], а в составе отдельных биогрупп, расположенных вне лесных участков, число отдельных стволиков может достигать 125 экз. [35]. Вместе с тем в типичных лесотундровых редколесьях преобладает одиночное расположение деревьев [19, 35]. Этот вывод подтверждают и наши исследования. На северной границе распространения типичных редколесий из лиственницы Гмелина преобладает одиночное расположение деревьев, доля экземпляров, представленных отдельными группами, редко превышает 30%, при этом преобладают агрегации, состоящие из двух, реже трех стволов.
Многие исследователи сходятся во мнении, что размещение деревьев в естественных древостоях меняется с возрастом. Причинами неравномерности горизонтальной структуры могут выступать особенности обеспечения семенами и неоднородности микроусловий среды [29] либо способ размножения, неоднородность среды, определяемая абиотическими или биотическим условиями, а также взаимодействие растений между собой и окружающей средой [36]. При этом для одновозрастных древостоев характер горизонтальной структуры меняется от группового в молодом возрасте к случайному или регулярному к возрасту спелости [29, 37–39 и др.].
В темнохвойных разновозрастных древостоях Сибири и Урала чаще отмечается агрегированное (групповое) размещение деревьев по площади с чередованием плотных биогрупп и световых окон в пологе [30, 40–44 и др.]. Аналогичный тип горизонтальной структуры отмечается в сосняках Казахского мелкосопочника, произрастающих в условиях повышенной аридности климата [45]. В то же время для абсолютно разновозрастных коренных ельников, находящихся в стадии климакса в подзоне северной и средней тайги Республики Коми, характерно случайное размещение деревьев, описываемое однородным процессом Пуассона [46, 47]. Аналогичный тип горизонтальной структуры выявлен в этом регионе и для перестойного постпирогенного сосняка, имеющего ступенчато-разновозрастный тип возрастной структуры [48].
Проведенный анализ показывает, что для исследованных нами древостоев достаточно типичным, хотя и не всегда однозначным правилом является формирование групповой структуры. Вместе с тем наличие агрегаций деревьев (биогрупп), отличающихся значительной продолжительностью своего существования, вносит определенный диссонанс в типизацию пространственного размещения особей, поскольку сами биогруппы, выступающие как самостоятельный элемент формирования горизонтальной структуры, могут быть размещены случайно либо регулярно, или формировать группы более высокого ранга (куртины). В связи с этим подход, используемый нами в настоящей работе, при котором на первом этапе анализируется размещение отдельных деревьев без учета их агрегации, а на втором в анализ включаются как отдельно стоящие деревья, так и их агрегации, представляется вполне рациональным, поскольку более полно отражает характер горизонтальной структуры изучаемых ценопопуляций.
Таким образом, для древостоев лиственницы Гмелина, формирующих северную границу распространения древесной растительности в восточной части полуострова Таймыр, характерна достаточно сложная мозаичная структура как на популяционном уровне, так и на уровне отдельных ценопопуляций, которая включает отдельно стоящие деревья, их группы, состоящие из различного числа особей, а также значительные по площади пространства, не занятые древесной растительностью. Исследуемым древостоям присущ комбинированный (смешанный) тип горизонтальной структуры с преобладанием случайного пространственного распределения особей. Агрегированный тип горизонтальной структуры характерен для более молодых древостоев, с большим участием отдельных групп деревьев, более сомкнутых, имеющих большую густоту и меньшие значения средней высоты и диаметра. И напротив, случайный характер распределения в большей степени присущ разреженным древостоям с преобладанием старовозрастных крупных деревьев.
Результаты проведенных исследований подтвердили тестируемую нами гипотезу о преобладании случайного характера в сложении горизонтальной структуры древесного яруса ценопопуляции лиственницы Гмелина на северном пределе ее распространения, но при этом следует учитывать, что конкретный тип пространственного распределения определяется также стадией онтогенеза, в которой находится древостой.
Работа выполнена в рамках проекта FWES-2021–0010 «Научные основы сохранения ресурсного и экологического потенциала лесов Сибири в условиях кумулятивных антропогенных и природных рисков» (Рег. НИОКТР № 1210309001.81–4).
Авторы выражают глубокую признательность администрации Объединенной дирекции «Заповедники Таймыра» и Таймырского государственного биосферного заповедника за организационную и логистическую поддержку при проведении исследований.
Авторы заявляют об отсутствии конфликта интересов.
1 http://www.pogodaiklimat.ru/climate/20891.htm.
About the authors
A. I. Bondarev
Forest Institute, Federal Research Center Krasnoyarsk Scientific Center, Siberian Branch, Russian Academy of Sciences
Author for correspondence.
Email: abondarev@ksc.krasn.ru
Russian Federation, 660036, Krasnoyarsk
O. P. Secretenko
Forest Institute, Federal Research Center Krasnoyarsk Scientific Center, Siberian Branch, Russian Academy of Sciences
Email: abondarev@ksc.krasn.ru
Russian Federation, 660036, Krasnoyarsk
References
- Крючков В.В. Самые северные на земном шаре лесные массивы на р. Лукунской в бассейне р. Хатанги // Ботан. журн. 1972. Т. 57. № 10. С. 1213–1220.
- Payette S., Fortin M.J., Gamache I. The subarctic forest-tundra: the structure of a biome in a changing climate // Bioscience. 2001. V. 51. P. 709–718. https://doi.org/10.1641/0006–3568(2001)051[0709: TSFTTS]2.0.CO;2
- Clements F.E. Nature and structure of the climax // Journal of Ecology. 1936. V. 24. P. 253–284.
- Ranson K.J., Montesano P.M., Nelson R. Object based mapping of the circumpolar taiga–tundra ecotone with MODIS tree cover // Remote Sens. Environ. 2011. V. 115. P. 3670–3680. 10.1016/j.rse.2011.09.006' target='_blank'>https://doi: 10.1016/j.rse.2011.09.006
- Montesano P.M., Sun G., Dubayah R.O., Ranson K.J. Spaceborne potential for examining taiga–tundra ecotone form and vulnerability // Biogeosciences. 2016. V.13. P. 3847–3861. https://doi: 10.5194/bg-13–3847–2016
- Callaghan T.V., Crawford R.M., Eronen M. et al. The dynamics of the tundra-taiga boundary: An overview and suggested coordinated and integrated approach to research // Ambio. 2002. Special report № 12. Dynamics of the Tundra-Taiga Interface. P. 3–5.
- Stocker T.F., Qin G.-K., Plattner L.V. et al. Technical Summary // Climate Change 2013: The Physical Science Basis. Contribution of Working Group I to the Fifth Assessment Report of the Intergovernmental Panel on Climate Change. Eds. Stocker T. F., Qin D, Plattner G.-K. et al. Cambridge. Cambridge University Press, 2014. P. 33–115. https://doi: 10.1017/ CBO9781107415324.005
- Bader J. Climate science: The origin of regional Arctic warming // Nature. 2014. V. 509. P. 167–168. https://doi.org/10.1038/509167a
- Holtmeier F.-K., Broll G. Sensitivity and response of northern hemisphere altitudinal and polar treelines to environmental change at landscape and local scales // Global Ecol. Biogeogr. 2005. V.14. P. 395–410. https://doi.org/10.1111/j.1466–822X.2005.00168.x
- Грабарник П.Я. Анализ горизонтальной структуры древостоя: модельный подход // Лесоведение. 2010. № 2. C. 77–85.
- Dalen L., Hofgaard A. Differential regional treeline dynamics in the Scandes Mountains // Arct. Antarct. Alpine Res. 2005. V.37. P. 284–296. https://doi.org/10.1657/1523–0430(2005)037 [0284: DRTDIT]2.0.CO;2
- Danby R.K., Hik D.S. Variability, contingency and rapid change in recent subarctic alpine tree line dynamics // J. Ecol. 2007. V.95. P. 352–363. https://doi.org/10.1111/j.1365–2745.2006.01200.x
- Frost G.V., Epstein H.E., Walker D.A. Regional and landscape-scale variability of Landsat-observed vegetation dynamics in northwest Siberian tundra // Environ. Res. Lett. 2014. V.9. P. 1264–1277. https://doi.org/10.1088/1748–9326/9/2/025004
- Haugo R.D., Halpern C.B., Bakker J.D. Landscape context and long-term tree influences shape the dynamics of forest-meadow ecotones in mountain ecosystems // Ecosphere. 2011. V. 2(8). Article 91. P. 1–24. https://doi.org/10.1890/ES11–00110.1
- Lloyd A.H., Yoshikawa K., Fastie C.L. et al. Effects of permafrost degradation on woody vegetation at arctic treeline on the Seward Peninsula, Alaska, Permafrost Periglac // Permafrost and Periglacial Processes. 2003. V. 14(2). P. 93–101. 10.1002/ppp.446' target='_blank'>https://doi: 10.1002/ppp.446
- Харук В.И., Буренина Т.А., Федотова Е.Ф. Анализ экотона «лес-тундра» по данным космосъемки // Лесоведение. 1999. № 3. С. 59–67.
- Абаимов А.П., Бондарев А.И., Зырянова О.А., Шитова С.А. Леса Красноярского Заполярья. Новосибирск: Наука, 1997. 208 с.
- Тюлина Л.Н. Лесная растительность Хатангского района у ее северного предела // Тр. Арктического института. 1937. Т. 63. Геоботаника. С. 83–180.
- Кнорре А.В. Редколесья и редины Ары-Маса // Ары-Мас. Природные условия, флора и растительность самого северного в мире лесного массива. Л.: Наука, 1978. С. 162–183.
- Поспелов И.Н., Поспелова Е.Б., Чиненко С.В. Притундровые редколесья и редины бассейна р. Лукунской (восточный Таймыр) // Современные проблемы притундровых лесов: Мат-лы. Всерос. конф. с междунар. участием. Архангельск, 2012. С. 174–180.
- Поспелов И.Н., Поспелова Е.Б. О северном пределе распространения лиственницы Гмелина (Larix gmelinii (Rupr.) Rupr.) на Восточном Таймыре // Ботан. журн. 2013. Т. 98. № 5. С. 621–629.
- Абаимов А.П., Бондарев А. И. Критерии выделения категорий лесных земель в редкостойных лесах Севера // Лесоведение. 1997. № 1. С. 45–49
- Бондарев А.И. Таксационный очерк самых северных в мире лесов // Лесная таксация и лесоустройство / Межвуз. сб. науч. тр. Красноярск: КПИ, 1989. С. 35–39.
- Bondarev Alexander. Age distribution patterns in open boreal Dahurican larch forests of Central Siberia // Forest Ecology and Management. 1997. V. 93. № 3. P. 205–214. https://doi.org/10.1016/S0378–1127(96)03952–7
- Сукачев В.Н., Зонн С.В. Методологические указания к изучению типов леса. М.: Наука, 1961. 144 с.
- ОСТ 56–69–83. Площади пробные лесоустроительные. Метод закладки. М.: Госкомлес СССР, 1983. 60 с.
- Greig-Smith P. The use of random and contiguous quadrats in the study of the structure of plant communities // Ann. Bot. London, N.S. 1952. V. 16. P. 293–316.
- Плотников В.В. О путях развития древесных растений в связи с динамикой их численности в сообществе // Экология. 1973. № 3. С. 44–51.
- Кузьмичев В.В. Закономерности динамики древостоев: принципы и модели. Новосибирск: Наука, 2013. 208 с.
- Бузыкин А.И., Гавриков В.Л., Секретенко О.П., Хлебопрос Р.Г. Анализ структуры разновозрастных древесных ценозов // Анализ структуры древесных ценозов. Новосибирск: Наука, 1985. С. 50–80.
- Грейг-Смит П. Количественная экология растений. М.: Мир, 1967. 359 с.
- Morisita M. Measuring of the dispersion of individuals and analysis of the distributional patterns // Memoir of the Faculty of Science, Kyushu University. 1959. Series E: Biology. V. 2. № 4. P. 215–235.
- Ripley B.D. Spatial Statistics. John Wiley & Sons, 1981. 252 p.
- R Core Team R: a language and environment for statistical computing. Vienna: R foundation for statistical computing. 2019. http://www.r-project.org.
- Wieczorek M., Kruse S., Epp L.S. et al. Dissimilar responses of larch stands in northern Siberia to increasing temperatures – a field and simulation based study // Ecology. 2017. V. 98(9). P. 2343–2355. https://doi.org/10.1002/ecy.1887
- Василевич В. И. Статистические методы в геоботанике. Л.: Наука, 1969. 232 с.
- Поздняков Л.К. Мерзлотное лесоведение. Новосибирск: Наука, 1986. 192 c.
- Каволюнене Д.К. Типы размещения деревьев в свете закономерностей роста древостоев // Тезисы докл. научн. конф. Каунас, 1981. С. 40–42.
- Тябера А.П. Вопросы территориального размещения деревьев в сосновых древостоях // Лесной журнал. 1980. № 5. С. 5–7.
- Вайс А.А. Горизонтальная структура пихтовых насаждений // Вестник СибГТУ. 2005. № 1. С. 24–27.
- Вайс А.А. Горизонтальная структура древостоев Средней Сибири // Научный журнал КубГАУ. 2009. № 45 (1). С. 1–15.
- Москвина И.В., Гетманец И.А. Популяционная организация растительного покрова в подзоне южно-таежных лесов Челябинской области // Фундаментальные исследования. 2014. № 12-2. С. 322–326.
- Данилина Д.М., Назимова Д.И., Коновалова М.Е. Пространственно-временная структура и динамика позднесукцессионного черневого кедровника Западного Саяна // Лесоведение. 2020. № 5. С. 387–398. https://doi.org/10.31857/S0024114820050034
- Коновалова М.Е., Данилина Д.М. Структура ценопопуляций ключевых видов черневых кедровых лесов Западного Саяна на климаксовой стадии развития // Экология. 2019. № 3. С. 189–195. https://doi.org/10.1134/S0367059719030089
- Колтунова А.И. О формировании горизонтальной структуры и срастании корневых систем в древостоях сосны // Эко-потенциал. 2013. № 3–4. С. 136–142.
- Манов А.В., Кутявин И.Н. Горизонтальная структура древостоев и подроста северотаежных коренных ельников чернично-сфагновых в Приуралье // Лесн. журнал. Изв. высш. учеб. заведений. 2018. № 6. С. 78–88. https://doi.org/10.17238/issn0536-1036.2018.6.78
- Манов А.В. Горизонтальная структура древостоя и подроста ельника разнотравно-черничного средней тайги Республики Коми // Лесоведение. 2019. № 4. C. 286–293. https://doi.org/ 10.1134/S0024114819030069
- Манов А.В., Кутявин И.Н. Структура древостоя в старовозрастном постпирогенном сосняке бруснично-лишайниковом в бассейне реки Печоры // Лесоведение. 2018. № 6. С. 434–443. https://doi.org/ 10.1134/S0024114818050054
Supplementary files






