Temperature Effect on CO2 Emission by Two Xylotrophic Fungi and by Wood Debris
- Authors: Diyarova D.K.1, Vladykina V.D.2, Mukhin V.A.1
-
Affiliations:
- Institute of Plant and Animal Ecology, Ural Branch, Russian Academy of Sciences
- Ural Federal University
- Issue: No 3 (2023)
- Pages: 204-211
- Section: Articles
- URL: https://journals.rcsi.science/0367-0597/article/view/139186
- DOI: https://doi.org/10.31857/S0367059723030034
- EDN: https://elibrary.ru/EBCXMA
- ID: 139186
Cite item
Full Text
Abstract
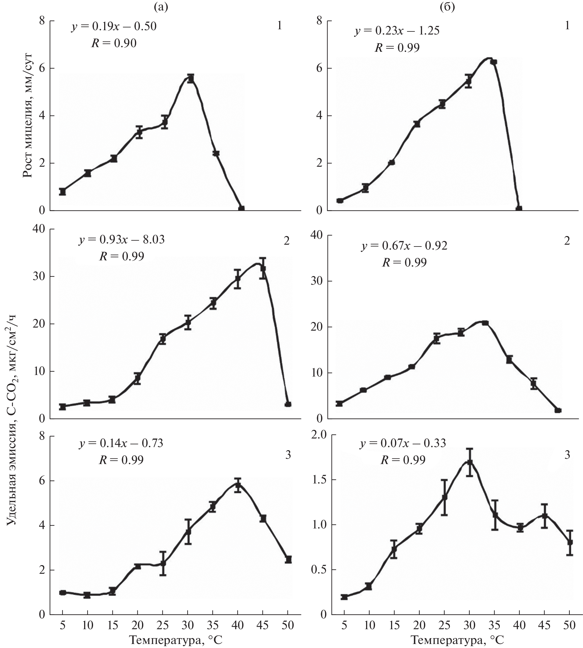
Data characterizing the temperature dependence of the growth and CO2 emission of two species of xylotrophic fungi (D. confragosa and D. tricolor) during their development on wort–agar and wood debris in a laboratory experiment are presented. Currently available estimates of the temperature dynamics of CO2 emission by wood debris do not fully take into account the relationship between temperature, CO2 emission, growth, and respiratory activity of fungi. In the range of 10–30°C, both linear growth and CO2 emission activity of fungal mycelium are positively and linearly related to temperature (Spearman’s correlation coefficient, 0.94–0.97) to the same extent (Q10 of growth, 2.2; Q10 of respiration, 2.1), and CO2 emission is directly proportional to mycelium area and its specific emission activity. As a result, the temperature effect on CO2 emission is a derivative of two equally temperature dependent factors: growth and specific emission activity of mycelium. It is equal to the product of the effects of each of the factors separately and is described by an exponential equation, which reflects the non-additive, possibly synergistic nature of the temperature enhancement of CO2 emission in the range from 20 to 30°C.
Keywords
About the authors
D. K. Diyarova
Institute of Plant and Animal Ecology, Ural Branch, Russian Academy of Sciences
Email: dasha_d@ipae.uran.ru
Yekaterinburg, Russia
V. D. Vladykina
Ural Federal University
Email: dasha_d@ipae.uran.ru
Yekaterinburg, Russia
V. A. Mukhin
Institute of Plant and Animal Ecology, Ural Branch, Russian Academy of Sciences
Author for correspondence.
Email: dasha_d@ipae.uran.ru
Yekaterinburg, Russia
References
- Christensen J.H., Hewitson B., Busuioc A. et al. Regional climate projections // Climate change 2007: The physical science basis. Contribution of working group I to the fourth assessment report of the intergovernmental panel on climate change / Eds. Solomon S., Qin D., Manning M. et al. New York: Cambridge University Press, USA, 2007. P. 848–940.
- Груза Г.В., Ранькова Э.Я. Наблюдаемые изменения современного климата // Возможности предотвращения изменения климата и его негативных последствий: проблема Киотского протокола: Мат-лы Совета-семинара при президенте РАН / Под ред. Израэля Ю.А. М.: Наука, 2006. С. 60–74.
- Заварзин Г.А. Углеродный баланс России // Возможности предотвращения изменения климата и его негативных последствий: проблема Киотского протокола: Мат-лы Совета-семинара при президенте РАН / Под ред. Израэля Ю.А. М.: Наука, 2006. С. 134–151.
- Кудеяров В.Н., Заварзин Г.А., Благодатский С.А. и др. Пулы и потоки углерода в наземных экосистемах России. М.: Наука, 2007. 315 с.
- Mukhin V.A., Diyarova D.K., Gitarskiy M.L. et al. Carbon and oxygen gas exchange in woody debris: the process and climate-related drivers // Forests. 2021. V. 12. № 9. 1156. https://doi.org/10.3390/f12091156
- Kirschbaum M.U.F. The temperature dependence of soil organic matter decomposition and the effect of global warming on soil organic C storage // Soil Biology & Biochemistry. 1995. V. 27. P. 753–760. https://doi.org/10.1016/0038-0717(94)00242-S
- Chen H., Harmon M.E., Griffiths R.P. et al. Effects of temperature and moisture on carbon respired from decomposing woody roots // Forest Ecology and Management. 2000. V. 138. P. 51–64. https://doi.org/10.1016/S0378-1127(00)00411-4
- Mackensen J., Bauhus J., Webber E. Decomposition rates of coarse woody debris: a review with particular emphasis on Australian tree species // Australian Journal of Botany. 2003. l. 51. P. 27–37. https://doi.org/10.1071/BT02014
- Gough C.M., Vogel C.S., Kazanski C. et al. Coarse woody debris and the carbon balance of a north temperate forest // Forest Ecology and Management. 2007. V. 244. P. 60–67. https://doi.org/10.1016/j.foreco.2007.03.039
- Wu J., Zhang X., Wang H. et al. Respiration of downed logs in an old-growth temperate forest in north-eastern China // Scandinavian Journal of Forest Research. 2010. V. 25. № 6. P. 500–506. https://doi.org/10.1080/02827581.2010.524166
- Olajuyigbe S., Tobin B., Nieuwenhuis M. Temperature and moisture effects on respiration rate of decomposing logs in a Sitka spruce plantation in Ireland // Forestry. 2012. V. 85. P. 485–496. https://doi.org/10.1093/forestry/cps045
- Herrmann S., Bauhus J. Effects of moisture, temperature and decomposition stage on respirational carbon loss from coarse woody debris (CWD) of important European tree species // Scandinavian Journal of Forest Research. 2012. V. 28. № 4. P. 346–357. https://doi.org/10.1080/02827581.2012.747622
- Tláskal V., Brabcová V., Větrovský T. et al. Complementary roles of wood-inhabiting fungi and bacteria facilitate deadwood decomposition // mSystems. 2021. V. 6. № 1. e01078-20. https://doi.org/10.1128/mSystems.01078-20
- Barker J.S. Decomposition of Douglas-fir coarse woody debris in response to differing moisture content and initial heterotrophic colonization // Forest Ecology and Management. 2008. V. 255. P. 598–604. https://doi.org/10.1016/j.foreco.2007.09.029
- A’Bear A.D., Murray W., Webb R. et al. Contrasting effects of elevated temperature and invertebrate grazing regulate multispecies interactions between decomposer fungi // PLoS ONE. 2013. V. 8. № 10. e77610. https://doi.org/10.1371/journal.pone.0077610
- Forrester J.A., Mladenoff D.J., D’Amato A.W. et al. Temporal trends and sources of variation in carbon flux from coarse woody debris in experimental forest canopy openings // Oecologia. 2015. V. 179. P. 889–900. https://doi.org/10.1007/s00442-015-3393-4
- Carlsson F., Edman M., Jonsson B.G. Increased CO2 evolution caused by heat treatment in wood-decaying fungi // Mycological Progress. 2017. V. 16. P. 513–519. https://doi.org/10.1007/s11557-017-1281-5
- Venugopal P., Junninen K., Linnakoski R. et al. Climate and wood quality have decayer-specific effects on fungal wood decomposition // Forest Ecology and Management. 2016. V. 360. P. 341–351. https://doi.org/10.1016/j.foreco.2015.10.023
- Rubenstein M.A., Crowther T.W., Maynard D.S. et al. Decoupling direct and indirect effects of temperature on decomposition // Soil Biology and Biochemistry. 2017. V. 112. P. 110–116. https://doi.org/10.1016/j.soilbio.2017.05.005
- Edman M., Hagos S., Carlsson F. Warming effects on wood decomposition depend on fungal assembly history // Journal of Ecology. 2021. V. 109. P. 1919–1930. https://doi.org/10.1111/1365-2745.13617
- Ryvarden L., Gilbertson R.L. European Polypores. Pt. 1 (Abortiporus-Lindtneria). Oslo: Fungiflora, 1993. 387 p.
- The MycoBank engine and related databases [Electronic resource]. URL: http://www.mycobank.org. (дата обращения: 1 авг. 2022).
- Методы экспериментальной микологии: Справочник / Дудка И.А., Вассер С.П., Элланская И.А. и др.; отв. ред. В.И. Билай. Киев: Наукова думка, 1982. 550 с.
- Заварзин Г.А., Заварзина А.Г. Ксилотрофы и микофильные бактерии при образовании дистрофных вод // Микробиология. 2009. Т. 78. № 5. С. 579–591.
- Humphrey C.J., Siggers P.V. Temperature relations of wood-destroying fungi // Journal of Agricultural Research. 1933. V. 47. № 12. P. 997–1008.
- Jomura M., Yoshida R., Michalčíková L. et al. Factors controlling dead wood decomposition in an old growth temperate forest in Central Europe // Journal of Fungi. 2022. V. 8. P. 1–14. https://doi.org/10.3390/jof8070673
- Мухин В.А., Воронин П.Ю., Сухарева А.В. Температурная шкала СО2 эмиссионной активности трутовых грибов // Проблемы лесной фитопатологии и микологии: сборник материалов VII междунар. конф. / Науч. ред. Переведенцева Л.Г., Стороженко В.Г., Егошина Т.Л. Пермь, 2009. С. 138–141.
- Mukhin V.A., Voronin P.Y., Sukhareva A.V. et al. Wood decomposition by fungi in the boreal-humid forest zone under the conditions of climate warming // Doklady Biological Sciences. 2010. V. 431. P. 110–112. https://doi.org/10.1134/S0012496610020110
Supplementary files





