The photosynthetic apparatus of the moss Hylocomium lucidum is resistant to low extreme temperatures
- Authors: Chasov A.V.1, Minibaeva F.V.1
- 
							Affiliations: 
							- Kazan Institute of Biochemistry and Biophysics is a separate structural unit of the Federal Research Center “Kazan Scientific Center RAS”
 
- Issue: No 6 (2023)
- Pages: 435-445
- Section: Articles
- URL: https://journals.rcsi.science/0367-0597/article/view/232839
- DOI: https://doi.org/10.31857/S0367059723060033
- EDN: https://elibrary.ru/BEOGAR
- ID: 232839
Cite item
Full Text
Abstract
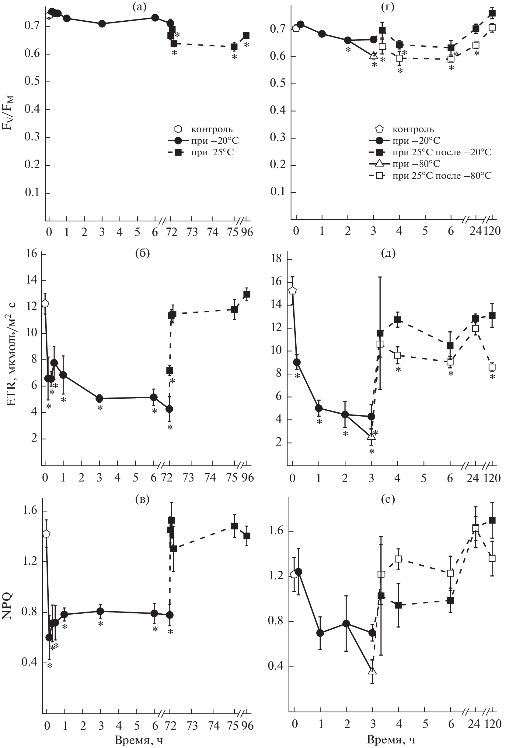
The influence of positive and negative temperatures, as well as dehydration/rehydration on the maximum photochemical efficiency, the rate of electron transfer in photosystem II and non-photochemical quenching of the moss Hylocomium splendens, widespread in the boreal forests of the Northern Hemisphere, is shown. It was found that this moss is resistant to low negative (–20 and –80°C) temperatures and significant water losses. On the contrary, in the hydrated state it is unstable to prolonged exposure to positive temperatures (40°C). High resistance to low temperatures and dehydration allowed H. splendens to successfully adapt to growing in northern latitudes and occupy a wide range.
About the authors
A. V. Chasov
Kazan Institute of Biochemistry and Biophysics is a separate structural unit of the Federal Research Center “Kazan Scientific Center RAS”
														Email: chasov@kibb.knc.ru
				                					                																			                												                								Russia, Kazan						
F. V. Minibaeva
Kazan Institute of Biochemistry and Biophysics is a separate structural unit of the Federal Research Center “Kazan Scientific Center RAS”
							Author for correspondence.
							Email: chasov@kibb.knc.ru
				                					                																			                												                								Russia, Kazan						
References
- Gerdol R., Bragazza L., Marchesini R. Element concentrations in the forest moss Hylocomium splendens: variation associated with altitude, net primary production and soil chemistry // Environ. Pollut. 2002. V. 116. № 1. P. 129–135.https://doi.org/10.1016/S0269-7491(01)00198-1
- Cowden P., Aherne J. Interspecies comparison of three moss species (Hylocomium splendens, Pleurozium schreberi, and Isothecium stoloniferum) as biomonitors of trace element deposition // Environ. Monit. Assess. 2019. V. 191: 220.https://doi.org/10.1007/s10661-019-7354-y
- Гольцев В.Н., Каладжи М.Х., Кузманова М.А., Аллахвердиев С.И. Переменная и замедленная флуоресценция хлорофилла a – теоретические основы и практическое приложение в исследовании растений. М.; Ижевск: Институт компьютерных исследований, 2014. 220 с.
- Arróniz-Crespo M., Gwynn-Jones D., Callaghan T.V. et al. Impacts of long-term enhanced UV-B radiation on bryophytes in two sub-Arctic heathland sites of contrasting water availability // Ann. Bot. 2011. V. 108. № 3. P. 557–565.https://doi.org/10.1093/aob/mcr178
- Glime J.M. Bryophyte Ecology. V. 1: Physiological Ecology. 2017. https://digitalcommons.mtu.edu/bryophyte-ecology1/ (Electronic resource).
- Takezawa D. Mechanisms underlying freezing and desiccation tolerance in bryophytes // Survival Strategies in Extreme Cold and Desiccation. Advances in Experimental Medicine and Biology. Eds. Iwaya-Inoue M. Singapore: Springer, 2018. V. 1081. P. 167–187.https://doi.org/10.1007/978-981-13-1244-1_10
- Zhuo L., Liang Y.Q., Yang H.L. et al. Thermal tolerance of dried shoots of the moss Bryum argenteum // J. Therm. Biol. 2020. V. 89: 102469.https://doi.org/10.1016/j.jtherbio.2019.102469
- Barrs H.D., Weatherley P.E. A re-examination of the relative turgidity technique for estimating water deficits in leaves // Aust. J. Biol. Sci. 1962. V. 15. P. 413–428.
- Roads E., Longton R.E., Convey P. Millennial timescale regeneration in a moss from Antarctica // Current Biol. 2014. V. 24. № 6. P. R222–R223.https://doi.org/10.1016/j.cub.2014.01.053
- Hearnshaw G.F., Proctor M.C.F. The effect of temperature on the survival of dry bryophytes // New Phytol. 1982. V. 90. P. 221–228.https://doi.org/10.1111/j.1469-8137.1982.tb03254.x
- Long S.P., Humphries S., Falkowski P.G. Photoinhibition of photosynthesis in nature // Annu. Rev. Plant Physiol. 1994. V. 45. P. 633–662.https://doi.org/10.1146/annurev.pp.45.060194.003221
- Alboresi A., Gerotto C., Giacometti G.M. et al. Physcomitrella patens mutants affected on heat dissipation clarify the evolution of photoprotection mechanisms upon land colonization // PNAS. 2010. V. 107. № 24. P. 11 128–11 133.https://doi.org/10.1073/pnas.1002873107
- Бардунов Л.В. Древнейшие на суше. М.: Наука, 1984. 160 с.
- Xia H., Chen K., Liu L. et al. Photosynthetic regulation in fluctuating light under combined stresses of high temperature and dehydration in three contrasting mosses // Plant Sci. 2022. V. 323: 111379.https://doi.org/10.1016/j.plantsci.2022.111379
- Björkman O., Demmig B. Photon yield of O2 evolution and chlorophyll fluorescence characteristics at 77 K among vascular plants of diverse origins // Planta. 1987. V. 170. P. 489–504.https://doi.org/10.1007/BF00402983
- Haldimann P., Feller U. Inhibition of photosynthesis by high temperature in oak (Quercus pubescens L.) leaves grown under natural conditions closely correlates with a reversible heat-dependent reduction of the activation state of ribulose-1,5-bisphosphate carboxylase/oxygenase // Plant Cell Environ. 2004. V. 27. P. 1169–1183.https://doi.org/10.1111/j.1365-3040.2004.01222.x
Supplementary files
 
				
			 
					 
						 
						 
						 
						 
				
 
  
  
  Email this article
			Email this article 







